Sign in to use this feature.

Years

Between: -

Subjects

remove_circle_outline
remove_circle_outline
remove_circle_outline
remove_circle_outline
remove_circle_outline

Journals

Article Types

Countries / Regions

Search Results (7)

Search Parameters:
Keywords = bud blight

Order results
Result details
Results per page
Select all
Export citation of selected articles as:
16 pages, 1199 KB  
Article
Peach Buds’ Microbiome Profiling Reveals Cultivar-Specific Signatures Associated with TCSB Susceptibility
by Antonella Cardacino, Taner Tastekin, Federico Brugneti, Marco Cirilli, Angelo Mazzaglia and Silvia Turco
Stresses 2025, 5(3), 60; https://doi.org/10.3390/stresses5030060 - 19 Sep 2025
Cited by 1 | Viewed by 792
Abstract
The plant microbiome plays a pivotal role in host development and resilience against biotic and abiotic stresses. In perennial crops like peach, microbial communities inhabiting dormant buds—critical yet vulnerable organs—may influence disease outcomes and plant fitness. This study characterized the bacterial and fungal [...] Read more.
The plant microbiome plays a pivotal role in host development and resilience against biotic and abiotic stresses. In perennial crops like peach, microbial communities inhabiting dormant buds—critical yet vulnerable organs—may influence disease outcomes and plant fitness. This study characterized the bacterial and fungal communities associated with the buds of three peach cultivars differing in susceptibility to Twig Canker and Shoot Blight (TCSB). Amplicon-based profiling revealed distinct microbiome signatures across cultivars, shaped by host genotype. The highly tolerant ‘Catherina’ harbored a structured and relatively diverse community enriched in beneficial bacterial genera such as Pseudomonas, Sphingomonas, and Curtobacterium, alongside protective yeasts including Aureobasidium and Cladosporium. In contrast, the susceptible cultivar ‘Pavoro®-Pav 1605’ hosted a less balanced microbiome, marked by enrichment of opportunistic pathogens such as Alternaria and Diaporthe, as well as the bacterial lineage 1174-901-12. The intermediate cultivar ‘Lami®.COM’ displayed a transitional profile enriched in Sphingomonas, Pelomonas, and Vishniacozyma. Differential abundance analyses confirmed cultivar-specific enrichment patterns, underscoring the influence of genotype in shaping microbiota composition and potential disease outcomes. These findings support the integration of microbiome-based approaches into sustainable disease management via beneficial microbial promotion, early detection of harmful consortia, and microbiome-informed breeding to foster resilient, low-input peach cultivation systems. Full article
(This article belongs to the Collection Feature Papers in Plant and Photoautotrophic Stresses)
Show Figures

Figure 1

19 pages, 5707 KB  
Article
Foliar Lesions Induced by Pestalotiopsis arengae in Oil Palm (O × G) in the Colombian Southwest Palm Zone
by William Fabian Betancourt-Ortiz, Hector Camilo Medina-Cardenas, Jose Luis Padilla-Agudelo, Francia Helena Varon, Yuri Adriana Mestizo-Garzón, Anuar Morales-Rodríguez and Greicy Andrea Sarria-Villa
J. Fungi 2024, 10(1), 24; https://doi.org/10.3390/jof10010024 - 29 Dec 2023
Cited by 5 | Viewed by 2380
Abstract
In Colombia, plantings with the oil palm hybrid between Elaeis oleifera × Elaeis guineensis, known as O × G hybrid, have increased due to its tolerance to bud rot. Despite this, different degrees of foliar necrosis, chlorosis, and leaf blight have been [...] Read more.
In Colombia, plantings with the oil palm hybrid between Elaeis oleifera × Elaeis guineensis, known as O × G hybrid, have increased due to its tolerance to bud rot. Despite this, different degrees of foliar necrosis, chlorosis, and leaf blight have been reported in some cultivars; therefore, this work aimed to diagnose this problem. We visited plantation plots with palms exhibiting the mentioned symptoms and collected 21 samples of affected tissues in different disease states. The affected tissues were examined and seeded in a culture medium. Pathogenicity tests were performed and the isolates were characterized by culture and morphological and molecular features. Curvularia, Colletotrichum, Phoma, and 25 Pestalotiopsis-like fungi were isolated from the foliar lesions. In the pathogenicity tests, the symptoms observed in the field were reproduced with MFTU01-1, MFTU12, and MFTU21 isolates, which were identified at the species level through a sequence analysis of three genes (ITS, TUB2, and TEF1-α) as Pestalotiopsis arengae with an identical level of 99% based on the results of BLAST and phylogenetic tree analyses. The remaining 22 Pestalotiopsis-like non-pathogenic isolates were identified as species of Neopestalotiopsis and Pseudopestalotiopsis. The direct association of P. arengae with the disease was confirmed via molecular detection in affected tissues in 15 of 21 samples collected for this evaluation. This is the first report of P. arengae as the causal agent of foliar lesions in O × G hybrid oil palm in Colombia. Full article
(This article belongs to the Section Fungal Pathogenesis and Disease Control)
Show Figures

