Sign in to use this feature.

Years

Between: -

Subjects

remove_circle_outline
remove_circle_outline
remove_circle_outline
remove_circle_outline

Journals

Article Types

Countries / Regions

Search Results (6)

Search Parameters:
Keywords = PELE projectile

Order results
Result details
Results per page
Select all
Export citation of selected articles as:
12 pages, 6251 KB  
Article
Research on the Penetration Characteristics of PELE Projectile with Reactive Inner Core
by Jingyuan Zhou, Xianwen Ran, Wenhui Tang, Kun Zhang, Haifu Wang, Pengwan Chen and Liangliang Ding
Polymers 2023, 15(3), 617; https://doi.org/10.3390/polym15030617 - 25 Jan 2023
Cited by 10 | Viewed by 2278
Abstract
With the improvement of protection technology, the damage power of conventional penetrators has become increasingly inferior. Reactive material is a new type of energetic material, which has strong energy release capabilities under high-velocity-impact conditions. In this paper, the reactive materials were put into [...] Read more.
With the improvement of protection technology, the damage power of conventional penetrators has become increasingly inferior. Reactive material is a new type of energetic material, which has strong energy release capabilities under high-velocity-impact conditions. In this paper, the reactive materials were put into the penetrator, and its penetration characteristics were studied. First, the penetrator with enhanced lateral effect (PELE) projectile structure with better penetration capability was obtained by numerical simulation. Then, based on the established polytetrafluoroethylene (PTFE)/Al reactive material reaction model, the numerical simulation and experimental research of the PELE projectile with a reactive inner core penetrating the target were carried out. The results show that the simulation results are in good agreement with the experimental results, which verifies the confidence of the numerical simulation. The PELE projectile had a significant increase in power with the use of a truncated conical head and reactive materials. The residual velocity of the truncated cone PELE projectile increases by 8.41–21% over conventional PELE projectiles. Its damage range is 43% higher than that of conventional penetrators. The simulation method and the conclusions obtained in this paper can provide support and reference for further research on reactive materials and on effectively improving the damage power of the penetrator. Full article
(This article belongs to the Special Issue Multifunctional Polymer Molding Processing of Polymers)
Show Figures

Figure 1

17 pages, 4818 KB  
Article
Theoretical Model of Radial Scattering Velocity of Fragments of the Reactive Core PELE Projectile
by Liangliang Ding, Jingyuan Zhou, Xianwen Ran, Wenhui Tang, Xiaoguang Xue and Yuli Zhao
Symmetry 2020, 12(7), 1190; https://doi.org/10.3390/sym12071190 - 17 Jul 2020
Cited by 5 | Viewed by 3609
Abstract
PELE projectile is a new type of armor-piercing warhead and has a more obvious fragmentation effect, which solves the problem of insufficient after-effects of conventional armor-piercing projectiles. Reactive material is a new type of energetic material, which has some characteristics similar to the [...] Read more.
PELE projectile is a new type of armor-piercing warhead and has a more obvious fragmentation effect, which solves the problem of insufficient after-effects of conventional armor-piercing projectiles. Reactive material is a new type of energetic material, which has some characteristics similar to the traditional explosives but has better mechanical properties. Reactive material is insensitive under normal conditions, and it can release huge energy under external impact loading. This paper hopes to study the application of reactive materials to the inner core of PELE projectiles to further improve the fragmentation effect of PELE projectiles. The fragmentation effect of PELE projectile is mainly reflected in the radial scattering velocity of fragments after it perforates the target plate. In this paper, three energy sources for the radial scattering of fragments were obtained by analyzing the penetration process of PELE projectile, that is, the axial kinetic energy of outer casing, the radial compression potential energy generated by the inner core to the outer casing, and the chemical energy released by the reactive core material. Based on the simplification and assumptions, the theoretical model of radial scattering velocity of fragments of the reactive core PELE projectile was established. In addition, numerical simulations were carried out to verify the theoretical model. The results show that the numerical simulation results are in good agreement with the theoretical calculation results, which indicates that the model established in this paper is scientific and reasonable. The reactive core PELE projectile has a more significant fragmentation effect, which further enhances the comprehensive damage power of traditional PELE projectile. The theoretical model established in this paper can quickly assess the power of reactive core PELE projectile’s fragmentation effect, which can be used to provide guidance and reference for engineering application. Full article
Show Figures

