Sign in to use this feature.

Years

Between: -

Subjects

remove_circle_outline
remove_circle_outline
remove_circle_outline
remove_circle_outline
remove_circle_outline

Journals

Article Types

Countries / Regions

Search Results (3)

Search Parameters:
Keywords = TBCNN

Order results
Result details
Results per page
Select all
Export citation of selected articles as:
22 pages, 16205 KB  
Article
Hyper Spectral Camera ANalyzer (HyperSCAN)
by Wen-Qian Chang, Hsun-Ya Hou, Pei-Yuan Li, Michael W. Shen, Cheng-Ling Kuo, Tang-Huang Lin, Loren C. Chang, Chi-Kuang Chao and Jann-Yenq Liu
Remote Sens. 2025, 17(5), 842; https://doi.org/10.3390/rs17050842 - 27 Feb 2025
Cited by 2 | Viewed by 2827
Abstract
HyperSCAN (Hyper Spectral Camera ANalyzer) is a hyperspectral imager which monitors the Earth’s environment and also an educational platform to integrate college students’ ideas and skills in optical design and data processing. The advantages of HyperSCAN are that it is designed for modular [...] Read more.
HyperSCAN (Hyper Spectral Camera ANalyzer) is a hyperspectral imager which monitors the Earth’s environment and also an educational platform to integrate college students’ ideas and skills in optical design and data processing. The advantages of HyperSCAN are that it is designed for modular design, is compact and lightweight, and low-cost using commercial off-the-shelf (COTS) optical components. The modular design allows for flexible and rapid development, as well as validation within college lab environments. To optimize space utilization and reduce the optical path, HyperSCAN’s optical system incorporates a folding mirror, making it ideal for the constrained environment of a CubeSat. The use of COTS components significantly lowers pre-development costs and minimizes associated risks. The compact size and cost-effectiveness of CubeSats, combined with the advanced capabilities of hyperspectral imagers, make them a powerful tool for a broad range of applications, such as environmental monitoring of Earth, disaster management, mineral and resource exploration, atmospheric and climate studies, and coastal and marine research. We conducted a spatial-resolution-boost experiment using HyperSCAN data and various hyperspectral datasets including Urban, Pavia University, Pavia Centre, Botswana, and Indian Pines. After testing various data-fusion deep learning models, the best image quality of these methods is a two-branches convolutional neural network (TBCNN), where TBCNN retrieves spatial and spectral features in parallel and reconstructs the higher-spatial-resolution data. With the aid of higher-spatial-resolution multispectral data, we can boost the spatial resolution of HyperSCAN data. Full article
Show Figures

Figure 1

14 pages, 2750 KB  
Article
Automatic Classification of Equivalent Mutants in Mutation Testing of Android Applications
by Muhammad Bello Kusharki, Sanjay Misra, Bilkisu Muhammad-Bello, Ibrahim Anka Salihu and Bharti Suri
Symmetry 2022, 14(4), 820; https://doi.org/10.3390/sym14040820 - 14 Apr 2022
Cited by 10 | Viewed by 4104
Abstract
Software and symmetric testing methodologies are primarily used in detecting software defects, but these testing methodologies need to be optimized to mitigate the wasting of resources. As mobile applications are becoming more prevalent in recent times, the need to have mobile applications that [...] Read more.
Software and symmetric testing methodologies are primarily used in detecting software defects, but these testing methodologies need to be optimized to mitigate the wasting of resources. As mobile applications are becoming more prevalent in recent times, the need to have mobile applications that satisfy software quality through testing cannot be overemphasized. Testing suites and software quality assurance techniques have also become prevalent, which underscores the need to evaluate the efficacy of these tools in the testing of the applications. Mutation testing is one such technique, which is the process of injecting small changes into the software under test (SUT), thereby creating mutants. These mutants are then tested using mutation testing techniques alongside the SUT to determine the effectiveness of test suites through mutation scoring. Although mutation testing is effective, the cost of implementing it, due to the problem of equivalent mutants, is very high. Many research works gave varying solutions to this problem, but none used a standardized dataset. In this research work, we employed a standard mutant dataset tool called MutantBench to generate our data. Subsequently, an Abstract Syntax Tree (AST) was used in conjunction with a tree-based convolutional neural network (TBCNN) as our deep learning model to automate the classification of the equivalent mutants to reduce the cost of mutation testing in software testing of android applications. The result shows that the proposed model produces a good accuracy rate of 94%, as well as other performance metrics such as recall (96%), precision (89%), F1-score (92%), and Matthew’s correlation coefficients (88%) with fewer False Negatives and False Positives during testing, which is significant as it implies that there is a decrease in the risk of misclassification. Full article
(This article belongs to the Special Issue Recent Advances in Software for Symmetry)
Show Figures

Figure 1

18 pages, 16154 KB  
Article
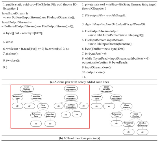
Two-Pass Technique for Clone Detection and Type Classification Using Tree-Based Convolution Neural Network
by Young-Bin Jo, Jihyun Lee and Cheol-Jung Yoo
Appl. Sci. 2021, 11(14), 6613; https://doi.org/10.3390/app11146613 - 19 Jul 2021
Cited by 21 | Viewed by 3693
Abstract
Appropriate reliance on code clones significantly reduces development costs and hastens the development process. Reckless cloning, in contrast, reduces code quality and ultimately adds costs and time. To avoid this scenario, many researchers have proposed methods for clone detection and refactoring. The developed [...] Read more.
Appropriate reliance on code clones significantly reduces development costs and hastens the development process. Reckless cloning, in contrast, reduces code quality and ultimately adds costs and time. To avoid this scenario, many researchers have proposed methods for clone detection and refactoring. The developed techniques, however, are only reliably capable of detecting clones that are either entirely identical or that only use modified identifiers, and do not provide clone-type information. This paper proposes a two-pass clone classification technique that uses a tree-based convolution neural network (TBCNN) to detect multiple clone types, including clones that are not wholly identical or to which only small changes have been made, and automatically classify them by type. Our method was validated with BigCloneBench, a well-known and wildly used dataset of cloned code. Our experimental results validate that our technique detected clones with an average rate of 96% recall and precision, and classified clones with an average rate of 78% recall and precision. Full article
(This article belongs to the Section Computing and Artificial Intelligence)
Show Figures

Figure 1

Back to TopTop