Sign in to use this feature.

Years

Between: -

Subjects

remove_circle_outline
remove_circle_outline
remove_circle_outline
remove_circle_outline
remove_circle_outline

Journals

Article Types

Countries / Regions

Search Results (4)

Search Parameters:
Keywords = NMAIPs

Order results
Result details
Results per page
Select all
Export citation of selected articles as:
34 pages, 1072 KB  
Article
The Impact of National Modern Agricultural Industrial Parks on Rural Residents’ Income: Evidence from China
by Xiaoling Li, Weiting Huang and Jilong Liu
Sustainability 2026, 18(3), 1499; https://doi.org/10.3390/su18031499 - 2 Feb 2026
Viewed by 291
Abstract
Agricultural industrial parks have been promoted as a key instrument for agricultural modernization, yet causal evidence of their impact on raising rural residents’ income remains limited. This study evaluates the income effects of National Modern Agricultural Industrial Parks (NMAIPs) in China, clarifying the [...] Read more.
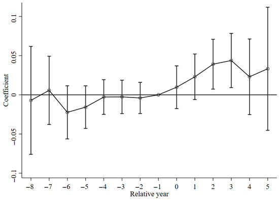
Agricultural industrial parks have been promoted as a key instrument for agricultural modernization, yet causal evidence of their impact on raising rural residents’ income remains limited. This study evaluates the income effects of National Modern Agricultural Industrial Parks (NMAIPs) in China, clarifying the transmission mechanisms and distributional consequences for rural households and the urban–rural income gap. Using county- and household-level panel data (2014–2022), we exploit the staggered rollout of NMAIPs as a quasi-natural experiment and employ a staggered Difference-in-Differences (DID) design with two-way fixed effects, complemented by event-study analysis. Results show that NMAIP establishment raises rural residents’ income by approximately 1.83% on average. Mechanism analysis indicates that this gain operates primarily through employment expansion, technological upgrading, and capital agglomeration. At the household level, NMAIPs significantly increase wage and operating income but have limited effects on property and transfer income, reflecting constraints in rural asset markets. Furthermore, NMAIPs reduce intra-rural inequality and moderate the urban–rural income gap following an inverted U-shaped path (initial widening followed by narrowing), as benefits diffuse through value chains. We conclude that NMAIPs are an effective policy lever for inclusive rural growth, yet their distributive outcomes could be enhanced by supporting reforms in rural factor markets and public service delivery. Full article
Show Figures

Figure 1

30 pages, 977 KB  
Article
The Impact of China’s National Modern Agricultural Industrial Parks on Fertilizer Use from the Perspective of Food Security
by Xiaoling Li, Weiting Huang and Jilong Liu
Sustainability 2025, 17(24), 11227; https://doi.org/10.3390/su172411227 - 15 Dec 2025
Cited by 2 | Viewed by 557
Abstract
Achieving sustainable agricultural development necessitates a careful balance between the competing demands of environmental sustainability and food security. While extensive research has examined the economic impacts of agricultural parks, studies focusing on their environmental effects—particularly fertilizer usage—remain limited. Addressing this gap, this study [...] Read more.
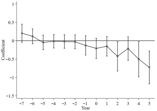
Achieving sustainable agricultural development necessitates a careful balance between the competing demands of environmental sustainability and food security. While extensive research has examined the economic impacts of agricultural parks, studies focusing on their environmental effects—particularly fertilizer usage—remain limited. Addressing this gap, this study investigates the impact of China’s National Modern Agricultural Industrial Parks (NMAIP) construction on fertilizer application using county-level panel data from 2014 to 2022. By leveraging the staggered establishment of these parks as a quasi-natural experiment, we apply a multi-period Difference-in-Differences (DID) approach. The results indicate that NMAIP construction led to a significant reduction in fertilizer use, a finding robust to a series of tests including parallel trends and placebo analyses. Mechanism analysis reveals that the reduction was primarily driven by enhanced agricultural labor and technology productivity. Heterogeneity analysis further shows that the effects were more pronounced in regions with high-level fertilizer consumption, in non-major grain-producing or wheat-producing areas, and in specialized or single-function parks. Importantly, this reduction in fertilizer use did not compromise grain output; instead, it was accompanied by stable or even increased production, thereby supporting food security. Our findings demonstrate that the NMAIP policy can achieve a “win-win” outcome by simultaneously promoting fertilizer reduction and safeguarding food security, offering a viable pathway toward sustainable agricultural development and food system resilience. Full article
Show Figures