Figure 1

15 pages, 5178 KB  
Article
Characterization and Control of Dendrobium officinale Bud Blight Disease
by Jinzhao Zhang, Haodong Sha, Weiliang Chen and Bizeng Mao
Pathogens 2023, 12(4), 621; https://doi.org/10.3390/pathogens12040621 - 20 Apr 2023
Cited by 6 | Viewed by 2593
Abstract
Dendrobium officinale is an important traditional Chinese medicine (TCM). A disease causing bud blight in D. officinale appeared in 2021 in Yueqing city, Zhejiang Province, China. In this paper, 127 isolates were obtained from 61 plants. The isolates were grouped into 13 groups [...] Read more.
Dendrobium officinale is an important traditional Chinese medicine (TCM). A disease causing bud blight in D. officinale appeared in 2021 in Yueqing city, Zhejiang Province, China. In this paper, 127 isolates were obtained from 61 plants. The isolates were grouped into 13 groups based on collected areas and morphological observations. Four loci (ITS, LSU, tub2 and rpb2) of 13 representative isolates were sequenced and the isolates were identified by constructing phylogenetic trees with the multi-locus sequence analysis (MLSA) method. We found the disease to be associated with three strains: Ectophoma multirostrata, Alternaria arborescens and Stagonosporopsis pogostemonis, with isolates frequencies of 71.6%, 21.3% and 7.1%, respectively. All three strains are pathogenic to D. officinale. A. arborescens and S. pogostemonis isolated from D. officinale were reported for the first time. Iprodione (50%), 33.5% oxine-copper and Meitian (containing 75 g/L pydiflumetofen and 125 g/L difenoconazole) were chosen to control the dominant pathogen E. multirostrata, with an EC50 value of 2.10, 1.78 and 0.09 mg/L, respectively. All three fungicides exhibited an effective inhibition of activities to the growth of the dominant pathogen E. multirostrata on potato dextrose agar (PDA) plates, with Meitian showing the strongest inhibitory effect. We further found that Meitian can effectively control D. officinale bud blight disease in pot trial. Full article
Show Figures

