Sign in to use this feature.

Years

Between: -

Subjects

remove_circle_outline
remove_circle_outline
remove_circle_outline
remove_circle_outline
remove_circle_outline
remove_circle_outline
remove_circle_outline
remove_circle_outline

Journals

Article Types

Countries / Regions

Search Results (4)

Search Parameters:
Keywords = blasting crater radius

Order results
Result details
Results per page
Select all
Export citation of selected articles as:
24 pages, 101170 KB  
Article
Study on the Charge Structure Optimization for Coal–Rock Mixed Blasting and Separate Mining in Open-Pit Mine with High Benches
by Anjun Jiang, Honglu Fei, Yu Yan, Yanyu Liu, Shijie Bao and Jian Guo
Appl. Sci. 2025, 15(8), 4521; https://doi.org/10.3390/app15084521 - 19 Apr 2025
Viewed by 602
Abstract
This study systematically analyzes the influence of the charge length-to-diameter ratio and stemming length on the radius and volume of blasting craters in coal and rock blasting crater tests to effectively address the challenge of achieving coal–rock separation in mixed blasting construction. In [...] Read more.
This study systematically analyzes the influence of the charge length-to-diameter ratio and stemming length on the radius and volume of blasting craters in coal and rock blasting crater tests to effectively address the challenge of achieving coal–rock separation in mixed blasting construction. In addition, it examines the energy distribution mechanism of blasting fragmentation and establishes characteristic equations for coal and rock blasting craters. Numerical simulations and blasting tests are conducted to investigate the casting effect of rock benches and the fragmentation characteristics of coal and rock benches under different charge structures. The results indicate that when the ratio of charge length to stemming length exceeds 0.91 and 0.74 for the coal and rock benches, respectively, the utilization rate of explosive energy for rock fragmentation gradually surpasses that for rock throwing. The charging structure is identified as a key factor in achieving coal–rock mixed blasting and separation mining. The explosive energy is effectively utilized with a bottom interval length of 2 m for rock benches and a stemming length ranging from 2.5 to 3 m for coal seams. This configuration raises the connectivity of rock damage cracks, improves the distribution of tensile cracks at the top of the coal seam, and prevents bulging or coal–rock interactions (blasting mixing) at the coal–rock interface. The findings demonstrate that the optimized charging structure effectively achieves separate mining in coal–rock mixed blasting, fulfilling the requirement of avoiding coal–rock mixing during blasting. The research provides valuable mining strategies and technical experience for achieving separate mining in coal–rock mixed blasting in open-pit coal mines and improving the recovery of thin coal seams. Full article
Show Figures

Figure 1

20 pages, 5014 KB  
Case Report
Holistic Case Study on the Explosion of Ammonium Nitrate in Tianjin Port
by Gending Yu, Yih-Shing Duh, Xiaodong Yang, Yongzhao Li, Yangqing Chen, Yuqi Li, Jingling Li, Rongguo Chen, Lingzhu Gong, Bin Yang and Jiulai Huang
Sustainability 2022, 14(6), 3429; https://doi.org/10.3390/su14063429 - 15 Mar 2022
Cited by 11 | Viewed by 7751
Abstract
On 12 August 2015, Tianjin port, Tianjin City, China, a catastrophic explosion of Ruihai International Logistics Co., Ltd. (Tianjin, China) killed 173 and hurt almost 798 people, accompanying a financial loss of almost USD 2 billion. The ignition of the first fire due [...] Read more.
On 12 August 2015, Tianjin port, Tianjin City, China, a catastrophic explosion of Ruihai International Logistics Co., Ltd. (Tianjin, China) killed 173 and hurt almost 798 people, accompanying a financial loss of almost USD 2 billion. The ignition of the first fire due to the autocatalytic decomposition of nitrocellulose was verified by differential scanning calorimeter (DSC) isothermal tests. A crater with a diameter of 97 m was created by the second explosion. For the second catastrophic explosion, an amount of 577 tons of trinitrotoluene was determined by the average through scaling law, crater inverse analysis and blast effects on structures. The overpressure against distance for consequence analysis was conducted using Baker’s, Sadovski’s and Alonso’s methodologies. A distinctive scenario of “two-successive-sympathetic detonations-following-a-fire” was proposed and discussed. Isothermal time-to-maximum-rate was validated to be approximately 9 days for the nitrocellulose inside the containers with an internal temperature of 60 °C stored at Tianjin port. A fatality radius chosen at the overpressure of 0.6 bar was ascertained to be nearly 410 m from the explosion origin. Full article
Show Figures

