Sign in to use this feature.

Years

Between: -

Subjects

remove_circle_outline
remove_circle_outline
remove_circle_outline
remove_circle_outline
remove_circle_outline

Journals

Article Types

Countries / Regions

Search Results (5)

Search Parameters:
Keywords = SiMPK6

Order results
Result details
Results per page
Select all
Export citation of selected articles as:
14 pages, 3531 KB  
Article
Insight into the Functional Role of SiMPK6 in Stress Response and Photosynthetic Efficiency in Setaria italica
by Dan Zhu, Xiaobing Hu, Hailong Wang, Yonghu Zhang, Xianglong Li, Wenqing Song, Rui Wen, Feng Feng, Ran Chai, Jianhua Wei and Jiewei Zhang
Plants 2025, 14(13), 1960; https://doi.org/10.3390/plants14131960 - 26 Jun 2025
Cited by 2 | Viewed by 825
Abstract
Foxtail millet (Setaria italica), a significant C4 model crop known for its exceptional photosynthetic efficiency and robust environmental adaptability, serves as an excellent model for investigating C4 photosynthesis and crop stress resilience. When subjected to abiotic stress, foxtail millet employs a [...] Read more.
Foxtail millet (Setaria italica), a significant C4 model crop known for its exceptional photosynthetic efficiency and robust environmental adaptability, serves as an excellent model for investigating C4 photosynthesis and crop stress resilience. When subjected to abiotic stress, foxtail millet employs a sophisticated signal transduction network to regulate its physiological processes, ensuring sustained high photosynthetic efficiency and normal growth. The mitogen-activated protein kinase (MAPK) family plays a key role in plant growth, development, and stress response. Here, we identified and named a MAPK in S. italica as SiMPK6. Fluorescence quantitative PCR analysis revealed that SiMPK6 is mainly expressed in the leaves during the early shooting stage, with induction under various abiotic stresses such as low temperature, high osmotic pressure, high salt, high temperature, and high light. Overexpressing the SiMPK6 in Arabidopsis thaliana mitigated damage to photosystem II induced by stress, underscoring the gene’s crucial role in foxtail millet’s stress signal transduction and maintenance of high photosynthetic efficiency. Full article
(This article belongs to the Section Plant Response to Abiotic Stress and Climate Change)
Show Figures

Figure 1

13 pages, 1203 KB  
Article
Small Extracellular Vesicles with a High Sphingomyelin Content Isolated from Hypertensive Diabetic db/db Mice Inhibits Calcium Mobilization and Augments Amiloride-Sensitive Epithelial Sodium Channel Activity
by Hunter Ramsay, Ling Yu, Faisal F. Alousi and Abdel A. Alli
Biology 2025, 14(3), 252; https://doi.org/10.3390/biology14030252 - 1 Mar 2025
Cited by 1 | Viewed by 1034
Abstract
Extracellular vesicles (EVs) contain bioactive lipids that play a key role in pathophysiology. We hypothesized that EVs released from salt-loaded hypertensive diabetic db/db mice have increased bioactive lipid content that inhibits intracellular calcium mobilization and increases the activity of renal epithelial sodium channels [...] Read more.
Extracellular vesicles (EVs) contain bioactive lipids that play a key role in pathophysiology. We hypothesized that EVs released from salt-loaded hypertensive diabetic db/db mice have increased bioactive lipid content that inhibits intracellular calcium mobilization and increases the activity of renal epithelial sodium channels (ENaC). An enrichment of sphingomyelins (SMs) was found in small urinary EVs (uEVs) isolated from salt-loaded hypertensive diabetic db/db mice (n = 4) compared to non-salt loaded db/db mice with diabetes alone (n = 4). Both groups of mice were included in the same cohort to control for variability. Cultured mouse cortical collecting duct (mpkCCD) cells loaded with a calcium reporter dye and challenged with small uEVs from hypertensive diabetic db/db mice showed a decrease in calcium mobilization when compared to cells treated with small uEVs from diabetic db/db mice. The amiloride-sensitive transepithelial current was increased in mpkCCD cells treated with small uEVs with abundant sphingomyelin content from hypertensive diabetic db/db mice in a dose- and time-dependent manner. Similar results were observed in mpkCCD cells and Xenopus 2F3 cells treated with exogenous sphingomyelin in a time-dependent manner. Single-channel patch clamp studies showed a decrease in ENaC activity in cells transiently transfected with sphingomyelin synthase 1/2 specific siRNA compared to non-targeting siRNA. These data suggest EVs with high sphingomyelin content positively regulate renal ENaC activity in a mechanism involving an inhibition of calcium mobilization. Full article
(This article belongs to the Special Issue Physiology and Pathophysiology of the Kidney)
Show Figures

