Sign in to use this feature.

Years

Between: -

Subjects

remove_circle_outline
remove_circle_outline
remove_circle_outline

Journals

Article Types

Countries / Regions

Search Results (2)

Search Parameters:
Keywords = Lepidodinium chlorophorum

Order results
Result details
Results per page
Select all
Export citation of selected articles as:
24 pages, 2386 KB  
Article
First Record of Lepidodinium chlorophorum and the Associated Phytoplankton Community Responsible of the Green Tide South Western Mediterranean Sea (Hammam-Lif, Tunisia)
by Noussaiba Salhi, Marc Pagano, Christine Felix, Aziz Hafferssas, Imen Laadouze, Mohamed Laabir and Neila Saidi
J. Mar. Sci. Eng. 2025, 13(10), 1982; https://doi.org/10.3390/jmse13101982 - 16 Oct 2025
Viewed by 514
Abstract
The bloom-forming dinoflagellates and euglenophyceae were observed in the coastal waters of Hammam-Lif (Southern Mediterranean), during a green tide event on 3 June 2023. The bloom was dominated by Lepidodinium chlorophorum, identified through ribotyping with densities reaching 2.3 × 107 cells·L−1 [...] Read more.
The bloom-forming dinoflagellates and euglenophyceae were observed in the coastal waters of Hammam-Lif (Southern Mediterranean), during a green tide event on 3 June 2023. The bloom was dominated by Lepidodinium chlorophorum, identified through ribotyping with densities reaching 2.3 × 107 cells·L−1. Euglena spp. and Eutrepsiella spp. contributed to the discoloration, with abundances up to 2.9 × 107 cells·L−1. Environmental data revealed significant depletion of nitrite and nitrate, coinciding with a rapid increase in sunlight duration, likely promoting the proliferation of L. chlorophorum and euglenophyceae. By 5 June, two days after the bloom, nutrient stocks were exhausted. Diatoms appeared limited by low silicate concentrations (<0.05 µmol·L−1), while dissolved inorganic phosphate and Nitrogen-ammonia were elevated during the bloom (0.88 and 4.8 µmol·L−1, respectively), then decreased significantly afterward (0.23 and 1.06 µmol·L−1, respectively). Low salinity (34.0) indicated substantial freshwater input from the Meliane River, likely contributing to nutrient enrichment and bloom initiation. After the event, phytoplankton abundance and chlorophyll levels declined, with a shift from dinoflagellates to diatoms. The accumulation of pigments (chlorophyll b and carotenoids) and the presence of Mycosporine-like amino acids (MAAs) during and after the bloom suggest that UV radiation and Nitrogen-ammonia were key drivers of this green tide. Full article
(This article belongs to the Section Marine Ecology)
Show Figures

Figure 1

13 pages, 2357 KB  
Article
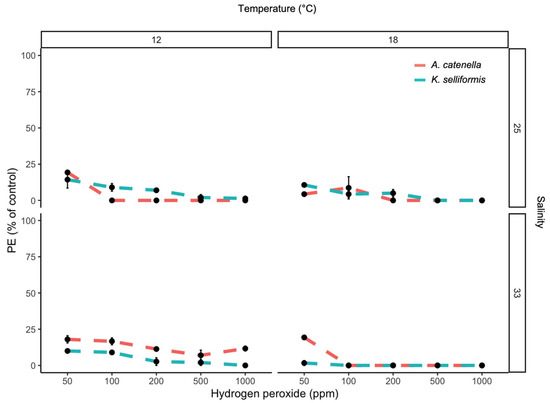
Mitigation of Marine Dinoflagellates Using Hydrogen Peroxide (H2O2) Increases Toxicity towards Epithelial Gill Cells
by Jorge I. Mardones, Ana Flores-Leñero, Marco Pinto-Torres, Javier Paredes-Mella and Sebastián Fuentes-Alburquenque
Microorganisms 2023, 11(1), 83; https://doi.org/10.3390/microorganisms11010083 - 28 Dec 2022
Cited by 5 | Viewed by 3943
Abstract
Hydrogen peroxide (H2O2) has been shown to efficiently remove toxic microalgae from enclosed ballast waters and brackish lakes. In this study, in vitro experiments were conducted to assess the side effects of mitigating toxic and non-toxic dinoflagellates with H [...] Read more.
Hydrogen peroxide (H2O2) has been shown to efficiently remove toxic microalgae from enclosed ballast waters and brackish lakes. In this study, in vitro experiments were conducted to assess the side effects of mitigating toxic and non-toxic dinoflagellates with H2O2. Five H2O2 concentrations (50 to 1000 ppm) were used to control the cell abundances of the toxic dinoflagellates Alexandrium catenella and Karenia selliformis and the non-toxic dinoflagellates Lepidodinium chlorophorum and Prorocentrum micans. Photosynthetic efficiency and staining dye measurements showed the high efficiency of H2O2 for mitigating all dinoflagellate species at only 50 ppm. In a bioassay carried out to test cytotoxicity using the cell line RTgill-W1, control experiments (only H2O2) showed cytotoxicity in a concentration- and time- (0 to 24 h) dependent manner. The toxic dinoflagellates, especially K. selliformis, showed basal cytotoxicity that increased with the application of hydrogen peroxide. Unexpectedly, the application of a low H2O2 concentration increased toxicity, even when mitigating non-toxic dinoflagellates. This study suggests that the fatty acid composition of toxic and non-toxic dinoflagellate species can yield toxic aldehyde cocktails after lipoperoxidation with H2O2 that can persist in water for days with different half-lives. Further studies are needed to understand the role of lipoperoxidation products as acute mediators of disease and death in aquatic environments. Full article
(This article belongs to the Section Environmental Microbiology)
Show Figures

Figure 1

Back to TopTop