Figure 1

13 pages, 1031 KB  
Article
Antifungal Effect of Brassica Tissues on the Mycotoxigenic Cereal Pathogen Fusarium graminearum
by Samina Ashiq, Simon Edwards, Andrew Watson, Emma Blundell and Matthew Back
Antibiotics 2022, 11(9), 1249; https://doi.org/10.3390/antibiotics11091249 - 15 Sep 2022
Cited by 4 | Viewed by 2931
Abstract
Fusarium graminearum is a globally important cereal pathogen, causing head blight in wheat, resulting in yield losses and mycotoxin contamination. Currently, triazole fungicides are used to suppress Fusarium graminearum, however, the declining effectiveness of triazoles and concerns over the safety of pesticides [...] Read more.
Fusarium graminearum is a globally important cereal pathogen, causing head blight in wheat, resulting in yield losses and mycotoxin contamination. Currently, triazole fungicides are used to suppress Fusarium graminearum, however, the declining effectiveness of triazoles and concerns over the safety of pesticides have led to the pursuit of safe alternative crop protection strategies such as biofumigation. In the present study, species belonging to Brassicaceae (Brassica juncea, Raphanus sativus, Eruca sativa) were assessed for their biofumigation potential against F. graminearum and the glucosinolate profile of the brassicas was determined. In Petri dishes, mycelial plugs of Fusarium graminearum were exposed to frozen/defrosted leaf discs of brassicas collected at early-leaf, stem-extension, and early-bud stages. Additionally, F. graminearum inoculum was incubated in soil amended with chopped tissues of brassicas in a closed jar experiment. Glucosinolate analysis of the leaf tissue of brassicas revealed that the total glucosinolate concentration of B. juncea ‘Brons’ increased with advancing growth stage (24.5–51.9 µmol g−1). Brassica juncea leaf discs were effective against mycelial growth, while the sinigrin content in the leaf tissue corresponded to the level of suppression. At the stem-extension and early-bud stages, B. juncea ‘Brons’ showed 87–90% suppression with four leaf discs, and 100% suppression with eight leaf discs. Brassica juncea ‘Caliente Rojo’ leaf discs collected at the stem-extension stage showed 94% inhibition with eight discs. In the closed jar experiment, each brassica species significantly suppressed F. graminearum inoculum by 41–55%. The findings suggest that the brassica species investigated in the present study could be effective in reducing the inoculum of F. graminearum in soil prior to cereal production. Full article
Show Figures

Figure 1

16 pages, 4921 KB  
Article
FgCsn12 Is Involved in the Regulation of Ascosporogenesis in the Wheat Scab Fungus Fusarium graminearum
by Hang Jiang, Yuhan Zhang, Wanshan Wang, Xinyu Cao, Huaijian Xu, Huiquan Liu, Junshan Qi, Cong Jiang and Chenfang Wang
Int. J. Mol. Sci. 2022, 23(18), 10445; https://doi.org/10.3390/ijms231810445 - 9 Sep 2022
Cited by 6 | Viewed by 2806
Abstract
Fusarium head blight (FHB), caused by the fungal pathogen Fusarium graminearum, is a destructive disease worldwide. Ascospores are the primary inoculum of F. graminearum, and sexual reproduction is a critical step in its infection cycle. In this study, we characterized the [...] Read more.
Fusarium head blight (FHB), caused by the fungal pathogen Fusarium graminearum, is a destructive disease worldwide. Ascospores are the primary inoculum of F. graminearum, and sexual reproduction is a critical step in its infection cycle. In this study, we characterized the functions of FgCsn12. Although the ortholog of FgCsn12 in budding yeast was reported to have a direct interaction with Csn5, which served as the core subunit of the COP9 signalosome, the interaction between FgCsn12 and FgCsn5 was not detected through the yeast two-hybrid assay. The deletion of FgCSN12 resulted in slight defects in the growth rate, conidial morphology, and pathogenicity. Instead of forming four-celled, uninucleate ascospores, the Fgcsn12 deletion mutant produced oval ascospores with only one or two cells and was significantly defective in ascospore discharge. The 3′UTR of FgCsn12 was dispensable for vegetative growth but essential for sexual reproductive functions. Compared with those of the wild type, 1204 genes and 2240 genes were up- and downregulated over twofold, respectively, in the Fgcsn12 mutant. Taken together, FgCsn12 demonstrated an important function in the regulation of ascosporogenesis in F. graminearum. Full article
(This article belongs to the Special Issue Fungal Diseases in Crops)
Show Figures

