Sign in to use this feature.

Years

Between: -

Subjects

remove_circle_outline
remove_circle_outline
remove_circle_outline
remove_circle_outline
remove_circle_outline
remove_circle_outline
remove_circle_outline

Journals

Article Types

Countries / Regions

Search Results (8)

Search Parameters:
Keywords = L10 FeMnPt

Order results
Result details
Results per page
Select all
Export citation of selected articles as:
21 pages, 3427 KB  
Article
Purification and Biochemical Characterization of a Novel Fibrinolytic Enzyme from Culture Supernatant of Coprinus comatus
by Jinyu Wang, Xiaolan Liu, Yan Jing and Xiqun Zheng
Foods 2024, 13(9), 1292; https://doi.org/10.3390/foods13091292 - 23 Apr 2024
Cited by 3 | Viewed by 2573
Abstract
A novel fibrinolytic enzyme was produced by the liquid fermentation of Coprinus comatus. The enzyme was purified from the culture supernatant by hydrophobic interactions, gel filtration, and ion exchange chromatographies. It was purified by 241.02-fold, with a specific activity of 3619 U/mg [...] Read more.
A novel fibrinolytic enzyme was produced by the liquid fermentation of Coprinus comatus. The enzyme was purified from the culture supernatant by hydrophobic interactions, gel filtration, and ion exchange chromatographies. It was purified by 241.02-fold, with a specific activity of 3619 U/mg and a final yield of 10.02%. SDS-PAGE analysis confirmed the purity of the enzyme, showing a single band with a molecular weight of 19.5 kDa. The first nine amino acids of the N-terminal of the purified enzyme were A-T-Y-T-G-G-S-Q-T. The enzyme exhibited optimal activity at a temperature of 42 °C and pH 7.6. Its activity was significantly improved by Zn2+, K+, Ca2+, Mn2+, and Mg2+ while being inhibited by Fe2+, Fe3+, Al2+, and Ba2+. The activity of the enzyme was completely inhibited by ethylenediamine tetraacetic acid (EDTA), and it was also dose-dependently inhibited by phenylmethylsulfonyl fluoride (PMSF) and soy trypsin inhibitor (SBTI). However, inhibitors such as N-α-tosyl-L-phenylalanine chloromethyl ketone (TPCK), aprotinin, and pepstatin did not significantly affect its activity, suggesting that the enzyme was a serine-like metalloproteinase. The enzyme acted as both a plasmin-like fibrinolytic enzyme and a plasminogen activator, and it also exhibited the capability to hydrolyze fibrinogen and fibrin. In vitro, it demonstrated the ability to dissolve blood clots and exhibit anticoagulant properties. Furthermore, it was found that the enzyme prolonged activated partial thromboplastin time (APTT), prothrombin time (PT), and thrombin time (TT), and reduced the levels of fibrinogen (FIB) and prothrombin activity (PA). Based on these studies, the enzyme has great potential to be developed as a natural agent for the prevention and treatment of thrombotic diseases. Full article
Show Figures

Figure 1

17 pages, 5606 KB  
Article
Geometry–Dependent Magnetoelectric and Exchange Bias Effects of the Nano L–T Mode Bar Structure Magnetoelectric Sensor
by Treetep Saengow and Rardchawadee Silapunt
Micromachines 2023, 14(2), 360; https://doi.org/10.3390/mi14020360 - 31 Jan 2023
Cited by 1 | Viewed by 1818
Abstract
The geometry–dependent magnetoelectric (ME) and exchange bias (EB) effects of the nano ME sensor were investigated. The sensor consisted of the Longitudinal–Transverse (L–T) mode bi–layer bar structure comprising the ferromagnetic (FM) and ferroelectric (FE) materials and the anti–ferromagnetic (AFM) material. The bi–layer ME [...] Read more.
The geometry–dependent magnetoelectric (ME) and exchange bias (EB) effects of the nano ME sensor were investigated. The sensor consisted of the Longitudinal–Transverse (L–T) mode bi–layer bar structure comprising the ferromagnetic (FM) and ferroelectric (FE) materials and the anti–ferromagnetic (AFM) material. The bi–layer ME coefficient was derived from constitutive equations and Newton’s second law. The trade–off between peak ME coefficient and optimal thickness ratio was realized. At the frequency × structure length = 0.1 and 1200, minimum and maximum peak ME coefficients of the Terfenol–D/PZT bi-layer were around 1756 and 5617 mV/Oe·cm, respectively, with 0.43 and 0.19 optimal thickness ratios, respectively. Unfortunately, the bi-layer could not distinguish the opposite magnetic field directions due to their similar output voltages. PtMn and Cr2O3, the AFM, were introduced to produce the EB effect. The simulation results showed the exchange field starting at a minimum PtMn thickness of 6 nm. Nevertheless, Cr2O3 did not induce the exchange field due to its low anisotropy constant. The tri–layer ME sensor consisting of PZT (4.22 nm)/Terfenol–D (18 nm)/PtMn (6 nm) was demonstrated in sensing 2 Tbit/in2 magnetic bits. The average exchange field of 5100 Oe produced the output voltage difference of 12.96 mV, sufficient for most nanoscale magnetic sensing applications. Full article
(This article belongs to the Special Issue Recent Advances in Magnetoelectric Materials and Devices)
Show Figures

