Sign in to use this feature.

Years

Between: -

Subjects

remove_circle_outline
remove_circle_outline
remove_circle_outline
remove_circle_outline
remove_circle_outline
remove_circle_outline

Journals

Article Types

Countries / Regions

Search Results (7)

Search Parameters:
Keywords = cold tolerance at booting stage

Order results
Result details
Results per page
Select all
Export citation of selected articles as:
18 pages, 3023 KB  
Article
Integrated Transcriptome and Metabolome Analysis Revealed the Molecular Mechanisms of Cold Stress in Japonica Rice at the Booting Stage
by Wendong Ma, Zhenhua Guo, Peng Li, Hu Cao, Yongsheng Cai, Xirui Zhang, Xiao Han, Yanjiang Feng, Jinjie Li and Zichao Li
Agriculture 2026, 16(1), 19; https://doi.org/10.3390/agriculture16010019 - 21 Dec 2025
Viewed by 373
Abstract
Japonica rice is susceptible to cold stress at the booting stage, yet the systematic molecular mechanisms underlying varietal disparities in cold tolerance at this stage remain poorly understood. To fill this research gap, cold-tolerant LG1934 (V3) and cold-sensitive KD8 (V6) were subjected to [...] Read more.
Japonica rice is susceptible to cold stress at the booting stage, yet the systematic molecular mechanisms underlying varietal disparities in cold tolerance at this stage remain poorly understood. To fill this research gap, cold-tolerant LG1934 (V3) and cold-sensitive KD8 (V6) were subjected to low-temperature treatment (15 °C) for 0 h (T1), 72 h (T3), and 120 h (T5) at the booting stage, followed by analyses of agronomic traits, antioxidant physiology, metabolome, transcriptome, and weighted gene co-expression network analysis (WGCNA). Phenotypic results showed that low temperature was the main driver of differences in panicle length, seed setting rate, and grain weight between the two varieties, with V3 exhibiting significantly stronger cold tolerance. Under cold stress, V3 maintained higher activities of superoxide dismutase (SOD), peroxidase (POD), and catalase (CAT), accompanied by lower O2 accumulation and higher contents of malondialdehyde (MDA), H2O2, and proline compared to V6. Metabolomic analysis identified 56 differential accumulated metabolites (DAMs), with amino acids and their derivatives (notably L-aspartic acid) as key contributors. RNA-seq analysis identified 472 common differentially expressed genes (DEGs) that were enriched in alanine, aspartate, and glutamate metabolism, with 20 transcription factors (TFs) from TCP, WRKY, and bHLH families screened. The WGCNA revealed nine DEM-correlated modules, with orange and pink modules positively associated with L-aspartic acid. Eleven core TFs were identified, among which OsPCF5 acted as a hub regulator that activated OsASN1 transcription to promote L-aspartate biosynthesis, enhancing ROS scavenging and cold tolerance. This study systematically demonstrated the cold tolerance molecular network in japonica rice at the booting stage, highlighting the antioxidant system and L-aspartate-mediated pathway, and the core genes provided valuable resources for cold-tolerance breeding. Full article
(This article belongs to the Section Crop Production)
Show Figures

Figure 1

27 pages, 7306 KB  
Review
Cold-Tolerant and Short-Duration Rice (Oryza sativa L.) for Sustainable Food Security of the Flash Flood-Prone Haor Wetlands of Bangladesh
by Mobarak Hossain, Partha Biswas and Mohammad Rafiqul Islam
Sustainability 2023, 15(24), 16873; https://doi.org/10.3390/su152416873 - 15 Dec 2023
Cited by 6 | Viewed by 4929
Abstract
Rice cultivation in the low-lying basin-like wetlands, known as the Haor, is often affected by early flash floods during the first two weeks of April. The flooding is mainly caused by heavy rainfall and water surging downstream from the Meghalaya hills in [...] Read more.
Rice cultivation in the low-lying basin-like wetlands, known as the Haor, is often affected by early flash floods during the first two weeks of April. The flooding is mainly caused by heavy rainfall and water surging downstream from the Meghalaya hills in India. This flash flood poses a significant threat to rice production, risking the country’s food security. Dry winter (Boro) rice is the primary food source throughout the year in the Haor region. Flash floods are the most catastrophic, affecting about 80% or even the entire rice yield. In 2017, a loss of 0.88 million metric tons of Boro rice in Haor regions cost the nation USD 450 million. To escape flash floods, it is recommended to sow Boro rice earlier, between the last week of October and the first week of November, instead of around 15 November so rice may be harvested by the last week of March before the onset of flash floods. However, early sowing has a possibility of causing grain sterility due to cold spells when the booting and heading stages of rice inevitably coincide with the cold period between 15 January and 7 February. The minimum temperature in the Haor regions ranges from 11 to 15 °C during this time. Rice is especially susceptible to low average temperatures (<20 °C) during the reproductive stage, leading to pollen abortion and the malformation of immature microspores. Low temperatures mainly impact rice cultivation in Haor regions during the reproductive phase, resulting in the degeneration of the spikelets, partial panicle exertion, and increased spikelet sterility, leading to a decrease in grain yield. Over two million hectares of Boro rice have been damaged by extreme cold spells in recent years, resulting in partial or total yield loss. To overcome the threats of flash floods and cold injury, breeding short-duration and cold-tolerant rice varieties is crucial. We assume that an economic benefit of USD 230 million per year could be achieved through the development and adoption of short-duration and cold-tolerant high-yielding rice varieties in the Haor regions of the country. In this review article, the authors summarized the problems and outline a way forward to overcome the flash flood and cold injury of Boro rice cultivation in the Haor districts of the country. Furthermore, the authors discussed the various forms and scenarios of cold damage and the global existence of cold-tolerant rice cultivars. Based on the available data from earlier research, a potential way of mitigating flash floods and cold devastation was suggested. Full article
(This article belongs to the Section Sustainable Agriculture)
Show Figures

