Sign in to use this feature.

Years

Between: -

Subjects

remove_circle_outline
remove_circle_outline
remove_circle_outline
remove_circle_outline

Journals

Article Types

Countries / Regions

Search Results (5)

Search Parameters:
Keywords = Rikkunshito

Order results
Result details
Results per page
Select all
Export citation of selected articles as:
15 pages, 1348 KB  
Article
Long-Term Outcomes After Therapeutic Induction in Patients with Functional Dyspepsia
by Takayuki Kitano, Toshihiko Tomita, Masatoshi Mieno, Hirofumi Onishi, Hideki Yoneda, Hiroo Sei, Hirotsugu Eda, Toshiyuki Sato, Mikio Kawai, Yoko Yokoyama, Takuya Okugawa, Hirokazu Fukui, Hiroto Miwa and Shinichiro Shinzaki
J. Clin. Med. 2025, 14(22), 8224; https://doi.org/10.3390/jcm14228224 - 20 Nov 2025
Viewed by 476
Abstract
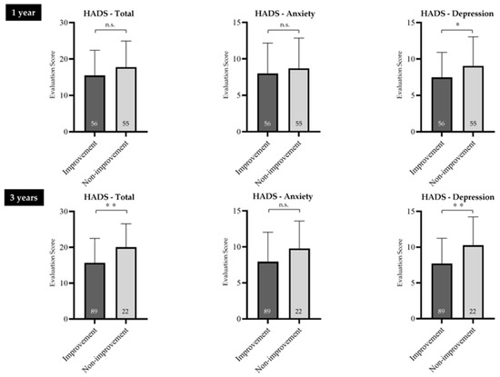
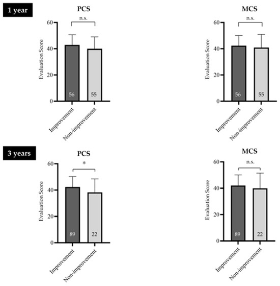
Background: This multicenter retrospective study evaluated the long-term outcomes of functional dyspepsia (FD) and factors associated with treatment resistance over a 3-year period after treatment initiation. Methods: A total of 111 patients diagnosed with FD according to the Rome IV criteria [...] Read more.
Background: This multicenter retrospective study evaluated the long-term outcomes of functional dyspepsia (FD) and factors associated with treatment resistance over a 3-year period after treatment initiation. Methods: A total of 111 patients diagnosed with FD according to the Rome IV criteria and confirmed by upper endoscopy to have no organic disease were retrospectively analyzed. First-line therapy included acid-suppressive drugs, prokinetics, and the Kampo medicine rikkunshito, whereas second-line therapy comprised anxiolytics or antidepressants for refractory cases. Gastrointestinal symptoms, psychological distress, and health-related quality of life were assessed using the Gastrointestinal Symptom Rating Scale (GSRS), Hospital Anxiety and Depression Scale (HADS), and Short Form-8. Symptom improvement was evaluated at 1 and 3 years. Results: The improvement rates at 1 and 3 years were 50.5% and 80.2%, respectively. At baseline, the non-improvement group had significantly higher HADS-Depression and GSRS-Abdominal Pain scores (p < 0.05). Multivariate analysis identified HADS-Depression (odds ratio [OR] = 0.676, p = 0.019) and GSRS-Abdominal Pain (OR = 0.461, p = 0.038) as independent predictors of treatment resistance. Conclusions: The present findings indicate that FD often requires prolonged therapy, and baseline depressive symptoms and abdominal pain predict poor long-term outcomes, emphasizing the need for early psychological assessment and integrated management. Full article
(This article belongs to the Section Gastroenterology & Hepatopancreatobiliary Medicine)
Show Figures