Figure 1

41 pages, 6783 KB  
Article
Stress-Responsive Gene Expression, Metabolic, Physiological, and Agronomic Responses by Consortium Nano-Silica with Trichoderma against Drought Stress in Bread Wheat
by Ghalia S. Aljeddani, Ragaa A. Hamouda, Amal M. Abdelsattar and Yasmin M. Heikal
Int. J. Mol. Sci. 2024, 25(20), 10954; https://doi.org/10.3390/ijms252010954 - 11 Oct 2024
Cited by 8 | Viewed by 3218
Abstract
The exploitation of drought is a critical worldwide challenge that influences wheat growth and productivity. This study aimed to investigate a synergistic amendment strategy for drought using the single and combined application of plant growth-promoting microorganisms (PGPM) (Trichoderma harzianum) and biogenic [...] Read more.
The exploitation of drought is a critical worldwide challenge that influences wheat growth and productivity. This study aimed to investigate a synergistic amendment strategy for drought using the single and combined application of plant growth-promoting microorganisms (PGPM) (Trichoderma harzianum) and biogenic silica nanoparticles (SiO2NPs) from rice husk ash (RHA) on Saudi Arabia’s Spring wheat Summit cultivar (Triticum aestivum L.) for 102 DAS (days after sowing). The significant improvement was due to the application of 600 ppm SiO2NPs and T. harzianum + 600 ppm SiO2NPs, which enhanced the physiological properties of chlorophyll a, carotenoids, total pigments, osmolytes, and antioxidant contents of drought-stressed wheat plants as adaptive strategies. The results suggest that the expression of the studied genes (TaP5CS1, TaZFP34, TaWRKY1, TaMPK3, TaLEA, and the wheat housekeeping gene TaActin) in wheat remarkably enhanced wheat tolerance to drought stress. We discovered that the genes and metabolites involved significantly contributed to defense responses, making them potential targets for assessing drought tolerance levels. The drought tolerance indices of wheat were revealed by the mean productivity (MP), stress sensitivity index (SSI), yield stability index (YSI), and stress tolerance index (STI). We employed four databases, such as BAR, InterPro, phytozome, and the KEGG pathway, to predict and decipher the putative domains in prior gene sequencing. As a result, we discovered that these genes may be involved in a range of important biological functions in specific tissues at different developmental stages, including response to drought stress, proline accumulation, plant growth and development, and defense response. In conclusion, the sole and/or dual T. harzianum application to the wheat cultivar improved drought tolerance strength. These findings could be insightful data for wheat production in Saudi Arabia under various water regimes. Full article
(This article belongs to the Special Issue Advanced Plant Molecular Responses to Abiotic Stresses)
Show Figures