Figure 1

21 pages, 7652 KB  
Article
Damage Characteristics Analysis of the Truncated Cone-Shaped PELE Projectile
by Liangliang Ding, Jingyuan Zhou, Wenhui Tang and Xianwen Ran
Symmetry 2019, 11(8), 1025; https://doi.org/10.3390/sym11081025 - 9 Aug 2019
Cited by 8 | Viewed by 3180
Abstract
The PELE (penetrator with enhanced lateral efficiency) projectile is a new type of penetrator, which has both penetration and fragmentation effects. The damage characteristics of the PELE projectile have never been studied from the perspective of changing the shape of the projectile structure [...] Read more.
The PELE (penetrator with enhanced lateral efficiency) projectile is a new type of penetrator, which has both penetration and fragmentation effects. The damage characteristics of the PELE projectile have never been studied from the perspective of changing the shape of the projectile structure until now. This paper hopes to improve the damage power by changing the structural shape of PELE projectile, and the concept of a truncated cone-shaped PELE projectile is first put forward. In order to compare and analyze the damage power of the truncated cone-shaped PELE projectile and the conventional PELE projectile, six sets of simulation conditions were designed, and the penetration ability and fragmentation effect were used as the main evaluation indicators. According to the known structural parameters of the PELE projectile, the range of angle α of the truncated cone-shaped PELE projectile was determined to be 86.2°–90°. In addition, there is little difference in penetration ability between the two different types of PELE projectile; the damage effect of the truncated cone-shaped PELE projectile on the after-effect target is better than that of the conventional PELE projectile. It is hoped that through further structural optimization, the truncated cone-shaped PELE projectile will have more extensive engineering application value. Full article
Show Figures

Graphical abstract

16 pages, 3648 KB  
Article
Theoretical Model of the Axial Residual Velocity of PELE Projectiles Penetrating Thin Metal Targets
by Liangliang Ding, Wenhui Tang, Xianwen Ran, Zijian Fan and Weike Chen
Symmetry 2019, 11(6), 776; https://doi.org/10.3390/sym11060776 - 10 Jun 2019
Cited by 6 | Viewed by 2955
Abstract
With the increase of battlefield target diversity and protection mobility, the disadvantages of traditional armor piercing warheads have gradually become prominent. The conception of the PELE (penetration with enhanced lateral efficiency) projectile was thus proposed. The axial residual velocity of the projectile is [...] Read more.
With the increase of battlefield target diversity and protection mobility, the disadvantages of traditional armor piercing warheads have gradually become prominent. The conception of the PELE (penetration with enhanced lateral efficiency) projectile was thus proposed. The axial residual velocity of the projectile is a very important indicator of a PELE projectile, which mainly reflects the penetration ability of the PELE projectile. The PELE projectile is a symmetrical structure, so the collision problem can be simplified to plane collision. Furthermore, the two-dimensional plane is axisymmetric, and so it can be further simplified to one-dimensional collision. Based on simplification and assumptions, the mechanism of a PELE projectile penetrating a thin metal target plate was studied using the shock wave theory, and a theoretical model of axial residual velocity has been established in this article. The energy loss during the penetration process was divided into the following parts: the kinetic energy increment of the target plug in the impact region, the internal energy increment of the outer casing and inner core, and the shear energy dissipation of the projectile against the target plate. In addition, the specific methods of determining the energy loss of each part are given in detail. According to the conservation of energy, the approximate calculation formulae of the axial residual velocity of a PELE projectile have been deduced. Finally, the theoretical results were compared with the experimental results under different working conditions, and the results were in good agreement. Therefore, the theoretical model has application value and guiding significance in the field of engineering. Full article
Show Figures