Figure 1

14 pages, 1869 KB  
Article
Prevention of Osteoporosis in SAMP6 Mice by Rikkunshi-To: Japanese Kampo Medicine
by Kouichi Yamamoto and Keiko Yamamoto
Life 2025, 15(4), 557; https://doi.org/10.3390/life15040557 - 29 Mar 2025
Viewed by 1205
Abstract
Osteoporosis can increase the risk of fracture in elderly patients, and insufficient control affects quality of life. Rikkunshi-To (RKT) has been prescribed for elderly patients to improve gastrointestinal function. We postulated that RKT has preventive potential for the development of osteoporosis. Thus, we [...] Read more.
Osteoporosis can increase the risk of fracture in elderly patients, and insufficient control affects quality of life. Rikkunshi-To (RKT) has been prescribed for elderly patients to improve gastrointestinal function. We postulated that RKT has preventive potential for the development of osteoporosis. Thus, we developed a simple method to evaluate osteoporosis using a continuous series of X-ray images of femurs in mice, and investigated the effects of RKT on the development of osteoporosis in these mice. Male senescence-accelerated mouse strain P6 (SAMP6) mice, a model of senile osteoporosis in humans, were fed diets with or without RKT (1%). We collected X-ray images of the whole body of each mouse weekly and measured the ratio of cortical thickness of the femur (C/F index). The C/F index in SAMP6 mice fed the normal diet was increased between 50 and 80 days old, but it was significantly decreased after 120 days old. On the other hand, the C/F index in SAMP6 mice fed the RKT diet was increased between 50 and 80 days old; however, it remained unchanged throughout the experimental period. We also confirmed that the C/F index in SAMP6 mice fed the RKT diet suddenly decreased on the replacement of the RKT diet with a normal diet, suggesting that we can collect data related to a series of continuous changes in bone mass, and that RKT is useful for the prevention of osteoporosis. Full article
(This article belongs to the Special Issue Bone Remodeling)
Show Figures

Figure 1

15 pages, 569 KB  
Study Protocol
Herbal Medicine Yukgunja-Tang for Functional Dyspepsia: A Protocol for a Randomized, Controlled, Multicenter Clinical Trial
by Boram Lee, Na-Yeon Ha, Hyo-Ju Park, Ae-Ran Kim, O-Jin Kwon, Jung-Hyo Cho, Seon Mi Shin, Jinsung Kim and Changsop Yang
Healthcare 2023, 11(10), 1456; https://doi.org/10.3390/healthcare11101456 - 17 May 2023
Cited by 2 | Viewed by 3780
Abstract
The herbal medicine Yukgunja-tang has been widely used for the treatment of functional dyspepsia (FD) in the clinical setting of East Asian traditional medicine. This paper presents a protocol for a randomized, assessor-blind, controlled, multicenter, three-arm parallel clinical trial comparing the effectiveness, safety, [...] Read more.
The herbal medicine Yukgunja-tang has been widely used for the treatment of functional dyspepsia (FD) in the clinical setting of East Asian traditional medicine. This paper presents a protocol for a randomized, assessor-blind, controlled, multicenter, three-arm parallel clinical trial comparing the effectiveness, safety, and cost-effectiveness of Yukgunja-tang with Pyeongwi-san and usual care. A total of 140 participants with Rome IV-diagnosed FD will be randomly assigned to either the Yukgunja-tang (n = 56), Pyeongwi-san (n = 56), or usual care (n = 28) groups. All participants will be educated on dietary guidelines for FD patients. Participants in the Yukgunja-tang and Pyeongwi-san groups will take investigational products for 6 weeks. All participants will be assessed for clinical parameters at weeks 0, 3, 6, 9, and 24. The primary outcome will be measured on the total dyspepsia symptom scale, and the secondary outcome will include the single dyspepsia symptom scale, overall treatment effect, the visual analog scale for dyspepsia, FD-related quality of life, hospital anxiety and depression scale, EuroQol-5 dimension, pattern identification, and serum levels of acyl-ghrelin and deacyl-ghrelin. Adverse events and laboratory tests will be monitored for safety assessment. The results will provide evidence of the effectiveness, safety, and cost-effectiveness of Yukgunja-tang in the treatment of FD. Full article
Show Figures

