error_outline You can access the new MDPI.com website here. Explore and share your feedback with us.
 
 
Sign in to use this feature.

Years

Between: -

Subjects

remove_circle_outline
remove_circle_outline
remove_circle_outline
remove_circle_outline

Journals

Article Types

Countries / Regions

Search Results (2)

Search Parameters:
Keywords = at‒height workers

Order results
Result details
Results per page
Select all
Export citation of selected articles as:
15 pages, 2226 KB  
Article
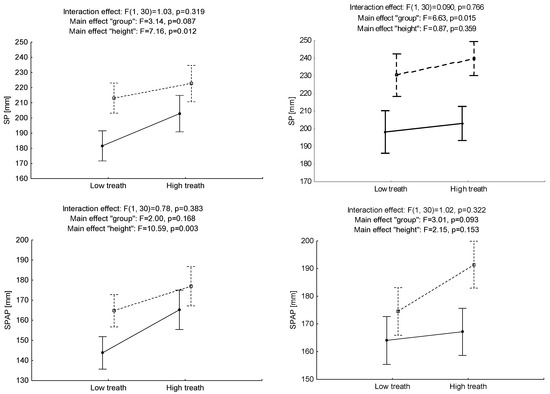
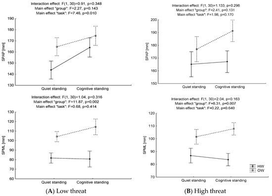
The Effects of Cognitive Task and Change of Height on Postural Stability and Cardiovascular Stress in Workers Working at Height
by Magdalena Cyma-Wejchenig, Janusz Maciaszek, Katarzyna Marciniak and Rafał Stemplewski
Int. J. Environ. Res. Public Health 2020, 17(18), 6541; https://doi.org/10.3390/ijerph17186541 - 8 Sep 2020
Cited by 8 | Viewed by 4028
Abstract
The purpose of the study was to analyze the effects of cognitive task and change of height on the postural stability and cardiovascular stress of at-height workers. The study included 32 healthy men aged 25–47. Due to the type of work performed, two [...] Read more.
The purpose of the study was to analyze the effects of cognitive task and change of height on the postural stability and cardiovascular stress of at-height workers. The study included 32 healthy men aged 25–47. Due to the type of work performed, two groups were identified: at‒height workers, HW (n = 16), and office workers (mainly work at desk with a computer) OW (n = 16). The objective measures of postural stability (posturography) and cardiovascular stress (heart rate monitor) were evaluated for both groups at two different platform heights (ground level and 1 m above the ground) with or without cognitive task (backward counting). The increased height and the cognitive task were found to significantly affect measures of postural stability and cardiovascular stress. It was observed that in inexperienced OW employees, higher platform height and performing a cognitive task meant that posture stability significantly decreased, while cardiovascular stress and difficulties in maintaining balance increased. In HW group postural stability is less affected by distress conditions than in OW group. Full article
Show Figures

Figure 1

17 pages, 1394 KB  
Article
The Influence of Proprioceptive Training with the Use of Virtual Reality on Postural Stability of Workers Working at Height
by Magdalena Cyma-Wejchenig, Jacek Tarnas, Katarzyna Marciniak and Rafał Stemplewski
Sensors 2020, 20(13), 3731; https://doi.org/10.3390/s20133731 - 3 Jul 2020
Cited by 29 | Viewed by 6134
Abstract
The aim of the study was to assess the impact of proprioceptive training with the use of virtual reality (VR) on the level of postural stability of high–altitude workers. Twenty-one men working at height were randomly assigned to the experimental group (EG) with [...] Read more.
The aim of the study was to assess the impact of proprioceptive training with the use of virtual reality (VR) on the level of postural stability of high–altitude workers. Twenty-one men working at height were randomly assigned to the experimental group (EG) with training (n = 10) and control group (CG) without training (n = 11). Path length of the displacement of the center of pressure (COP) signal and its components in the anteroposterior and medial–lateral directions were measured with use of an AccuGaitTM force plate before and after intervention (6 weeks, 2 sessions × 30 min a week). Tests were performed at two different platform heights, with or without eyes open and with or without a dual task. Two–way ANOVA revealed statistically significant interaction effects for low–high threat, eyes open-eyes closed, and single task-dual task. Post-training values of average COP length were significantly lower in the EG than before training for all analyzed parameters. Based on these results, it can be concluded that the use of proprioceptive training with use of VR can support, or even replace, traditional methods of balance training. Full article
(This article belongs to the Special Issue Human and Animal Motion Tracking Using Inertial Sensors)
Show Figures

Figure 1

Back to TopTop