Sign in to use this feature.

Years

Between: -

Subjects

remove_circle_outline
remove_circle_outline
remove_circle_outline

Journals

Article Types

Countries / Regions

Search Results (7)

Search Parameters:
Keywords = computational alanine scanning mutagenesis

Order results
Result details
Results per page
Select all
Export citation of selected articles as:
20 pages, 6961 KB  
Article
Computational Discovery of Potent Nucleoprotein Inhibitors for Influenza A Virus: Validation Through QM/MM Analysis and Experimental Binding Assays
by Zixiao Liu, Jialin Guo, Chao Zhang, Yongzhao Ding, Shiyang Sun, Binrong Yao, Cheng Xing, Xiaoping Liu, Chun Hu and Junhai Xiao
Molecules 2025, 30(19), 3960; https://doi.org/10.3390/molecules30193960 - 2 Oct 2025
Viewed by 440
Abstract
This study employed an integrated computational approach to discover novel nucleoprotein (NP) inhibitors for influenza A virus (IAV). Beginning with virtual screening of over 10 million compounds using Schrödinger’s Glide module (HTVS, SP, XP docking), the workflow identified promising candidates with favorable binding [...] Read more.
This study employed an integrated computational approach to discover novel nucleoprotein (NP) inhibitors for influenza A virus (IAV). Beginning with virtual screening of over 10 million compounds using Schrödinger’s Glide module (HTVS, SP, XP docking), the workflow identified promising candidates with favorable binding energies. Subsequent molecular mechanics/generalized born surface area (MM-GBSA) calculations and 100 ns molecular dynamics (MD) simulations prioritized 16 compounds for experimental validation. Surface plasmon resonance (SPR) assays revealed that compounds 8, 13, and 14 demonstrated superior target engagement, showing equilibrium dissociation constants (KD) of 7.85 × 10−5 M, 3.82 × 10−5 M, and 6.97 × 10−5 M, respectively. Molecular dynamics, alanine scanning mutagenesis, and quantum mechanics/molecular mechanics (QM/MM) analysis were conducted to analyze the binding modes, providing a reference for the design of subsequent compounds. These findings validate the efficacy of structure-based virtual screening in identifying high-affinity NP inhibitors and provide insights for the development of broad-spectrum anti-influenza therapeutics. Full article
Show Figures

Graphical abstract

16 pages, 2860 KB  
Article
Computational Approach to Identifying New Chemical Entities as Elastase Inhibitors with Potential Antiaging Effects
by Giovanna Pitasi, Andrea Brancale, Sonia Floris, Antonella Fais, Rosaria Gitto and Laura De Luca
Int. J. Mol. Sci. 2024, 25(20), 11174; https://doi.org/10.3390/ijms252011174 - 17 Oct 2024
Cited by 3 | Viewed by 2350
Abstract
In the aging process, skin morphology might be affected by wrinkle formation due to the loss of elasticity and resilience of connective tissues linked to the cleavage of elastin by the enzymatic activity of elastase. Little information is available about the structural requirements [...] Read more.
In the aging process, skin morphology might be affected by wrinkle formation due to the loss of elasticity and resilience of connective tissues linked to the cleavage of elastin by the enzymatic activity of elastase. Little information is available about the structural requirements to efficiently inhibit elastase 1 (EC 3.4.21.36) expressed in skin keratinocytes. In this study, a structure-based approach led to the identification to the pharmacophoric hypotheses that described the main structural requirements for binding to porcine pancreatic elastase as a valuable tool for the development of skin therapeutic agents due to its similarity with human elastase 1. The obtained models were subsequently refined through the application of computational alanine-scanning mutagenesis to evaluate the effect of single residues on the binding affinity and protein stability; in turn, molecular dynamic simulations were carried out; these procedures led to a simplified model bearing few essential features, enabling a reliable collection of chemical features for their interactions with elastase. Then, a virtual screening campaign on the in-house library of synthetic compounds led to the identification of a nonpeptide-based inhibitor (IC50 = 60.4 µM) belonging to the class of N-substituted-1H-benzimidazol-2-yl]thio]acetamides, which might be further exploited to obtain more efficient ligands of elastase for therapeutic applications. Full article
(This article belongs to the Section Molecular Pharmacology)
Show Figures

