Sign in to use this feature.

Years

Between: -

Subjects

remove_circle_outline
remove_circle_outline

Journals

Article Types

Countries / Regions

Search Results (2)

Search Parameters:
Keywords = Lilium Oriental hybrid ‘Siberia’

Order results
Result details
Results per page
Select all
Export citation of selected articles as:
26 pages, 5718 KB  
Article
Transcriptome-Wide Identification of miRNAs and Their Targets During Riboflavin-Promoted Dormancy Release in Lilium ‘Siberia’
by Xiaoping Xu, Chenglong Yang, Yiping Zheng, Wenjie Guo, Zhongxiong Lai and Shaozhong Fang
Horticulturae 2025, 11(1), 17; https://doi.org/10.3390/horticulturae11010017 - 29 Dec 2024
Cited by 1 | Viewed by 1332
Abstract
Dormancy release is an important process for improving the quality of cut-flower lily production and promoting the factory production of lily bulbs. However, the regulatory mechanisms of microRNAs (miRNAs) and their target genes during the dormancy release of lily remain elusive. Anatomy, transcriptomic, [...] Read more.
Dormancy release is an important process for improving the quality of cut-flower lily production and promoting the factory production of lily bulbs. However, the regulatory mechanisms of microRNAs (miRNAs) and their target genes during the dormancy release of lily remain elusive. Anatomy, transcriptomic, molecular biology, and transient transformation techniques involving subcellular localization were applied in our study. There were significant results showing that 0.1 mM riboflavin promoted dormancy release and floral bud differentiation and influenced the flowering time of the Lilium ‘Siberia’. Moreover, some differentially expressed miRNAs and their targets (miR395-y: LoAPS1, miR529-z: LoSPL14, miR396-y: LoCFDP1, miR1863-z: LoFBA3, miR399-y: LoDIT1, and miR11525-z: Lopgm) were identified and predicted. Exogenous riboflavin may activate primary metabolic processes and promote dormancy release in Lilium ‘Siberia’ bulbs. Furthermore, riboflavin upregulated genes related to the riboflavin pathway, H3K4me3 methylation, dormancy control, and the flowering pathway and downregulated dormancy maintenance genes. Moreover, riboflavin promoted endogenous riboflavin and acetyl-CoA accumulation. LoPurple acid phosphatase17 (LoPAP17), a pivotal gene of the riboflavin metabolism pathway, was subsequently cloned. LoPAP17 was most closely related to the orthologous genes of Acorus calamus, Asparagus officinalis, and Musa acuminata. The LoPAP17 protein was subcellularly located in the nucleus. Our study revealed that miRNAs and their target genes might regulate the primary metabolic pathway, promote the accumulation of endogenous riboflavin and acetyl-CoA, and affect protein acetylation during the riboflavin-promoted release of dormancy and flower bud differentiation in the Lilium Oriental hybrid ‘Siberia’. Full article
(This article belongs to the Section Floriculture, Nursery and Landscape, and Turf)
Show Figures

Figure 1

10 pages, 3628 KB  
Article
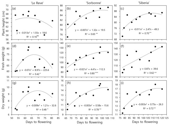
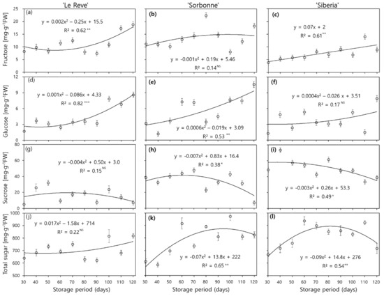
Cold Storage Period of Bulbs Influences Their Sugar Contents and Post-Storage Growth and Flowering in Lilium Oriental Hybrids
by Jiseon Kim and Wook Oh
Agriculture 2021, 11(11), 1080; https://doi.org/10.3390/agriculture11111080 - 1 Nov 2021
Cited by 4 | Viewed by 3585
Abstract
This study was carried out to investigate the changes in internal shoot growth, total and reducing sugar content, plant growth, and flowering characteristics after cold-stored bulbs of Lilium Oriental Hybrids are planted. Bulbs of Lilium Oriental Hybrids ‘Le Reve’, ‘Sorbonne’, and ‘Siberia’ were [...] Read more.
This study was carried out to investigate the changes in internal shoot growth, total and reducing sugar content, plant growth, and flowering characteristics after cold-stored bulbs of Lilium Oriental Hybrids are planted. Bulbs of Lilium Oriental Hybrids ‘Le Reve’, ‘Sorbonne’, and ‘Siberia’ were harvested at the end of November, cleaned, treated with fungicides, conditioned for 30 days at 4 °C, and cold-stored for 30 to 120 days at 0 °C. Plant height, fresh and dry weights, leaf numbers and area, chlorophyll content (SPAD index), days to flowering, number of flower buds, and flower diameter were measured when the cut flowers were harvested. In all cultivars, the shoot lengths in the bulbs increased as the storage period increased. As the storage period was extended, the fructose and glucose contents increased, whereas sucrose content decreased. The total sugar content increased during the early storage period and decreased subsequently. Plant height, fresh and dry weights of cut flowers showed a decreasing trend as the storage period increased. Flower diameter generally decreased with increasing storage period but varied among cultivars. These results indicated that more storage carbohydrates in bulbs were consumed as the storage period increased, and thus, the subsequent plant growth and flowering were negatively affected. Full article
(This article belongs to the Section Crop Production)
Show Figures

Figure 1

Back to TopTop