Figure 1

15 pages, 2596 KB  
Article
Exogenous Diethylaminoethyl Hexanoate Highly Improved the Cold Tolerance of Early japonica Rice at Booting
by Shiqiang Wang, Dengmei He, Shanwei Yang, Dawei Yin, Haihong Zhao and Changliang Xiao
Agronomy 2022, 12(12), 3045; https://doi.org/10.3390/agronomy12123045 - 1 Dec 2022
Cited by 9 | Viewed by 2056
Abstract
Rice (Oryza sativa L.) is highly sensitive to cold stress, which leads to large reductions in rice yield at the booting stage. In this study, Kongyu131 and Kenjiandao6 rice cultivars with different levels of cold stress sensitivity were sprayed with diethylaminoethyl hexanoate [...] Read more.
Rice (Oryza sativa L.) is highly sensitive to cold stress, which leads to large reductions in rice yield at the booting stage. In this study, Kongyu131 and Kenjiandao6 rice cultivars with different levels of cold stress sensitivity were sprayed with diethylaminoethyl hexanoate (DA-6) concentrations of 500, 200, 20, 2, 0.2, and 0 mg/L one day before undergoing cold water stress (CWS). We analyzed changes in yield and its factors, dry matter production, stem characteristics, and physiological and biochemical characteristics of the rice plants. The results showed that DA-6 increased peroxidase activity, delayed nitrogen and chlorophyll degradation, maintained soluble protein and potassium contents, and suppressed the accumulation of malondialdehyde in the leaves of both cultivars under CWS. DA-6 also increased the phosphorous content and superoxide dismutase activity in Kenjiandao6 under CWS; however, in Kongyu131, DA-6 increased the soluble sugar content. In addition, DA-6 treatment increased the weight of the panicle at maturity, and of the leaf, panicle, and stem-sheath at heading in both cultivars. The lengths of the panicle, the top first internode, the export rate of stem-sheath, translocation rate of stem-sheath, and export of stem-sheath from heading to maturity were increased in Kenjiandao6; however, in Kongyu131, DA-6 increased the dry weight ratio of panicle to total plant and reduced the dry weight ratio of stem-sheath to total plant at maturity. Furthermore, DA-6 improved yield in both cultivars, mainly by increasing the grain weight in the inferior grains (IG) and middle grains (MG) under CWS. DA-6 increased the grain weight in the IG and MG in Kenjiandao6 mainly by enhancing the seed setting rate and number of filled grains (NFG) in the IG and MG, and in Kongyu131 by improving the NFG in MG and IG. The optimal concentration of DA-6 to alleviate CWS was 2 mg/L. In conclusion, exogenous DA-6 was effective for maintaining dry matter production and physiology in two early japonica rice cultivars under CWS at booting, thereby improving cold tolerance and enhancing yield. The less cold-tolerant cultivar Kenjiandao6 was more sensitive to the effects of DA-6 and displayed better results than the more cold-tolerant cultivar Kongyu131. Full article
Show Figures