Figure 1

14 pages, 4826 KB  
Article
Gemmamyces piceae Bud Blight Damage in Norway Spruce (Picea abies) and Colorado Blue Spruce (Picea pungens) Forest Stands
by Michal Samek, Roman Modlinger, Daniel Bat’a, František Lorenc, Jana Vachová, Ivana Tomášková and Vítězslava Pešková
Forests 2022, 13(2), 164; https://doi.org/10.3390/f13020164 - 22 Jan 2022
Cited by 3 | Viewed by 3582
Abstract
Since 2008, spruce bud blight (Gemmamyces piceae (Borthw.) Casagr.) has been spreading epidemically in forest stands of the Czech Republic’s Ore Mountains. This fungus, with a disjunct Holarctic range, injures buds, especially of Colorado blue spruce (Picea pungens Engelm.). Damaged buds [...] Read more.
Since 2008, spruce bud blight (Gemmamyces piceae (Borthw.) Casagr.) has been spreading epidemically in forest stands of the Czech Republic’s Ore Mountains. This fungus, with a disjunct Holarctic range, injures buds, especially of Colorado blue spruce (Picea pungens Engelm.). Damaged buds do not sprout, and, in case of a stronger attack, the tree does not recover its assimilation apparatus and may die. Within the past few years, there has been a huge spread of this fungus throughout the mountain range. This paper summarizes the biology of G. piceae, its host plants, and presents the first findings from the massive outbreak of G. piceae. In 2015, an increase in damage was detected on Norway spruce (Picea abies (L.) Karst). The course of the G. piceae epidemic had been monitored in 25 permanent research plots over the course of 11 years. In the case of Colorado blue spruce, stands aged 10–60 years were attacked, with 60% of buds damaged on average. The intensity of damage to Norway spruce buds was around 25%. Norway spruce infestation varied significantly depending upon the age of the stand (GLMM: p < 0.01). In the age class of 31–60 years, on average 80% of individuals were infested. In older stands, only 42% of trees were infested, and no infestation was found in individuals younger than 15 years. In Colorado blue spruce, the distribution of the pathogen was continuous, whereby all individuals in the research plots were affected, and, with the exception of a few trees, the infestation was lethal or resulted in a significant reduction of the assimilation apparatus. The development of damage on Colorado blue spruce can be characterized as continuous growth. Full article
(This article belongs to the Special Issue Ecology and Management of Forest Pests)
Show Figures

Figure 1

11 pages, 2027 KB  
Article
In Vitro and In Vivo Effect of Poplar Bud Extracts on Phytophthora infestans: A New Effective Biological Method in Potato Late Blight Control
by Botond Turóczi, József Bakonyi, Károly-Attila Szabó, János Bálint, István Máthé, Szabolcs Lányi and Adalbert Balog
Plants 2020, 9(2), 217; https://doi.org/10.3390/plants9020217 - 8 Feb 2020
Cited by 9 | Viewed by 3553
Abstract
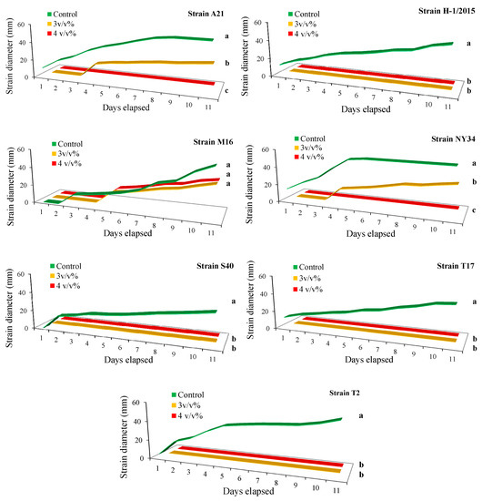
The effect of populin extract from black poplar (Populus nigra) on seven different late blight strains was tested under laboratory and field conditions. The growth rate of hyphae was found to be significantly lower in vitro after 3 and 4 v [...] Read more.
The effect of populin extract from black poplar (Populus nigra) on seven different late blight strains was tested under laboratory and field conditions. The growth rate of hyphae was found to be significantly lower in vitro after 3 and 4 v/v% populin applications. Stain M16 was resistant to populin treatment under lab conditions, however. Both 5% and 10% concentration populin reduced the M16 strain’s severity on potato leaves under field conditions and proved to be even more effective than conventionally used fungicides Infinito 687 Sc and Valis M. Higher infection intensity at the 1% level was observed after 24 h using Valis M, and the same trend toward 10% infection remained after 48 and 72 h as well. Low, almost-no-infection intensity was detected after populin 5% and 10% treatment under an open field condition. Altogether, it can be concluded that populin extract can be a low-cost option for growers and an environmentally friendly approach in late blight control. Full article
(This article belongs to the Section Plant Protection and Biotic Interactions)
Show Figures

Figure 1

Back to TopTop