Sign in to use this feature.

Years

Between: -

Subjects

remove_circle_outline
remove_circle_outline

Journals

Article Types

Countries / Regions

Search Results (8)

Search Parameters:
Keywords = Retinto

Order results
Result details
Results per page
Select all
Export citation of selected articles as:
13 pages, 2451 KB  
Article
Genomic Diversity of the Retinta Breed Derived from Two Ancestral Bovine Lineages
by Gabriel Anaya, Rosa Morales, Sebastián Demyda-Peyrás, Samuel Moreno-Jiménez, José María Jiménez and Antonio Molina
Vet. Sci. 2024, 11(6), 247; https://doi.org/10.3390/vetsci11060247 - 30 May 2024
Viewed by 1413
Abstract
The Retinta breed, an autochthonous type of Spanish beef cattle, is highly adapted to breeding in its natural environment, which is characterized by a Mediterranean climate. The origins of this breed can be traced to two ancestral bovine stocks, which gave rise to [...] Read more.
The Retinta breed, an autochthonous type of Spanish beef cattle, is highly adapted to breeding in its natural environment, which is characterized by a Mediterranean climate. The origins of this breed can be traced to two ancestral bovine stocks, which gave rise to distinct morphotypes differentiated primarily by coat color, alongside other significant traits such as growth, morphological conformation and temperament. Specifically, one morphotype comprises blond animals (Rubia Andaluza), genetically resembling the ancestral Bos taurus Aquitanicus, while the other encompasses brown- and red-colored animals (Retinta Extremeña) originating from Bos taurus Turdenatus stock. Over decades, these populations have undergone hybridization, leading to a unified population, albeit with the original subpopulations largely maintaining their genetic integrity. The objective of this study was to undertake genealogical and genomic characterization of these genetic lines, including a particular subpopulation within the blond animals (Tamarona cow). To achieve this, the genealogical records of 22,004 active animals were analyzed, and over 63,000 SNPs from a total of 1030 animals were examined for genomic characterization. Genealogical analysis revealed pedigree completeness and a high level of effective population size (Ne) across the entire population, yet relatively low Ne values within each pure line (ranging from 28.38 to 34.47). These findings underscore the ongoing efforts of the National Association of Retinta Breeders (ACRE) over the past decades to mitigate the loss of variability in this breed. The genomic characterization highlights the persistent differences within the original population and the predominant influence of the Retinto line within the current breed, as evidenced by principal component analysis (PCA) and admixture analysis. Furthermore, the identification of the Tamarona subpopulation within the blond lineage underlines its unique genetic composition, warranting its recognition as an official genetic line within the current Retinta breed. Given the small population size of these lines, particularly the Tamarona subpopulation, protective measures are imperative to preserve this distinct gene pool. Such measures would enhance the genetic diversity of the Retinta breed, which is essential for sustainable breeding practices in its natural habitats. Full article
Show Figures

Figure 1

11 pages, 2791 KB  
Communication
Genomic Scanning of Inbreeding Depression for Litter Size in Two Varieties of Iberian Pigs
by Carlos Hervás-Rivero, Houssemeddine Srihi, David López-Carbonell, Joaquim Casellas, Noelia Ibáñez-Escriche, Sara Negro and Luis Varona
Genes 2023, 14(10), 1941; https://doi.org/10.3390/genes14101941 - 15 Oct 2023
Cited by 2 | Viewed by 2322
Abstract
Inbreeding depression is expected to be more pronounced in fitness-related traits, such as pig litter size. Recent studies have suggested that the genetic determinism of inbreeding depression may be heterogeneous across the genome. Therefore, the objective of this study was to conduct a [...] Read more.
Inbreeding depression is expected to be more pronounced in fitness-related traits, such as pig litter size. Recent studies have suggested that the genetic determinism of inbreeding depression may be heterogeneous across the genome. Therefore, the objective of this study was to conduct a genomic scan of the whole pig autosomal genome to detect the genomic regions that control inbreeding depression for litter size in two varieties of Iberian pigs (Entrepelado and Retinto). The datasets consisted of 2069 (338 sows) and 2028 (327 sows) records of litter size (Total Number Born and Number Born Alive) for the Entrepelado and Retinto varieties. All sows were genotyped using the Geneseek GGP PorcineHD 70 K chip. We employed the Unfavorable Haplotype Finder software to extract runs of homozygosity (ROHs) and conducted a mixed-model analysis to identify highly significant differences between homozygous and heterozygous sows for each specific ROH. A total of eight genomic regions located on SSC2, SSC5, SSC7, SSC8, and SSC13 were significantly associated with inbreeding depression, housing some relevant genes such as FSHR, LHCGR, CORIN, AQP6, and CEP120. Full article
(This article belongs to the Special Issue Advances in Pig Breeding and Genetics (Volume II))
Show Figures

