Sign in to use this feature.

Years

Between: -

Subjects

remove_circle_outline
remove_circle_outline
remove_circle_outline
remove_circle_outline
remove_circle_outline

Journals

Article Types

Countries / Regions

Search Results (3)

Search Parameters:
Keywords = addendum modification coefficient

Order results
Result details
Results per page
Select all
Export citation of selected articles as:
23 pages, 11604 KB  
Article
Investigation of Load Capacity of High-Contact-Ratio Internal Spur Gear Drive with Arc Path of Contact
by Yanzhong Wang, Peng Liu and Delong Dou
Appl. Sci. 2022, 12(7), 3345; https://doi.org/10.3390/app12073345 - 25 Mar 2022
Cited by 6 | Viewed by 4280
Abstract
Tooth root bending stress and surface contact stress are two major determinants of the load carrying capacity of gear drives. Generally, a high contact ratio has the potential to enhance the gear strength. In this paper, the basic procedures and methods for constructing [...] Read more.
Tooth root bending stress and surface contact stress are two major determinants of the load carrying capacity of gear drives. Generally, a high contact ratio has the potential to enhance the gear strength. In this paper, the basic procedures and methods for constructing a high-contact-ratio (HCR) internal spur gear pair with the arc path of the contact are presented. The effects of design and modification parameters such as deflection angle, modification angle, and addendum coefficient on gear drive are analyzed in detail based on 2D finite-element models (FEMs). A comparison of experimental and finite-element analyses (FEA) of the bending stress, contact stress, and contact ratio between HCR and involute internal spur gear drives was conducted to demonstrate the advantages of the HCR gear drive in terms of load capacity. The results show that appropriately increasing the deflection angle and addendum coefficient is beneficial for reducing bending and contact stresses. It was also observed that the bending and contact stresses of a HCR pinion are lower than those of an involute one. Moreover, the contact ratio increases with input torque. Full article
Show Figures

Figure 1

19 pages, 6108 KB  
Article
A Novel Comprehensive Method for Modeling and Analysis of Mesh Stiffness of Helical Gear
by Shaoshuai Hou, Jing Wei, Aiqiang Zhang, Chunpeng Zhang, Junhui Yan and Changlu Wang
Appl. Sci. 2020, 10(19), 6695; https://doi.org/10.3390/app10196695 - 24 Sep 2020
Cited by 28 | Viewed by 5017
Abstract
The mesh stiffness of gear pairs used in aerospace applications, such as geared turbofan, has a vital influence on vibration and noise. To compensate for the deficiencies of the conventional method that does not consider slice coupling and structure coupling simultaneously, a comprehensive [...] Read more.
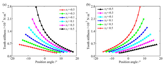
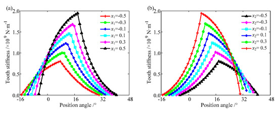
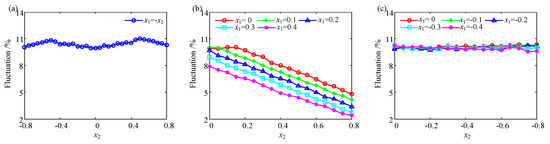
The mesh stiffness of gear pairs used in aerospace applications, such as geared turbofan, has a vital influence on vibration and noise. To compensate for the deficiencies of the conventional method that does not consider slice coupling and structure coupling simultaneously, a comprehensive mathematical model for computing the mesh stiffness of helical gears is established. In this novel model, the effect of structure coupling and slice coupling between neighboring sliced gears are considered. The effect of the axial component of meshing force is also taken into account simultaneously. The results obtained by the comprehensive model are consistent with the finite element method and it proves that the novel mathematical model is sound. The influences of the helical angle and addendum modification coefficient on mesh stiffness are studied. The results show that the mesh stiffness of helical gears would be decreased in multiteeth regions caused by structure coupling. With or without consideration of the axial component, the relative mean values of mesh stiffness become larger with an increasing helical angle. The fluctuation value of mesh stiffness decreases when a positive addendum modification coefficient is adopted. The addendum modification also changes the phase of mesh stiffness. This study is helpful for a vibration analysis of gear transmission systems. Full article
(This article belongs to the Section Mechanical Engineering)
Show Figures

Figure 1

8 pages, 3650 KB  
Article
The Effects of Addendum Modification Coefficient on Tooth Stresses of Spur Gear
by Durmuş Günay, Halil Özer and Alpay Aydemir
Math. Comput. Appl. 1996, 1(1), 36-43; https://doi.org/10.3390/mca1010036 - 1 Jun 1996
Cited by 2 | Viewed by 2275
Abstract
The effects of addendum modification coefficient on the root stresses of spur gear are investigated. By considering positive and negative addendum modificated gears, distributions of root stresses are determined by the finite element method. The root stresses of addendum modificated gears are compared [...] Read more.
The effects of addendum modification coefficient on the root stresses of spur gear are investigated. By considering positive and negative addendum modificated gears, distributions of root stresses are determined by the finite element method. The root stresses of addendum modificated gears are compared with those of standard gears. The problem is analyzed as one in the plane stress and, also the plane strain. Full article
Back to TopTop