Figure 1

12 pages, 3650 KB  
Article
Enhanced OH Conductivity for Fuel Cells with Anion Exchange Membranes, Based on Modified Terpolymer Polyketone and Surface Functionalized Silica
by Narges Ataollahi, Eleonora Tomasino, Oscar Cotini and Rosa Di Maggio
Energies 2022, 15(5), 1953; https://doi.org/10.3390/en15051953 - 7 Mar 2022
Cited by 8 | Viewed by 3848
Abstract
Several modified terpolymer polyketones (MPK) with N-substituted pyrrole moieties in the main chain and quaternized amine in the side group were synthesized for use as anion exchange membranes for fuel cells. The moieties were carried by SiO2 nanoparticles through surface functionalization (Si–N), [...] Read more.
Several modified terpolymer polyketones (MPK) with N-substituted pyrrole moieties in the main chain and quaternized amine in the side group were synthesized for use as anion exchange membranes for fuel cells. The moieties were carried by SiO2 nanoparticles through surface functionalization (Si–N), which were added to the membranes to enhance their overall properties. On increasing the amount of modified silica from 10% to 60% wt/of MPK, there was an increase in Si–N and a corresponding threefold increase in the hydroxide conductivity of the membrane. The MPK–SiN (60%) exhibited a superior ionic conductivity of 1.05 × 10−1 S.cm−1 at 120 °C, a high mechanical stability, with a tensile strength of 46 MPa at 80 °C. In strongly alkaline conditions (1 M KOH, 216 h at 80 °C), the membranes maintained about 70% of the conductivity measured in a usual environment. Fuel cell performance at 80 °C showed a peak power density of 133 mW·cm−2, indicating that using surface-functionalized SiO2 is a simple and effective way to enhance the overall performance of anion exchange membranes in fuel cell applications. Full article
(This article belongs to the Section D2: Electrochem: Batteries, Fuel Cells, Capacitors)
Show Figures

Graphical abstract

18 pages, 1849 KB  
Article
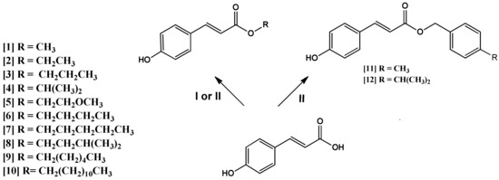
Alkyl and Aryl Derivatives Based on p-Coumaric Acid Modification and Inhibitory Action against Leishmania braziliensis and Plasmodium falciparum
by Susiany P. Lopes, Lina M. Yepes, Yunierkis Pérez-Castillo, Sara M. Robledo and Damião P. de Sousa
Molecules 2020, 25(14), 3178; https://doi.org/10.3390/molecules25143178 - 11 Jul 2020
Cited by 38 | Viewed by 4486
Abstract
In low-income populations, neglected diseases are the principal cause of mortality. Of these, leishmaniasis and malaria, being parasitic, protozoan infections, affect millions of people worldwide and are creating a public health problem. The present work evaluates the leishmanicidal and antiplasmodial action of a [...] Read more.
In low-income populations, neglected diseases are the principal cause of mortality. Of these, leishmaniasis and malaria, being parasitic, protozoan infections, affect millions of people worldwide and are creating a public health problem. The present work evaluates the leishmanicidal and antiplasmodial action of a series of twelve p-coumaric acid derivatives. Of the tested derivatives, eight presented antiparasitic activities 13, 812. The hexyl p-coumarate derivative (9) (4.14 ± 0.55 μg/mL; selectivity index (SI) = 2.72) showed the highest leishmanicidal potency against the Leishmania braziliensis amastigote form. The results of the molecular docking study suggest that this compound inhibits aldehyde dehydrogenase (ALDH), mitogen-activated kinase protein (MPK4), and DNA topoisomerase 2 (TOP2), all of which are key enzymes in the development of Leishmania braziliensis. The data indicate that these enzymes interact via Van der Waals bonds, hydrophobic interactions, and hydrogen bonds with phenolic and aliphatic parts of this same compound. Of the other compounds analyzed, methyl p-coumarate (64.59 ± 2.89 μg/mL; IS = 0.1) demonstrated bioactivity against Plasmodium falciparum. The study reveals that esters presenting a p-coumarate substructure are promising for use in synthesis of derivatives with good antiparasitic profiles. Full article
Show Figures

Figure 1

Back to TopTop