Figure 1

9 pages, 1989 KB  
Communication
A Bayesian Multivariate Gametic Model in a Reciprocal Cross with Genomic Information: An Example with Two Iberian Varieties
by Houssemeddine Srihi, David López-Carbonell, Noelia Ibáñez-Escriche, Joaquim Casellas, Pilar Hernández, Sara Negro and Luis Varona
Animals 2023, 13(10), 1648; https://doi.org/10.3390/ani13101648 - 16 May 2023
Cited by 3 | Viewed by 1790
Abstract
INGA FOOD, S.A. initiated a crossbreeding program between two Iberian pig varieties, Retinto (R) and Entrepelado (E), with the goal of producing a hybrid sow (F1). Several studies have been conducted to evaluate its productive performance, and these studies have revealed differences in [...] Read more.
INGA FOOD, S.A. initiated a crossbreeding program between two Iberian pig varieties, Retinto (R) and Entrepelado (E), with the goal of producing a hybrid sow (F1). Several studies have been conducted to evaluate its productive performance, and these studies have revealed differences in litter size between the two reciprocal crosses, suggesting the presence of genomic imprinting effects. To further investigate these effects, this study introduces a multivariate gametic model designed to estimate gametic correlations between paternal and maternal effects originating from both genetic backgrounds involved in the reciprocal crosses. The dataset consisted of 1258 records (the total number born—TNB and the number born alive—NBA) from 203 crossbred dams for the Entrepelado (sire) × Retinto (dam) cross and 700 records from 125 crossbred dams for the Retinto (sire) × Entrepelado (dam) cross. All animals were genotyped using the GeneSeek® GPP Porcine 70 K HDchip (Illumina Inc., San Diego, CA, USA). The results indicated that the posterior distribution of the gametic correlation between paternal and maternal effects was distinctly different between the two populations. Specifically, in the Retinto population, the gametic correlation showed a positive skew with posterior probabilities of 0.78 for the TNB and 0.80 for the NBA. On the other hand, the Entrepelado population showed a posterior probability of a positive gametic correlation between paternal and maternal effects of approximately 0.50. The differences in the shape of the posterior distribution of the gametic correlations between paternal and maternal effects observed in the two varieties may account for the distinct performance outcomes observed in the reciprocal crosses. Full article
(This article belongs to the Collection Applications of Quantitative Genetics in Livestock Production)
Show Figures