Figure 1

19 pages, 6030 KB  
Article
Damage Characteristics of PELE Projectile with Gradient Density Inner Core Material
by Liangliang Ding, Jingyuan Zhou, Wenhui Tang, Xianwen Ran and Ye Cheng
Materials 2018, 11(12), 2389; https://doi.org/10.3390/ma11122389 - 27 Nov 2018
Cited by 9 | Viewed by 4176
Abstract
The PELE (penetration with enhanced lateral efficiency) projectile is a new type of safe ammunition which can form a large number of fragments after perforating the target, and does not depend on any pyrotechnics. The damage characteristics of PELE projectile mainly include the [...] Read more.
The PELE (penetration with enhanced lateral efficiency) projectile is a new type of safe ammunition which can form a large number of fragments after perforating the target, and does not depend on any pyrotechnics. The damage characteristics of PELE projectile mainly include the penetration ability and fragmentation effect. There are many factors affecting the damage characteristics of PELE projectile, and this paper attempts to study the damage characteristics of PELE projectile, from the point of view of changing the single core material. Therefore, four different inner core combination types were designed in this paper, namely, zero gradient—I type (PE), zero gradient—II type (Al), positive gradient type (PE + Al), and negative gradient type (Al + PE). With the help of a more mature numerical simulation method, the studies were carried out from several aspects, such as the axial residual velocity of projectile, the radial scattering velocity of fragments, the radial scattering radius of fragments, and the residual length of projectile. The axial residual velocity of projectile can characterize the penetration ability of projectile, the radial scattering velocity and radial scattering radius of fragments can predict the damage area of fragments, and the residual length of projectile can reflect the fragment conversion rate of casing. The results indicate that the negative gradient inner core combination is superior to the other three combinations in terms of the penetration ability and fragmentation effect. Under the same impact velocity, the maximum radial velocity and radial scattering radius of fragments mainly depend on the front inner core material, and these two parameters will increase appropriately with the increase of the strength of front inner core material. Similarly, the residual length of projectile can be reduced, or the fragment conversion rate can be enhanced, by properly reducing the strength of rear inner core material. The conclusions obtained in this paper can provide a reference for engineering applications. Full article
Show Figures

Figure 1

19 pages, 6780 KB  
Article
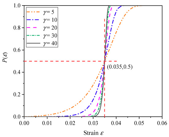
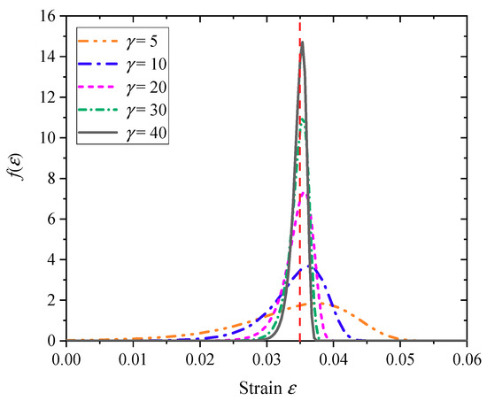
Research on the Crushing Process of PELE Casing Material Based on the Crack-Softening Algorithm and Stochastic Failure Algorithm
by Liangliang Ding, Jingyuan Zhou, Wenhui Tang, Xianwen Ran and Ye Cheng
Materials 2018, 11(9), 1561; https://doi.org/10.3390/ma11091561 - 30 Aug 2018
Cited by 19 | Viewed by 3490
Abstract
In order to more realistically reflect the penetrating and crushing process of a PELE (Penetration with Enhanced Lateral Efficiency) projectile, the stochastic failure algorithm and crack-softening algorithm were added to the corresponding material in this paper. According to the theoretical analysis of the [...] Read more.
In order to more realistically reflect the penetrating and crushing process of a PELE (Penetration with Enhanced Lateral Efficiency) projectile, the stochastic failure algorithm and crack-softening algorithm were added to the corresponding material in this paper. According to the theoretical analysis of the two algorithms, the material failure parameters (stochastic constant γ, fracture energy Gf, and tensile strength σT) were determined. Then, four sets of simulation conditions ((a) no crack softening, (b) no stochastic failure, (c) no crack softening and no stochastic failure, and (d) crack softening and stochastic failure) were designed to qualitatively describe the influences of the failure algorithms, which were simulated by the finite element analysis software AUTODYN. The qualitative comparison results indicate that the simulation results after adding the two algorithms were closer to the actual situation. Finally, ten groups of simulation conditions were designed to quantitatively analyze the coincidence degree between the simulation results and the experimental results by means of two parameters: the residual velocity of the projectile and the maximum radial velocity of fragments. The results show that the simulation results coincide well with the experimental results and the errors were small. Therefore, the ideas proposed in this paper are scientific, and the conclusions obtained can provide guidance for engineering research. Full article
Show Figures

Figure 1

Back to TopTop