Sign in to use this feature.

Years

Between: -

Subjects

remove_circle_outline
remove_circle_outline
remove_circle_outline
remove_circle_outline

Journals

Article Types

Countries / Regions

Search Results (3)

Search Parameters:
Keywords = clique motif

Order results
Result details
Results per page
Select all
Export citation of selected articles as:
18 pages, 3330 KB  
Article
Research on a Link Prediction Algorithm Based on Hypergraph Representation Learning
by Kang Fu, Guanghui Yan, Hao Luo, Wenwen Chang and Jingwen Li
Electronics 2023, 12(23), 4842; https://doi.org/10.3390/electronics12234842 - 30 Nov 2023
Cited by 1 | Viewed by 1525
Abstract
Link prediction is a crucial area of study within complex networks research. Mapping nodes to low-dimensional vectors through network embeddings is a vital technique for link prediction. Most of the existing methods employ “node–edge”-structured networks to model the data and learn node embeddings. [...] Read more.
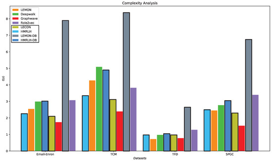
Link prediction is a crucial area of study within complex networks research. Mapping nodes to low-dimensional vectors through network embeddings is a vital technique for link prediction. Most of the existing methods employ “node–edge”-structured networks to model the data and learn node embeddings. In this paper, we initially introduce the Clique structure to enhance the existing model and investigate the impact of introducing two Clique structures (LECON: Learning Embedding based on Clique Of the Network) and nine motifs (LEMON: Learning Embedding based on Motif Of the Network), respectively, on experimental performance. Subsequently, we introduce a hypergraph to model the network and reconfigure the network by mapping hypermotifs to two structures: open hypermotif and closed hypermotif, respectively. Then, we introduce hypermotifs as supernodes to capture the structural similarity between nodes in the network (HMRLH: HyperMotif Representation Learning on Hypergraph). After that, taking into account the connectivity and structural similarity of the involved nodes, we propose the Depth and Breadth Motif Random Walk method to acquire node sequences. We then apply this method to the LEMON (LEMON-DB: LEMON-Depth and Breadth Motif Random Walk) and HMRLH (HMRLH-DB: HMRLH-Depth and Breadth Motif Random Walk) algorithms. The experimental results on four different datasets indicate that, compared with the LEMON method, the LECON method improves experimental performance while reducing time complexity. The HMRLH method, utilizing hypernetwork modeling, proves more effective in extracting node features. The LEMON-DB and HMRLH-DB methods, incorporating new random walk approaches, outperform the original methods in the field of link prediction. Compared with state-of-the-art baselines, the proposed approach in this paper effectively enhances link prediction accuracy, demonstrating a certain level of superiority. Full article
Show Figures

Figure 1

18 pages, 11580 KB  
Article
Using a Graph Engine to Visualize the Reconnaissance Tactic of the MITRE ATT&CK Framework from UWF-ZeekData22
by Sikha S. Bagui, Dustin Mink, Subhash C. Bagui, Michael Plain, Jadarius Hill and Marshall Elam
Future Internet 2023, 15(7), 236; https://doi.org/10.3390/fi15070236 - 6 Jul 2023
Cited by 2 | Viewed by 3637
Abstract
There has been a great deal of research in the area of using graph engines and graph databases to model network traffic and network attacks, but the novelty of this research lies in visually or graphically representing the Reconnaissance Tactic (TA0043) of the [...] Read more.
There has been a great deal of research in the area of using graph engines and graph databases to model network traffic and network attacks, but the novelty of this research lies in visually or graphically representing the Reconnaissance Tactic (TA0043) of the MITRE ATT&CK framework. Using the newly created dataset, UWF-Zeekdata22, based on the MITRE ATT&CK framework, patterns involving network connectivity, connection duration, and data volume were found and loaded into a graph environment. Patterns were also found in the graphed data that matched the Reconnaissance as well as other tactics captured by UWF-Zeekdata22. The star motif was particularly useful in mapping the Reconnaissance Tactic. The results of this paper show that graph databases/graph engines can be essential tools for understanding network traffic and trying to detect network intrusions before they happen. Finally, an analysis of the runtime performance of the reduced dataset used to create the graph databases showed that the reduced datasets performed better than the full dataset. Full article
(This article belongs to the Special Issue Graph Machine Learning and Complex Networks)
Show Figures

Figure 1

14 pages, 2644 KB  
Article
Airline Network Structure: Motifs and Airports’ Role in Cliques
by Huijuan Yang, Meilong Le and Di Wang
Sustainability 2021, 13(17), 9573; https://doi.org/10.3390/su13179573 - 25 Aug 2021
Cited by 9 | Viewed by 2670
Abstract
The air transport system can be considered to be a complex network with airports as vertices and direct flights as edges. Research in this area contributes to the optimisation of the airline network and the sustainable development in transportation. This study chose Air [...] Read more.
The air transport system can be considered to be a complex network with airports as vertices and direct flights as edges. Research in this area contributes to the optimisation of the airline network and the sustainable development in transportation. This study chose Air China as an example to discover the dynamics of the airline network topologically. Serving as a critical agent of social and economic connections between cities, the airline network structure evolves over time. However, Air China maintains its multicentric and hierarchical structure and forms a mature point-to-point network with codeshare partners. This research also extracts key players at the airport level and investigates the topological structure of highly connected cliques. The results show that the combination of airports in the cliques may be affected by the airline capacity, traffic rights and interline cooperation. Meanwhile, smaller airports appear more often in cliques than hub airports, which can be interpreted and justified with slot limits at mega-airports. The weighted clique percolation method provides new insights to detecting overlapping communities, which can be characterized by geographical constraints. The shared vertices in the combined codeshare network indicate the possible hub shifting in the constantly changing aviation sector. Full article
(This article belongs to the Section Sustainable Transportation)
Show Figures

Figure 1

Back to TopTop