Figure 1

15 pages, 606 KB  
Article
Differences in Muscle Lipogenic Gene Expression, Carcass Traits and Fat Deposition among Three Iberian Pig Strains Finished in Two Different Feeding Systems
by Nicolás Garrido, Mercedes Izquierdo, Francisco I. Hernández-García, Yolanda Núñez, Susana García-Torres, Rita Benítez, José Á. Padilla and Cristina Óvilo
Animals 2023, 13(7), 1138; https://doi.org/10.3390/ani13071138 - 23 Mar 2023
Cited by 9 | Viewed by 3348
Abstract
The Iberian pig breed includes several well-differentiated strains. The present study evaluated carcass traits, fat deposition and muscle expression of important lipogenic genes (SCD, ME1, ACACA, FASN, EGR1, ACOX and ACLY) using 65 male pigs of 3 [...] Read more.
The Iberian pig breed includes several well-differentiated strains. The present study evaluated carcass traits, fat deposition and muscle expression of important lipogenic genes (SCD, ME1, ACACA, FASN, EGR1, ACOX and ACLY) using 65 male pigs of 3 Iberian strains (20 Lampiño, 23 Torbiscal, and 22 Retinto) finished either in a conventional, concentrate-based system (CF) or in montanera (MF), a traditional free-range system with acorn feeding. Torbiscal had the highest ham, Longissimus thoracis and prime cuts yields, and the thinnest subcutaneous adipose tissue (SAT). Retinto had the highest monounsaturated fatty acids (MUFA) and percentage of intramuscular fat (IMF), while Lampiño had the greatest content of saturated fatty acids (SFA), polyunsaturated fatty acids (PUFA), atherogenic (AI) and thrombogenic (TI) indexes in SAT. Conventionally finished pigs had the highest ham, L. thoracis and prime cuts yields, and SFA. Montanera-finished animals had the highest PUFA and MUFA contents, and the lowest AI, TI and n6/n3 ratio in SAT. In relation to gene expression, Retinto had the greatest SCD, FASN and ACLY levels. Most studied genes were overexpressed in CF pigs. In conclusion, MF pigs had healthier fat than CF pigs, and Retinto had the healthiest fat and the greatest lipogenic trend in muscle, supported by IMF and lipogenic gene expression. Full article
(This article belongs to the Section Pigs)
Show Figures

Figure 1

10 pages, 472 KB  
Article
Additive and Dominance Genomic Analysis for Litter Size in Purebred and Crossbred Iberian Pigs
by Houssemeddine Srihi, José Luis Noguera, Victoria Topayan, Melani Martín de Hijas, Noelia Ibañez-Escriche, Joaquim Casellas, Marta Vázquez-Gómez, María Martínez-Castillero, Juan Pablo Rosas and Luis Varona
Genes 2022, 13(1), 12; https://doi.org/10.3390/genes13010012 - 22 Dec 2021
Cited by 7 | Viewed by 3556
Abstract
INGA FOOD S. A., as a Spanish company that produces and commercializes fattened pigs, has produced a hybrid Iberian sow called CASTÚA by crossing the Retinto and Entrepelado varieties. The selection of the parental populations is based on selection criteria calculated from purebred [...] Read more.
INGA FOOD S. A., as a Spanish company that produces and commercializes fattened pigs, has produced a hybrid Iberian sow called CASTÚA by crossing the Retinto and Entrepelado varieties. The selection of the parental populations is based on selection criteria calculated from purebred information, under the assumption that the genetic correlation between purebred and crossbred performance is high; however, these correlations can be less than one because of a GxE interaction or the presence of non-additive genetic effects. This study estimated the additive and dominance variances of the purebred and crossbred populations for litter size, and calculated the additive genetic correlations between the purebred and crossbred performances. The dataset consisted of 2030 litters from the Entrepelado population, 1977 litters from the Retinto population, and 1958 litters from the crossbred population. The individuals were genotyped with a GeneSeek® GGP Porcine70K HDchip. The model of analysis was a ‘biological’ multivariate mixed model that included additive and dominance SNP effects. The estimates of the additive genotypic variance for the total number born (TNB) were 0.248, 0.282 and 0.546 for the Entrepelado, Retinto and Crossbred populations, respectively. The estimates of the dominance genotypic variances were 0.177, 0.172 and 0.262 for the Entrepelado, Retinto and Crossbred populations. The results for the number born alive (NBA) were similar. The genetic correlations between the purebred and crossbred performance for TNB and NBA—between the brackets—were 0.663 in the Entrepelado and 0.881 in Retinto poplulations. After backsolving to obtain estimates of the SNP effects, the additive genetic variance associated with genomic regions containing 30 SNPs was estimated, and we identified four genomic regions that each explained > 2% of the additive genetic variance in chromosomes (SSC) 6, 8 and 12: one region in SSC6, two regions in SSC8, and one region in SSC12. Full article
(This article belongs to the Special Issue Trends and Prospects in Pig Genomics and Genetics)
Show Figures