Graphical abstract

25 pages, 4420 KB  
Article
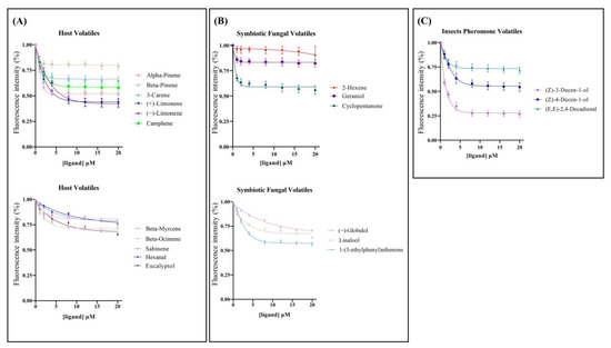
Key Residues Affecting Binding Affinity of Sirex noctilio Fabricius Odorant-Binding Protein (SnocOBP9) to Aggregation Pheromone
by Enhua Hao, Yini Li, Bing Guo, Xi Yang, Pengfei Lu and Haili Qiao
Int. J. Mol. Sci. 2022, 23(15), 8456; https://doi.org/10.3390/ijms23158456 - 30 Jul 2022
Cited by 10 | Viewed by 2612
Abstract
Sirex noctilio Fabricius (Hymenoptera Siricidae) is a major quarantine pest responsible for substantial economic losses in the pine industry. To achieve better pest control, (Z)-3-decen-ol was identified as the male pheromone and used as a field chemical trapping agent. However, the [...] Read more.
Sirex noctilio Fabricius (Hymenoptera Siricidae) is a major quarantine pest responsible for substantial economic losses in the pine industry. To achieve better pest control, (Z)-3-decen-ol was identified as the male pheromone and used as a field chemical trapping agent. However, the interactions between odorant-binding proteins (OBPs) and pheromones are poorly described. In this study, SnocOBP9 had a higher binding affinity with Z3D (Ki = 1.53 ± 0.09 μM) than other chemical ligands. Molecular dynamics simulation and binding mode analysis revealed that several nonpolar residues were the main drivers for hydrophobic interactions between SnocOBP9 and Z3D. Additionally, computational alanine scanning results indicated that five amino acids (MET54, PHE57, PHE71, PHE74, LEU116) in SnocOBP9 could potentially alter the binding affinity to Z3D. Finally, we used single-site-directed mutagenesis to substitute these five residues with alanine. These results imply that the five residues play crucial roles in the SnocOBP9-Z3D complex. Our research confirmed the function of SnocOBP9, uncovered the key residues involved in SnocOBP9-Z3D interactions, and provides an inspiration to improve the effects of pheromone agent traps. Full article
(This article belongs to the Section Molecular Biophysics)
Show Figures

Figure 1

18 pages, 3902 KB  
Article
Definition of the Binding Architecture to a Target Promoter of HP1043, the Essential Master Regulator of Helicobacter pylori
by Annamaria Zannoni, Simone Pelliciari, Francesco Musiani, Federica Chiappori, Davide Roncarati and Vincenzo Scarlato
Int. J. Mol. Sci. 2021, 22(15), 7848; https://doi.org/10.3390/ijms22157848 - 22 Jul 2021
Cited by 9 | Viewed by 3342
Abstract
HP1043 is an essential orphan response regulator of Helicobacter pylori orchestrating multiple crucial cellular processes. Classified as a member of the OmpR/PhoB family of two-component systems, HP1043 exhibits a highly degenerate receiver domain and evolved to function independently of phosphorylation. Here, we investigated [...] Read more.
HP1043 is an essential orphan response regulator of Helicobacter pylori orchestrating multiple crucial cellular processes. Classified as a member of the OmpR/PhoB family of two-component systems, HP1043 exhibits a highly degenerate receiver domain and evolved to function independently of phosphorylation. Here, we investigated the HP1043 binding mode to a target sequence in the hp1227 promoter (Php1227). Scanning mutagenesis of HP1043 DNA-binding domain and consensus sequence led to the identification of residues relevant for the interaction of the protein with a target DNA. These determinants were used as restraints to guide a data-driven protein-DNA docking. Results suggested that, differently from most other response regulators of the same family, HP1043 binds in a head-to-head conformation to the Php1227 target promoter. HP1043 interacts with DNA largely through charged residues and contacts with both major and minor grooves of the DNA are required for a stable binding. Computational alanine scanning on molecular dynamics trajectory was performed to corroborate our findings. Additionally, in vitro transcription assays confirmed that HP1043 positively stimulates the activity of RNA polymerase. Full article
(This article belongs to the Special Issue Bacterial Regulatory Proteins)
Show Figures

Figure 1

15 pages, 1027 KB  
Review
Machine Learning Approaches for Protein–Protein Interaction Hot Spot Prediction: Progress and Comparative Assessment
by Siyu Liu, Chuyao Liu and Lei Deng
Molecules 2018, 23(10), 2535; https://doi.org/10.3390/molecules23102535 - 4 Oct 2018
Cited by 70 | Viewed by 11145
Abstract
Hot spots are the subset of interface residues that account for most of the binding free energy, and they play essential roles in the stability of protein binding. Effectively identifying which specific interface residues of protein–protein complexes form the hot spots is critical [...] Read more.
Hot spots are the subset of interface residues that account for most of the binding free energy, and they play essential roles in the stability of protein binding. Effectively identifying which specific interface residues of protein–protein complexes form the hot spots is critical for understanding the principles of protein interactions, and it has broad application prospects in protein design and drug development. Experimental methods like alanine scanning mutagenesis are labor-intensive and time-consuming. At present, the experimentally measured hot spots are very limited. Hence, the use of computational approaches to predicting hot spots is becoming increasingly important. Here, we describe the basic concepts and recent advances of machine learning applications in inferring the protein–protein interaction hot spots, and assess the performance of widely used features, machine learning algorithms, and existing state-of-the-art approaches. We also discuss the challenges and future directions in the prediction of hot spots. Full article
(This article belongs to the Special Issue Computational Analysis for Protein Structure and Interaction)
Show Figures

