Sign in to use this feature.

Years

Between: -

Subjects

remove_circle_outline
remove_circle_outline
remove_circle_outline
remove_circle_outline

Journals

Article Types

Countries / Regions

Search Results (3)

Search Parameters:
Keywords = Sector Santa Rosa

Order results
Result details
Results per page
Select all
Export citation of selected articles as:
21 pages, 4010 KB  
Article
Determining Key Parameters in Rock Properties for the Design of Hydroelectric Projects: A Case Study in Morona Santiago, Ecuador
by Walter David Becerra Moreira, Antonella Zulema Tupac Yupanqui, Maurizio Mulas and Luis Jorda-Bordehore
Geotechnics 2025, 5(2), 32; https://doi.org/10.3390/geotechnics5020032 - 23 May 2025
Viewed by 1104
Abstract
Subsurface characterisation is a fundamental aspect of the planning and design of hydroelectric projects, as it enables the assessment of the technical and geotechnical feasibility of the proposed infrastructure, ensuring its stability and functionality. This study focuses on the characterisation of rock masses [...] Read more.
Subsurface characterisation is a fundamental aspect of the planning and design of hydroelectric projects, as it enables the assessment of the technical and geotechnical feasibility of the proposed infrastructure, ensuring its stability and functionality. This study focuses on the characterisation of rock masses from boreholes in the “Santa Rosa” and “El Rosario” areas, located in Morona Santiago, Ecuador, to determine key parameters for the design of hydroelectric projects. Field and laboratory tests were conducted, including uniaxial compression tests, indirect tensile–Brazilian tests, point load tests, tilt tests, and geomechanical classifications using the RMR and Q systems. The results show that igneous rocks, such as basalt and andesite, exhibit mechanical properties ranging from moderate to high, with uniaxial compressive strengths exceeding 120 MPa in the case of basalt, classifying it as a strong rock. In contrast, metamorphic rocks, such as chert, exhibit lower strength, with values ranging between 69.69 MPa and 90.63 MPa, classifying them as moderately strong. The RMR and Q index values indicate a variable rock mass quality, ranging from excellent in diorite and granite sectors to low in areas with significant discontinuities and alterations. Additionally, variations in basic friction angles were identified, ranging from 18° to 38°, which directly influence the stability of the proposed structures. In conclusion, this study highlights the importance of geomechanical characterisation in ensuring the technical feasibility of hydroelectric projects, providing key information for the design and development of safe and sustainable infrastructure in the region. Full article
Show Figures

Figure 1

22 pages, 663 KB  
Article
Building a Restorative Agricultural Economy: Insights from a Case Study in Santa Catarina, Brazil
by Joshua Farley and Abdon Schmitt-Filho
Sustainability 2024, 16(11), 4788; https://doi.org/10.3390/su16114788 - 4 Jun 2024
Cited by 2 | Viewed by 2786
Abstract
Agriculture is the most important economic sector and simultaneously the greatest threat to the ecosystem functions on which all complex life depends. It is therefore a logical starting point for developing a restorative economy. We must develop and disseminate agroecosystems capable of providing [...] Read more.
Agriculture is the most important economic sector and simultaneously the greatest threat to the ecosystem functions on which all complex life depends. It is therefore a logical starting point for developing a restorative economy. We must develop and disseminate agroecosystems capable of providing food security for all, while simultaneously restoring vital ecosystem processes degraded by conventional agriculture. We review 25 years of transdisciplinary work towards this goal on an agroecology project in Santa Rosa de Lima, Santa Catarina, Brazil and distill some key lessons for like-minded efforts. We apply the methods of Participatory Action Research and Post Normal Science to integrate the knowledge, insights and goals of farmers, diverse scientists, agricultural extensionists, and policymakers to design high-biodiversity silvopastoral systems and multi-function riparian forests capable of improving farmer livelihoods, and propose policies to support their adoption by aligning the interests of farmers and society. We explain the science underlying our project and document resulting improvements in farmer livelihoods and ecosystem services. We then examine the socioeconomic obstacles to disseminating our innovations and policies that might overcome them and describe our pragmatic approaches to working with policymakers. We conclude that integrating natural sciences, socio-economic analysis and politics are all necessary yet insufficient to promote the large-scale adoption of restorative agriculture. We contend that building a restorative economy will also require a fundamental extension of humanity’s moral values to the rest of nature, and use evolutionary science to support our views. Rather than offering a recipe for successful projects, our take-home message is that developing a restorative agricultural economy in an ever-evolving system is a continuous participatory process with no endpoint. Full article
(This article belongs to the Collection Toward a Restorative Economy)
Show Figures

Figure 1

13 pages, 2513 KB  
Article
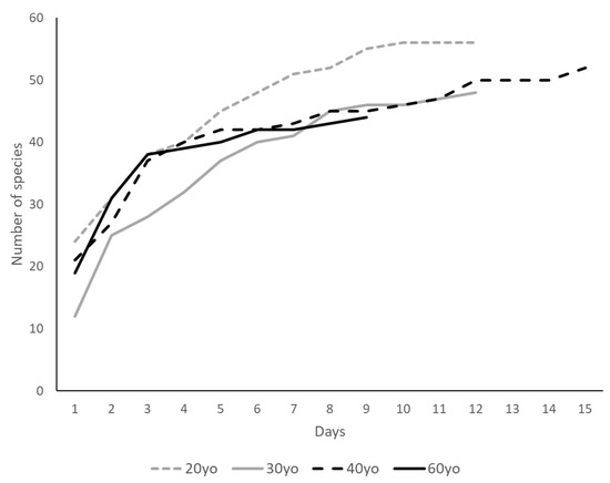
Bird Assemblage Recovery in a Chronosequence of Tropical Dry Forests in Costa Rica
by Branko Hilje, Natalie V. Sánchez, Erin M. Bayne and Arturo Sánchez-Azofeifa
Forests 2020, 11(6), 629; https://doi.org/10.3390/f11060629 - 2 Jun 2020
Cited by 8 | Viewed by 4278
Abstract
Research Highlights: While forest structure recovery in successional tropical forests is well studied, the recovery of fauna and changes in species composition and assemblage along forests succession is not well understood in many areas of the Neotropics like tropical dry forests (TDFs). Background [...] Read more.
Research Highlights: While forest structure recovery in successional tropical forests is well studied, the recovery of fauna and changes in species composition and assemblage along forests succession is not well understood in many areas of the Neotropics like tropical dry forests (TDFs). Background and Objectives: To compare bird species richness and assemblage in tropical dry forests (TDFs) of different ages of recovery from cattle ranching and relate both to forest structural characteristics. Materials and Methods: To sample bird species richness and assemblage in 16 successional forest of different ages (i.e., 20, 30, 40, and 60 years old) using autonomous sound recording units in the TDFs in Costa Rica. Results: A total of 64 species of birds was detected across all forest age classes. The highest species richness was found in the 20-year-old class. Species richness decreased as canopy openness increased, suggesting low forest structural complexity and low availability of perches, nesting sites and food sources. However, bird assemblages were similar among the different forest age classes, suggesting that age itself was not a strong predictor, likely because of high variation in structure within age classes. Conclusions: TDFs can recover structural characteristics important to birds in only a few decades, supporting a rapid bird species assemblage recovery. However, this seems to depend on the starting conditions of the site prior to being recovered. Young TDFs, 20 years old, provide similar habitats for birds as 60-year-old forests do. These findings provide relevant information on the influence of TDF recovery after severe human impact on a highly threatened ecosystem. Full article
(This article belongs to the Section Forest Ecology and Management)
Show Figures

Figure 1

Back to TopTop