Figure 1

14 pages, 524 KB  
Article
Comparative Transcriptome Profile between Iberian Pig Varieties Provides New Insights into Their Distinct Fat Deposition and Fatty Acids Content
by Ana Villaplana-Velasco, Jose Luis Noguera, Ramona Natacha Pena, Maria Ballester, Lourdes Muñoz, Elena González, Juan Florencio Tejeda and Noelia Ibáñez-Escriche
Animals 2021, 11(3), 627; https://doi.org/10.3390/ani11030627 - 27 Feb 2021
Cited by 13 | Viewed by 3953
Abstract
The high deposition of intramuscular fat and the content of oleic fatty acid are characteristic of the Iberian pig. These two parameters present great variability and are differentiated amongst the varieties that make up the Iberian pig population. Although previous studies generated evidence [...] Read more.
The high deposition of intramuscular fat and the content of oleic fatty acid are characteristic of the Iberian pig. These two parameters present great variability and are differentiated amongst the varieties that make up the Iberian pig population. Although previous studies generated evidence for causal genes and polymorphisms associated to the adipogenic potential of the Iberian pig, there is little information about how genetic expression influences this trait’s variability. The aim of this study was to analyses the expression profile between two varieties of Iberian pig (Torbiscal and Retinto) and their reciprocal crosses differentiated in their intramuscular fat (IMF) content and fatty acid (FA) composition in the Longissimus thoracis muscle using an RNA-seq approach. Our results corroborate that the Retinto variety is the fattiest amongst all studied varieties as its upregulated genes, such as FABP3 and FABP5, SLC27A1 and VEGFA among others, contribute to increasing adiposity. In its turn, Torbiscal pigs showed an upregulation of genes associated with the inhibition of fat deposition such as ADIPOQ and CPT1A. Further genetic variation analysis in these Iberian varieties showed relevant associations for SNP located within the differentially expressed genes with IMF and FA content. Thus, the differences found in the genetic architecture and the muscle transcriptome of these Iberian varieties might explain the variability in their fat content and composition and hence, their meat quality. Full article
Show Figures