Figure 1

16 pages, 2554 KB  
Article
OsMKKK70 Negatively Regulates Cold Tolerance at Booting Stage in Rice
by Enyang Mei, Jiaqi Tang, Mingliang He, Zhiqi Liu, Xiaojie Tian and Qingyun Bu
Int. J. Mol. Sci. 2022, 23(22), 14472; https://doi.org/10.3390/ijms232214472 - 21 Nov 2022
Cited by 8 | Viewed by 2972
Abstract
Cold stress at the booting stage leads to a lower seed setting rate and seriously threatens the production of rice (Oryza sativa L.), which has become a major yield-limiting factor in higher-altitude and -latitude regions. Because cold tolerance at the booting stage [...] Read more.
Cold stress at the booting stage leads to a lower seed setting rate and seriously threatens the production of rice (Oryza sativa L.), which has become a major yield-limiting factor in higher-altitude and -latitude regions. Because cold tolerance at the booting stage (CTB) is a complex trait and is controlled by multiple loci, only a few genes have been reported so far. In this study, a function of OsMKKK70 (Mitogen Activated Protein Kinase Kinase Kinase 70) in response to CTB was characterized. OsMKKK70 expression was rapidly induced by cold stress at the booting stage. OsMKKK70 overexpression (OsMKKK70-OE) plants were more sensitive to cold stress at the booting stage with a lower seed setting and pollen fertility, but there was no significant difference between the osmkkk70 mutant and WT. Considering the effect of functional redundancy, we further tested the CTB response of osmkkk62/70 and osmkkk55/62/70, the double and triple mutants of OsMKKK70 with its closest homologs OsMKKK62 and OsMKKK55, and found that osmkkk62/70 and osmkkk55/62/70 displayed significantly increased CTB with a higher seed setting and pollen fertility, indicating that OsMKKK70 negatively regulates rice CTB. Moreover, under the low-temperature (LT) condition, the osmkkk62/70 mutant had slightly higher Gibberellin (GA) contents, increased expression of GA biosynthesis genes, and lower protein level of OsSLR1 in anthers than those in WT. By contrast, OsMKKK70-OE anther had a lower GA biosynthesis than that of WT. Together, these findings suggest that OsMKKK70 negatively regulates rice CTB by fine-tuning GA levels in anthers. Full article
(This article belongs to the Special Issue Rice Molecular Breeding and Genetics)
Show Figures

Figure 1

15 pages, 3650 KB  
Article
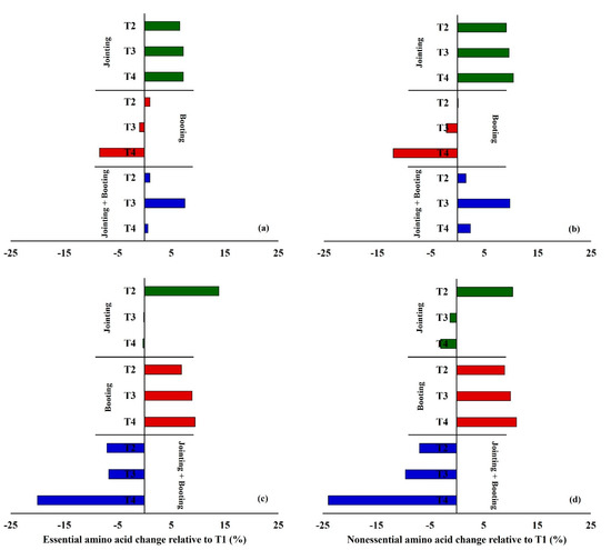
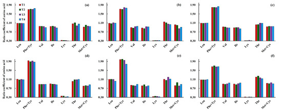
Effects of Low Temperature on the Amino Acid Composition of Wheat Grains
by Xinyi Hu, Jifeng Ma, Weihao Qian, Yuan Cao, Yu Zhang, Bing Liu, Liang Tang, Weixing Cao, Yan Zhu and Leilei Liu
Agronomy 2022, 12(5), 1171; https://doi.org/10.3390/agronomy12051171 - 12 May 2022
Cited by 21 | Viewed by 4226
Abstract
Global warming can have detrimental effects on crop production formation, but the effect of low-temperature stress on crop quality should not be ignored. Wheat is one of the main grain crops in the world, and the quality of wheat is directly related to [...] Read more.
Global warming can have detrimental effects on crop production formation, but the effect of low-temperature stress on crop quality should not be ignored. Wheat is one of the main grain crops in the world, and the quality of wheat is directly related to human health. The nutritional importance of wheat in the human diet necessitates pursuing a study to collect detailed and accurate knowledge of the amino acid composition of wheat proteins under low-temperature conditions. To better understand the effect of low temperature on the composition of amino acids in mature wheat, we conducted a two-year low-temperature-controlled wheat pot experiment in artificial climate chambers with two different wheat cultivars at four low-temperature intensities during the jointing, booting, and both jointing and booting stages. Our results suggest that the contents of total amino acids, essential amino acids, and nonessential amino acids for the cold-sensitive wheat cultivar (Yangmai16) increased under the low-temperature treatments, while the contents of the cold-tolerant cultivar (Xumai30) decreased when low-temperature was applied during the jointing and double (both jointing and booting) stages. Through the amino acid score (AAS), we found that the first limiting amino acid was Lys, while the second limiting amino acid varied among Ile, Met + Cys, and Val after the low-temperature treatments. Comparing the amino acid ratio coefficients (RCs), we found that Leu and Thr in wheat grains were close to the standard protein after the low-temperature treatments, while Phe and Tyr were in a surplus, and the other essential amino acids did not meet the standard. Thus, to improve the protein quality of wheat, protective measures should be taken when low temperatures occur. Full article
Show Figures

