Sign in to use this feature.

Years

Between: -

Subjects

remove_circle_outline
remove_circle_outline
remove_circle_outline

Journals

Article Types

Countries / Regions

Search Results (2)

Search Parameters:
Keywords = Xu–Payne model

Order results
Result details
Results per page
Select all
Export citation of selected articles as:
15 pages, 5198 KB  
Article
Estimation of the Transverse Wave Velocity in Siliceous Carbonate Reservoirs of the Dengying Formation in the Gaoshiti–Moxi Area, Sichuan Basin, China
by Lian Xue, Zhengping Zhu, Xuebo Weng, Renfang Pan and Jinxiong Shi
Energies 2024, 17(1), 135; https://doi.org/10.3390/en17010135 - 26 Dec 2023
Cited by 1 | Viewed by 1598
Abstract
Siliceous minerals of the Dengying Formation in the Gaoshiti–Moxi area in the central Sichuan Basin exhibit four types of quartz crystals (cryptocrystalline quartz, chalcedony, microcrystalline quartz, and megacrystalline quartz) and three structural types: cryptocrystalline, microcrystalline, and mosaic (laminated mosaic, window-hole interrupted mosaic, and [...] Read more.
Siliceous minerals of the Dengying Formation in the Gaoshiti–Moxi area in the central Sichuan Basin exhibit four types of quartz crystals (cryptocrystalline quartz, chalcedony, microcrystalline quartz, and megacrystalline quartz) and three structural types: cryptocrystalline, microcrystalline, and mosaic (laminated mosaic, window-hole interrupted mosaic, and arc-laminated mosaic). Siliceous minerals have a great influence on the storage performance of the reservoirs in the Dengying Formation. According to the petrophysical parameters of the Dengying Formation and porosity intersection diagrams, the siliceous dolomite and the reservoirs have low impedance characteristics, which makes it difficult to distinguish between them and leads to difficulties in the characterization and prediction of the reservoirs. The transverse wave velocity is favorable for reservoir characterization. Currently, the main method used to estimate the transverse wave velocity is petrophysical modeling, which establishes a relationship between the elastic and physical parameters of the reservoir. In this paper, the siliceous minerals in the dolomite in the study area are regarded as solid inclusions, and the calculation method of the rock matrix modulus is improved by using solid replacement. Then, an improved petrophysical model is constructed by combining the KT (Kuster–Toksöz) model, the DEM (Discrete Element Method) model, the Gassmann equation, and the Wood equation. The transverse wave velocity is estimated using the improved model under the constraint of the longitudinal wave velocity. The shapes of the transverse wave velocity curves obtained by the improved model and the deviations from the measured velocities are significantly better than those of the Xu–Payne model and other models. The results show that the improved model can effectively estimate the transverse wave velocity of the reservoir in this area, which provides a basis for future reservoir predictions in this area. Full article
Show Figures

Figure 1

18 pages, 7576 KB  
Article
Elastic Properties of Pannonian Basin Limestone under Different Saturation Conditions
by Domagoj Vukadin, Jasna Orešković and Csaba Kutasi
Energies 2021, 14(21), 7291; https://doi.org/10.3390/en14217291 - 3 Nov 2021
Cited by 2 | Viewed by 2578
Abstract
Understanding elastic properties of reservoir rocks is essential for seismic modeling under different saturation conditions as well as lithology discrimination. Experiments on elastic properties of limestones are significantly less published compared to siliciclastic sedimentary rocks. The current study presents the results of laboratory [...] Read more.
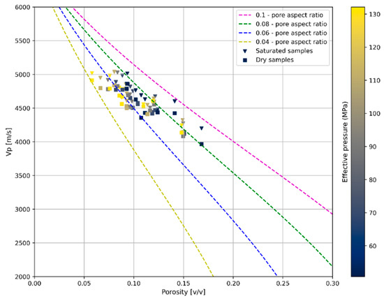
Understanding elastic properties of reservoir rocks is essential for seismic modeling under different saturation conditions as well as lithology discrimination. Experiments on elastic properties of limestones are significantly less published compared to siliciclastic sedimentary rocks. The current study presents the results of laboratory measurements on Pannonian Basin limestone cores. The research was carried out for the first time for a hydrocarbon reservoir in the Bjelovar Depression, located in the southern part of the Pannonian Basin. Ultrasonic velocity measurements and determination of dynamic elastic properties were performed on limestone plugs, in dry and saturated condition under different confining pressure steps. Based on the results obtained in laboratory conditions, an empirical relationship between shear wave velocity (Vs) and compressional wave velocity (Vp) has been defined. The saturated samples show an effect of shear modulus weakening, while three samples have a shear modulus strengthening effect. Two models were used in the interpretation of the measured data, the Kuster and Toksöz and the Xu-Payne model. The results show that the Xu-Payne model describes the data well and the dominant pore type system in the limestone samples can been identified. The interpretation revealed an interparticle pore system with a fraction of microcracks from 20% to 35%. The results have helped to understand the elastic properties of limestones from the southern part of the Pannonian Basin, which are necessary for any process of reservoir characterization, such as porosity distribution and permeability variation. Full article
(This article belongs to the Section H: Geo-Energy)
Show Figures

Graphical abstract

Back to TopTop