Figure 1

16 pages, 720 KB  
Article
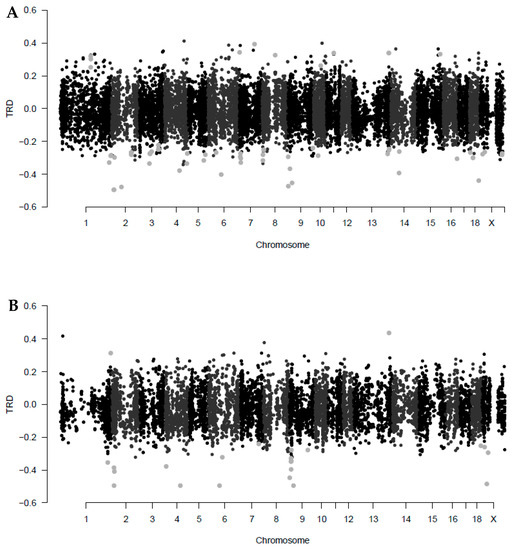
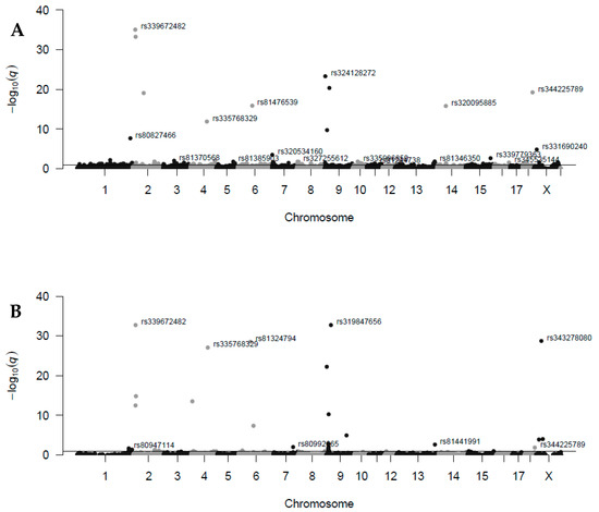
Maternal Transmission Ratio Distortion in Two Iberian Pig Varieties
by Marta Vázquez-Gómez, Melani Martín de Hijas-Villalba, Luis Varona, Noelia Ibañez-Escriche, Juan Pablo Rosas, Sara Negro, José Luis Noguera and Joaquim Casellas
Genes 2020, 11(9), 1050; https://doi.org/10.3390/genes11091050 - 5 Sep 2020
Cited by 5 | Viewed by 2958
Abstract
Transmission ratio distortion (TRD) is defined as the allele transmission deviation from the heterozygous parent to the offspring from the expected Mendelian genotypic frequencies. Although TRD can be a confounding factor in genetic mapping studies, this phenomenon remains mostly unknown in pigs, particularly [...] Read more.
Transmission ratio distortion (TRD) is defined as the allele transmission deviation from the heterozygous parent to the offspring from the expected Mendelian genotypic frequencies. Although TRD can be a confounding factor in genetic mapping studies, this phenomenon remains mostly unknown in pigs, particularly in traditional breeds (i.e., the Iberian pig). We aimed to describe the maternal TRD prevalence and its genomic distribution in two Iberian varieties. Genotypes from a total of 247 families (dam and offspring) of Entrepelado (n = 129) and Retinto (n = 118) Iberian varieties were analyzed. The offspring were sired by both ungenotyped purebred Retinto and Entrepelado Iberian boars, regardless of the dam variety used. After quality control, 16,246 single-nucleotide polymorphisms (SNPs) in the Entrepelado variety and 9744 SNPs in the Retinto variety were analyzed. Maternal TRD was evaluated by a likelihood ratio test under SNP-by-SNP, adapting a previous model solved by Bayesian inference. Results provided 68 maternal TRD loci (TRDLs) in the Entrepelado variety and 24 in the Retinto variety (q < 0.05), with mostly negative TRD values, increasing the transmission of the minor allele. In addition, both varieties shared ten common TRDLs. No strong evidence of biological effects was found in genes with TRDLs. However, some biological processes could be affected by TRDLs, such as embryogenesis at different levels and lipid metabolism. These findings could provide useful insight into the genetic mechanisms to improve the swine industry, particularly in traditional breeds. Full article
(This article belongs to the Section Animal Genetics and Genomics)
Show Figures

Figure 1

13 pages, 305 KB  
Article
Effect of Free-Range and Low-Protein Concentrated Diets on Growth Performance, Carcass Traits, and Meat Composition of Iberian Pig
by Juan F. Tejeda, Alejandro Hernández-Matamoros, Mercedes Paniagua and Elena González
Animals 2020, 10(2), 273; https://doi.org/10.3390/ani10020273 - 11 Feb 2020
Cited by 32 | Viewed by 4070
Abstract
The feeding system is one of the main factors influencing the Iberian pig meat quality. This experiment was undertaken to evaluate the influence of feeding diets containing different levels of protein on performance, carcass, and meat quality of Iberian pigs. To that aim, [...] Read more.
The feeding system is one of the main factors influencing the Iberian pig meat quality. This experiment was undertaken to evaluate the influence of feeding diets containing different levels of protein on performance, carcass, and meat quality of Iberian pigs. To that aim, 24 castrated male Retinto Iberian pigs with an average weight of 116 kg were fed under free-range conditions with acorns and grass (FR), and on concentrated diets in confinement with standard (SP) and low protein content (LP). The crude protein content in acorns was lower than that in the grass and SP diet, but similar to that in the LP diet. FR pigs needed more time to achieve slaughter weight than LP and SP pigs. Iberian pigs fed on low-protein diet (FR and LP) had a higher intramuscular fat content in the musculus serratus ventralis than SP pigs. The influence of diet on the fatty-acid composition was reflected more markedly in subcutaneous fat than in muscles. FR pigs showed a higher level of C18:1 n-9 and total polyunsaturated fatty acids and lower total saturated fatty acids in subcutaneous fat than LP and SP. It is concluded that diets with low protein levels do not affect Iberian pig productive traits but change the meat composition, rendering them an interesting strategy to improve the quality of Iberian pig meat and dry-cured products. Full article
Back to TopTop