Figure 1

14 pages, 6715 KB  
Article
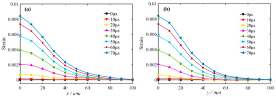
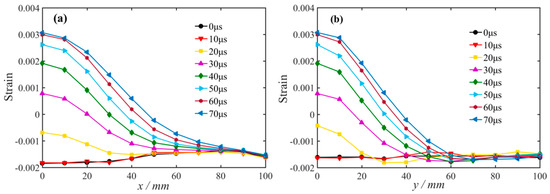
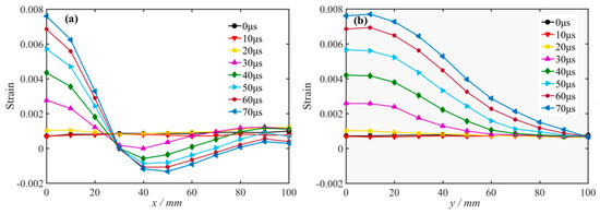
Strain Field Evolution Characteristics of Free Surface during Crater Blasting in Sandstone under High Stress
by Fengpeng Zhang, Guangliang Yan, Qibo Yang, Jikai Gao and Yuanhui Li
Appl. Sci. 2020, 10(18), 6285; https://doi.org/10.3390/app10186285 - 10 Sep 2020
Cited by 15 | Viewed by 2553
Abstract
Considering the problems related to hard rock blasting under high in-situ stresses at large depths, we conducted crater blasting tests on sandstone specimens under three static load conditions to investigate the strain field evolution of rock blasting under high stress. The digital image [...] Read more.
Considering the problems related to hard rock blasting under high in-situ stresses at large depths, we conducted crater blasting tests on sandstone specimens under three static load conditions to investigate the strain field evolution of rock blasting under high stress. The digital image correlation (DIC) technique was used to monitor the evolution of the strain field on the free surface. Thus, the influence of the static stress on the blasting strain field was analyzed, and the formation mechanism of cracks on the free surface was elucidated. The results indicate that a circular tensile strain zone was formed without static loading. The direction of the maximum principal strain was perpendicular to the radius, which lead to the random emergence of multiple radial tensile cracks. Under a uniaxial static loading, an elliptical tensile strain zone was formed. The direction of the maximum principal strain was perpendicular to the static loading direction. This facilitated the initiation and propagation of tensile cracks preferentially in the direction parallel to the static loading. Under an equal biaxial static loading, the initial compressive strain in the specimen reduced the increment rate of the blasting strain, and restrained the formation of surface cracks. Besides, a determination method for dynamic tensile fracture strain of rock was proposed. Full article
(This article belongs to the Section Mechanical Engineering)
Show Figures

Figure 1

13 pages, 2668 KB  
Article
Effects of Water Depth and Ice Thickness on Ice Cover Blasting for Ice Jam Flood Prevention: A Case Study on the Heilong River, China
by Tao Wang, Xinlei Guo, Hui Fu, Yongxin Guo, Xuming Peng, Yunan Wu, Jiazhen Li and Yinyin Xia
Water 2018, 10(6), 700; https://doi.org/10.3390/w10060700 - 28 May 2018
Cited by 14 | Viewed by 4635
Abstract
Ice blasting with explosives is an important method for mitigating or preventing ice jam floods during the spring breakup of frozen rivers. Successful blasting relies on properly determining the relationships between parameters including blasting crater radius, explosive weight, ice cover thickness, and water [...] Read more.
Ice blasting with explosives is an important method for mitigating or preventing ice jam floods during the spring breakup of frozen rivers. Successful blasting relies on properly determining the relationships between parameters including blasting crater radius, explosive weight, ice cover thickness, and water depth, though variations in the final three factors have significant effects on the blasting crater radius. We conducted field experiments in an upper reach of the Heilong (Amur) River, which forms the border between China and Russia, in order to develop an empirical formula correlating these factors. The blasting crater radius determined by the proposed equation resulted in average errors of less than 8.5% when compared with the measured values. This formula was used for ice blasting along the upper Heilong River in spring 2016 and 2017, successfully preventing ice jam formation during river breakup and thus providing a scientific basis for the prevention of ice-related flooding in northern regions. Full article
(This article belongs to the Section Hydrology)
Show Figures

Figure 1

Back to TopTop