Figure 1

15 pages, 1578 KB  
Article
Identification of Quantitative Trait Loci for Spikelet Fertility at the Booting Stage in Rice (Oryza sativa L.) under Different Low-Temperature Conditions
by Jong-Min Jeong, Youngjun Mo, Ung-Jo Hyun and Ji-Ung Jeung
Agronomy 2020, 10(9), 1225; https://doi.org/10.3390/agronomy10091225 - 19 Aug 2020
Cited by 4 | Viewed by 3085
Abstract
Cold stress in rice is a critical factor limiting growth and yield in temperate regions. In this study, we identified quantitative trait loci (QTL) conferring cold tolerance during the booting stage using a recombinant inbred line population derived from a cross between a [...] Read more.
Cold stress in rice is a critical factor limiting growth and yield in temperate regions. In this study, we identified quantitative trait loci (QTL) conferring cold tolerance during the booting stage using a recombinant inbred line population derived from a cross between a cold-susceptible Tongil-type cultivar Milyang23 and a cold-tolerant japonica cultivar Giho. A phenotypic evaluation was performed in a cold-water-irrigated field (17 °C) and a temperature-controlled (17 °C/17 °C air and water) greenhouse at the booting stage. Four QTL, including two on chromosome 1 and one each on chromosomes 6 and 9, were identified in the cold-water-irrigated field, with an R2 range of 6.3%–10.6%. Three QTL, one on each of chromosomes 2, 6 and 9, were identified under the temperature-controlled greenhouse condition, with an R2 range of 5.7%–15.1%. Among these, two QTL pairs on chromosomes 6 (qSFF6 and qSFG6) and 9 (qSFF9 and qSFG9) were detected in the cold treatments of both field and greenhouse screenings. Our results provide a reliable dual-screening strategy for rice cold tolerance at the booting stage. Full article
(This article belongs to the Section Crop Breeding and Genetics)
Show Figures

Figure 1

14 pages, 2763 KB  
Article
Near-Isogenic Lines of Japonica Rice Revealed New QTLs for Cold Tolerance at Booting Stage
by Zhenghai Sun, Juan Du, Xiaoying Pu, Muhammad Kazim Ali, Xiaomeng Yang, Chengli Duan, Meirong Ren, Xia Li and Yawen Zeng
Agronomy 2019, 9(1), 40; https://doi.org/10.3390/agronomy9010040 - 21 Jan 2019
Cited by 6 | Viewed by 4957
Abstract
Low temperature stress severely hampers rice productivity, and hence elaborating chilling-mediated physiochemical alterations and unravelling cold tolerance pathways will facilitate cold resilient rice breeding. Various cold tolerant Near-isogenic lines (NILs) selected at the booting stage through backcrossing of a japonica landrace Lijing2 (cold [...] Read more.
Low temperature stress severely hampers rice productivity, and hence elaborating chilling-mediated physiochemical alterations and unravelling cold tolerance pathways will facilitate cold resilient rice breeding. Various cold tolerant Near-isogenic lines (NILs) selected at the booting stage through backcrossing of a japonica landrace Lijing2 (cold tolerant) with cold sensitive Towada (a japonica cultivar). The cold tolerance attributes of NILs was validated over two years by evaluating the spikelet fertility followed by correlation of nineteen morphological traits with the rate of seed setting (RSS). Results revealed BG, FG, 1-2IL, RSLL, and UIL were significantly correlated with RSS and had nearer marker interval distance with cold tolerance in QTL analysis. Two QTLs, qCTB-7-a and qCTB-7-b, were found for RSS based on a mixed linear model. Alleles of two QTLs were contributed by Lijing2 and genetic distances between the peaks were 0.00 and 0.06cM, which explained 5.70% and 8.36% variation, respectively, One QTL for 1-2IL, RSLL, and ILBS, while two QTLs for FG, BG, and UIL were also identified. These findings can be exploited to engineer low temperature stress tolerant rice in times of climate change. Full article
Show Figures

Figure 1

Back to TopTop