Figure 1

9 pages, 840 KB  
Article
Application of Kampo Medicines for Treatment of General Fatigue Due to Long COVID
by Kazuki Tokumasu, Keigo Ueda, Hiroyuki Honda, Naruhiko Sunada, Yasue Sakurada, Yui Matsuda, Yasuhiro Nakano, Toru Hasegawa, Yuki Otsuka, Mikako Obika, Hideharu Hagiya, Hitomi Kataoka and Fumio Otsuka
Medicina 2022, 58(6), 730; https://doi.org/10.3390/medicina58060730 - 28 May 2022
Cited by 15 | Viewed by 6459
Abstract
Evidence regarding treatment for the acute phase of COVID-19 has been accumulating, but specific treatment for long COVID/post-COVID-19 condition has not yet been established. Treatment with herbal medicine might be one treatment option for long COVID, but there has been little research on [...] Read more.
Evidence regarding treatment for the acute phase of COVID-19 has been accumulating, but specific treatment for long COVID/post-COVID-19 condition has not yet been established. Treatment with herbal medicine might be one treatment option for long COVID, but there has been little research on the effectiveness of herbal medicine for long COVID. The aim of this study was to clarify the prescription patterns of Kampo medicines, which are herbal medicines that originated in China and were developed in Japan, for the treatment of general fatigue due to long COVID. A retrospective descriptive study was performed for patients who visited a COVID-19 aftercare clinic established in Okayama University Hospital during the period from Feb 2021 to Dec 2021 with a focus on symptoms accompanying general fatigue and prescriptions of Kampo medicine. Among the clinical data obtained from medical records of 195 patients, clinical data for 102 patients with general fatigue and accompanying symptoms were analyzed. The patients had various symptoms, and the most frequent symptoms accompanying general fatigue were dysosmia, dysgeusia, headache, insomnia, dyspnea, and hair loss. Prescriptions of Kampo medicine accounted for 24.1% of the total prescriptions (n = 609). The most frequently prescribed Kampo medicine was hochuekkito (71.6%) and other prescribed Kampo medicines were tokishakuyakusan, ryokeijutsukanto, juzentaihoto, hangekobokuto, kakkonto, ninjin’yoeito, goreisan, rikkunshito, and keishibukuryogan. Since the pathophysiology of general fatigue after an infectious disease is, in general, considered a qi deficiency in Kampo medicine, treatments with such compensation agents can be the major prescription as a complement for the qi. In conclusion, Kampo medicine can be one of the main pharmacological treatments for long COVID accompanying general fatigue. Full article
(This article belongs to the Section Epidemiology & Public Health)
Show Figures

Figure 1

14 pages, 1946 KB  
Article
Differential Metabolic Responses to Adipose Atrophy Associated with Cancer Cachexia and Caloric Restriction in Rats and the Effect of Rikkunshito in Cancer Cachexia
by Yuka Sudo, Hiroki Otsuka, Ryota Miyakawa, Akifumi Goto, Yohei Kashiwase, Kiyoshi Terawaki, Kanako Miyano, Yuto Hirao, Kanari Taki, Ryoma Tagawa, Masaki Kobayashi, Naoyuki Okita, Yasuhito Uezono and Yoshikazu Higami
Int. J. Mol. Sci. 2018, 19(12), 3852; https://doi.org/10.3390/ijms19123852 - 3 Dec 2018
Cited by 7 | Viewed by 4932
Abstract
Despite the similar phenotypes, including weight loss, reduction of food intake, and lower adiposity, associated with caloric restriction (CR) and cancer cachexia (CC), CC is a progressive wasting syndrome, while mild CR improves whole body metabolism. In the present study, we compared adipose [...] Read more.
Despite the similar phenotypes, including weight loss, reduction of food intake, and lower adiposity, associated with caloric restriction (CR) and cancer cachexia (CC), CC is a progressive wasting syndrome, while mild CR improves whole body metabolism. In the present study, we compared adipose metabolic changes in a novel rat model of CC, mild CR (70% of the food intake of control rats, which is similar to the food consumption of CC rats), and severe CR (30% of the food intake of controls). We show that CC and severe CR are associated with much smaller adipocytes with significantly lower mitochondrial DNA content; but, that mild CR is not. CC and both mild and severe CR similarly upregulated proteins involved in lipolysis. CC also downregulated proteins involved in fatty acid biosynthesis, but mild CR upregulated these. These findings suggest that CC might impair de novo fatty acid biosynthesis and reduce mitochondrial biogenesis, similar to severe CR. We also found that rikkunshito, a traditional Japanese herbal medicine, does not ameliorate the enhanced lipolysis and mitochondrial impairment, but rather, rescues de novo fatty acid biosynthesis, suggesting that rikkunshito administration might have partially similar effects to mild CR. Full article
(This article belongs to the Special Issue Transcriptional Regulation in Lipid Metabolism)
Show Figures

Figure 1

Back to TopTop