Sign in to use this feature.

Years

Between: -

Subjects

remove_circle_outline
remove_circle_outline
remove_circle_outline

Journals

Article Types

Countries / Regions

Search Results (1)

Search Parameters:
Keywords = SIR-SI integral equations

Order results
Result details
Results per page
Select all
Export citation of selected articles as:
22 pages, 3552 KB  
Article
Age-Dependent Survival Rates in SIR-SI Dengue Transmission Model and Its Application Considering Human Vaccination and Wolbachia Infection in Mosquitoes
by Asep K. Supriatna, Hennie Husniah, Edy Soewono, Bapan Ghosh, Yedhi Purwanto and Elah Nurlaelah
Mathematics 2022, 10(21), 3950; https://doi.org/10.3390/math10213950 - 24 Oct 2022
Cited by 5 | Viewed by 3358
Abstract
In this paper, an SIR-SI mathematical model in the form of a system of integral equations describing the transmission of dengue disease between human and mosquitoes is proposed and analyzed. Age-dependent functions are used to describe the survival of individuals in human and [...] Read more.
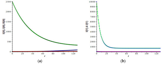
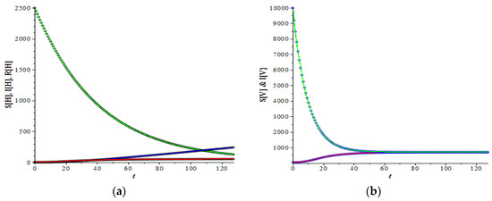
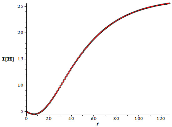
In this paper, an SIR-SI mathematical model in the form of a system of integral equations describing the transmission of dengue disease between human and mosquitoes is proposed and analyzed. Age-dependent functions are used to describe the survival of individuals in human and mosquito populations. The basic reproduction number is derived and its relationship to the equilibria is also explored. The results show that the existence of the positive endemic equilibrium is determined by a threshold number. This threshold number is also the same one that determines the global stability of the equilibrium. The threshold acts like the known basic reproduction number in the counterpart differential equations model and also follows the same rule for the critical level of intervention. Furthermore, as an application, the effect of wolbachia infection is explored, such as how this infection changes the resulting threshold and what the consequence of its presence is in the dynamics of the disease. In this case, the decrease of the mosquitoes’ life expectancy and biting rate are used to reflect the effect of wolbachia bacterial infection on the mosquitoes. In other words, a mosquito which is infected by wolbachia has a lower life expectancy than a normal mosquito. The results, both from mathematical analysis and numerical examples, show that the presence of wolbachia has the potential as a biological control agent to eliminate the dengue in the human population. A comparison of the wolbachia introduction into the mosquito population with the existing strategy, such as vaccination, is also presented. Full article
(This article belongs to the Section E3: Mathematical Biology)
Show Figures

Figure 1

Back to TopTop