Figure 1

22 pages, 457 KB  
Article
The Impact of National-Level Modern Agricultural Industrial Parks on County Economies: The Analysis of Lag Effects and Impact Pathways
by Xinzi Yang and Jun Wen
Agriculture 2025, 15(16), 1773; https://doi.org/10.3390/agriculture15161773 - 19 Aug 2025
Cited by 4 | Viewed by 1258
Abstract
County economies are the cornerstone of China’s economic and social development but face challenges such as a singular industrial structure and the outflow of production factors. As an important policy tool for rural revitalization, the impact mechanism of National-Level Modern Agricultural Industrial Parks [...] Read more.
County economies are the cornerstone of China’s economic and social development but face challenges such as a singular industrial structure and the outflow of production factors. As an important policy tool for rural revitalization, the impact mechanism of National-Level Modern Agricultural Industrial Parks (NMAIPs) on county economies remains inadequately explored. This study aims to quantify the dynamic economic effects of the NMAIP policy through rigorous empirical analysis and elucidate the core pathways driving county economic growth. Based on panel data from 44 counties in six central Chinese provinces from 2014 to 2024, this study employs a Multi-Period Difference-in-Differences (DID) model and finds a significant one-year lag effect of the NMAIP policy: in the year following park establishment, county GDP increased by an average of 8.5%, and this positive effect persisted until the fourth year but showed a trend of marginal diminution. Pathway analysis reveals that agricultural scale expansion (measured by gross output value of agriculture, forestry, animal husbandry, and fishery) and production efficiency improvement (measured by the ratio of output value to agricultural expenditure) are the core driving mechanisms, accounting for 48% and 35% of the total effect, respectively. In contrast, the mediating roles of industrial integration (comprehensive index) and industrial structure upgrading (share of agricultural services) were not statistically significant in the short run. The policy lag primarily arises from the conversion cycle of infrastructure investment to economic output, while pathway differences are closely related to the maturity of the county’s agricultural industrial chain and resource allocation efficiency. This study provides robust empirical evidence for optimizing the timing and pathways of the NMAIP policy design: policy effect evaluations require a 1–2 year “window period”; resources should be prioritized for projects that can rapidly enhance scale and efficiency (e.g., scaled planting, technology-driven efficiency gains), laying a solid agricultural foundation before gradually fostering industrial integration. This aligns with the spirit of “avoiding industrial hollowing-out” proposed in the 2024 Central “Thousand Villages Project” and provides the Chinese experience for the policy evaluation and path selection of global agricultural parks. Full article
(This article belongs to the Section Agricultural Economics, Policies and Rural Management)
Show Figures

Figure 1

23 pages, 2839 KB  
Article
National Modern Agricultural Industrial Parks: Development Characteristics, Regional Differences, and Experience Inspiration—Case Study of 200 NMAIPs in China
by Lisi Ling, Xueyuan Chen, Yongchang Wu, Shanwei Li, Jiajia Wei and Qun Zhou
Agronomy 2023, 13(3), 653; https://doi.org/10.3390/agronomy13030653 - 24 Feb 2023
Cited by 4 | Viewed by 6135
Abstract
Agricultural industries are the foundation of the modernization of agricultural and rural areas in China. National Modern Agricultural Industrial Parks (NMAIPs) provides a considerable nationwide platform for agricultural industries. We take 200 NMAIPs in China as objects. Through spatial analysis, the Herfindahl–Hirschman index, [...] Read more.
Agricultural industries are the foundation of the modernization of agricultural and rural areas in China. National Modern Agricultural Industrial Parks (NMAIPs) provides a considerable nationwide platform for agricultural industries. We take 200 NMAIPs in China as objects. Through spatial analysis, the Herfindahl–Hirschman index, and the SBM-DEA model, we analyzed the development characteristics and regional differences of NMAIPs from the muti-level perspective of national planning, provincial coordination, and county implementation to propose policy recommendations aimed at sustainable and high-quality development. The results are as follows: (1) Regarding geospatial characteristics, NMAIPs are unevenly distributed, with a decreasing gradient from east to west. The direction is east (northward) to west (southward), consistent with the direction of the Hu line. The distribution density shows that the east is dense and the west is sparse. (2) For industrial concentration, the leading industries in NMAIPs tend to be homogenous. The HHI indicates that the homogenization of leading industries is widely represented in each province. The low oligopolistic areas are in the central and eastern regions of China, while the highly oligopolistic locations are in the western and northeastern provinces. (3) In inputs–outputs efficiency, the comprehensive technical efficiency is high but not optimal, while the distribution of values is high in the south and low in the north. Ten provinces are non-effective. According to inputs and outputs, the ineffective contribution of population of townships covered, occupied area and the capital from the collective economy are development barriers, and the high output value of NMAIPs cannot fully drive the employment and income of farmers. Further improvements are needed in terms of both pure technical efficiency and scale efficiency, and adjustments to scale operations should be in response to different returns to scale. Our research results provide policy recommendations for NMAIPs, including the establishment of a multi-level management mechanism, balancing regional development, diversifying and coordinating regional leading industries, and improving the efficiency of utilization factors. Full article
(This article belongs to the Topic Novel Studies in Agricultural Economics and Sustainable Farm Management)
(This article belongs to the Section Farming Sustainability)
Show Figures

Figure 1

Back to TopTop