Figure 1

13 pages, 1491 KB  
Article
Prediction of Protein Hotspots from Whole Protein Sequences by a Random Projection Ensemble System
by Jinjian Jiang, Nian Wang, Peng Chen, Chunhou Zheng and Bing Wang
Int. J. Mol. Sci. 2017, 18(7), 1543; https://doi.org/10.3390/ijms18071543 - 18 Jul 2017
Cited by 20 | Viewed by 5453
Abstract
Hotspot residues are important in the determination of protein-protein interactions, and they always perform specific functions in biological processes. The determination of hotspot residues is by the commonly-used method of alanine scanning mutagenesis experiments, which is always costly and time consuming. To address [...] Read more.
Hotspot residues are important in the determination of protein-protein interactions, and they always perform specific functions in biological processes. The determination of hotspot residues is by the commonly-used method of alanine scanning mutagenesis experiments, which is always costly and time consuming. To address this issue, computational methods have been developed. Most of them are structure based, i.e., using the information of solved protein structures. However, the number of solved protein structures is extremely less than that of sequences. Moreover, almost all of the predictors identified hotspots from the interfaces of protein complexes, seldom from the whole protein sequences. Therefore, determining hotspots from whole protein sequences by sequence information alone is urgent. To address the issue of hotspot predictions from the whole sequences of proteins, we proposed an ensemble system with random projections using statistical physicochemical properties of amino acids. First, an encoding scheme involving sequence profiles of residues and physicochemical properties from the AAindex1 dataset is developed. Then, the random projection technique was adopted to project the encoding instances into a reduced space. Then, several better random projections were obtained by training an IBk classifier based on the training dataset, which were thus applied to the test dataset. The ensemble of random projection classifiers is therefore obtained. Experimental results showed that although the performance of our method is not good enough for real applications of hotspots, it is very promising in the determination of hotspot residues from whole sequences. Full article
(This article belongs to the Special Issue Special Protein Molecules Computational Identification)
Show Figures

Figure 1

26 pages, 6027 KB  
Article
Glutamine Synthetase Drugability beyond Its Active Site: Exploring Oligomerization Interfaces and Pockets
by Cátia Moreira, Maria J. Ramos and Pedro A. Fernandes
Molecules 2016, 21(8), 1028; https://doi.org/10.3390/molecules21081028 - 8 Aug 2016
Cited by 12 | Viewed by 7719
Abstract
Background: Glutamine synthetase (GS) is a crucial enzyme to the nitrogen cycle with great commercial and pharmaceutical value. Current inhibitors target the active site, affecting GS activity indiscriminately in all organisms. As the active site is located at the interface between two [...] Read more.
Background: Glutamine synthetase (GS) is a crucial enzyme to the nitrogen cycle with great commercial and pharmaceutical value. Current inhibitors target the active site, affecting GS activity indiscriminately in all organisms. As the active site is located at the interface between two monomers, the protein-protein interface (PPI) of GSs gains a new role, by providing new targets for enzyme inhibition. Exploring GSs PPI could allow for the development of inhibitors selective for specific organisms. Here we map the PPI of three GSs—human (hsGS), maize (zmGS) and Mycobacterium tuberculosis (mtGS)—and unravel new drugable pockets. Methods: The PPI binding free energy coming from key residues on three GSs from different organisms were mapped by computational alanine scan mutagenesis, applying a multiple dielectric constant MM-PBSA methodology. The most relevant residues for binding are referred as hot-spots. Drugable pockets on GS were detected with the Fpocket software. Results and Conclusions: A total of 23, 19 and 30 hot-spots were identified on hsGS, zmGS and mtGS PPI. Even possessing differences in the hot-spots, hsGS and zmGS PPI are overall very similar. On the other hand, mtGS PPI differs greatly from hsGS and zmGS PPI. A novel drugable pocket was detected on the mtGS PPI. It seems particularly promising for the development of selective anti-tuberculosis drugs given its location on a PPI region that is highly populated with hot-spots and is completely different from the hsGS and zmGS PPIs. Drugs targeting this pockets should be inactive on eukaryotic GS II enzymes. Full article
(This article belongs to the Special Issue Computational Design: A New Approach to Drug and Molecular Discovery)
Show Figures

Graphical abstract

Back to TopTop