Figure 1

19 pages, 3654 KB  
Article
Insights of Platinum Drug Interaction with Spinel Magnetic Nanocomposites for Targeted Anti-Cancer Effect
by Dana Almohazey, Vijaya Ravinayagam, Widyan Alamoudi, Sultan Akhtar, H. Dafalla, Hind Nasser AlSuwaidan, Shoruq. T. Almutairi, Hajer Saleh Alghamdi, Sukaina Ahmed Aldamen, M. A. Almessiere, A. Baykal, Ahmed A. Maarouf and B. Rabindran Jermy
Cancers 2023, 15(3), 695; https://doi.org/10.3390/cancers15030695 - 23 Jan 2023
Cited by 7 | Viewed by 3287
Abstract
In nanotherapeutics, gaining insight about the drug interaction with the pore architecture and surface functional groups of nanocarriers is crucial to aid in the development of targeted drug delivery. Manganese ferrite impregnated graphene oxide (MnFe2O4/GO) with a two-dimensional sheet [...] Read more.
In nanotherapeutics, gaining insight about the drug interaction with the pore architecture and surface functional groups of nanocarriers is crucial to aid in the development of targeted drug delivery. Manganese ferrite impregnated graphene oxide (MnFe2O4/GO) with a two-dimensional sheet and spherical silica with a three-dimensional interconnected porous structure (MnFe2O4/silica) were evaluated for cisplatin release and cytotoxic effects. Characterization studies revealed the presence of Mn2+ species with a variable spinel cubic phase and superparamagnetic effect. We used first principles calculations to study the physisorption of cisplatin on monodispersed silica and on single- and multi-layered GO. The binding energy of cisplatin on silica and single-layer GO was ~1.5 eV, while it was about double that value for the multilayer GO structure. Moreover, we treated MCF-7 (breast cancer cells) and HFF-1 (human foreskin fibroblast) with our nanocomposites and used the cell viability assay MTT. Both nanocomposites significantly reduced the cell viability. Pt4+ species of cisplatin on the spinel ferrite/silica nanocomposite had a better effect on the cytotoxic capability when compared to GO. The EC50 for MnFe2O4/silica/cisplatin and MnFe2O4/GO/cisplatin on MCF-7 was: 48.43 µg/mL and 85.36 µg/mL, respectively. The EC50 for the same conditions on HFF was: 102.92 µg/mL and 102.21 µg/mL, respectively. In addition, immunofluorescence images using c-caspase 3/7, and TEM analysis indicated that treating cells with these nanocomposites resulted in apoptosis as the major mechanism of cell death. Full article
(This article belongs to the Special Issue Advances in Cancer Therapeutics)
Show Figures

Figure 1

19 pages, 40970 KB  
Article
Removal of Synthetic Dye from Aqueous Solution Using MnFe2O4-GO Catalyzed Heterogeneous Electro-Fenton Process
by Gayathri Anil, Jaimy Scaria and Puthiya Veetil Nidheesh
Water 2022, 14(20), 3350; https://doi.org/10.3390/w14203350 - 21 Oct 2022
Cited by 31 | Viewed by 6059
Abstract
In the present study, heterogeneous electro-Fenton (HEF) process using MnFe2O4-GO catalyst is employed for the successful removal of dye from aqueous solution. Pt coated over titanium and graphite felt were used as the electrodes. The study focuses on the [...] Read more.
In the present study, heterogeneous electro-Fenton (HEF) process using MnFe2O4-GO catalyst is employed for the successful removal of dye from aqueous solution. Pt coated over titanium and graphite felt were used as the electrodes. The study focuses on the efficiency of the electrodes and catalyst used for the successful removal of Rhodamine B (RhB) from aqueous solution and the application of the same in real textile wastewater. The effect of various operational parameters like pH, applied voltage, catalyst concentration, initial pollutant concentration and effect of ions were investigated. The optimized condition of the electrolytic system was found as pH 3, applied voltage of 3 V, and catalyst concentration of 20 mg L−1 for the removal of 10 ppm RhB. At the optimized condition, 97.51% ± 0.0002 RhB removal was obtained after an electrolysis time of 60 min. The role of individual systems of Fe, Mn, GO and MnFe2O4 without support were compared with that of catalyst composite. On examining the practical viability in real textile effluent, a significant colour reduction was observed (reduced by 61.24% ± 0.0261 in 60 min). Along with this, the biodegradability enhancement (BOD/COD ratio from 0.07 to 0.21) after treatment was also observed. Full article
(This article belongs to the Special Issue Advanced Oxidation Processes for Emerging Contaminant Removal)
Show Figures

Figure 1

21 pages, 729 KB  
Article
Elemental Analysis and In Vitro Evaluation of Antibacterial and Antifungal Activities of Usnea barbata (L.) Weber ex F.H. Wigg from Călimani Mountains, Romania
by Violeta Popovici, Laura Bucur, Suzana Ioana Calcan, Elena Iulia Cucolea, Teodor Costache, Dan Rambu, Verginica Schröder, Cerasela Elena Gîrd, Daniela Gherghel, Gabriela Vochita, Aureliana Caraiane and Victoria Badea
Plants 2022, 11(1), 32; https://doi.org/10.3390/plants11010032 - 23 Dec 2021
Cited by 25 | Viewed by 5406
Abstract
This study aims to complete our research on Usnea barbata (L.) Weber ex F.H. Wigg (U. barbata) from the Călimani Mountains, Romania, with an elemental analysis and to explore its antibacterial and antifungal potential. Thus, we analyzed twenty-three metals (Ca, Fe, [...] Read more.
This study aims to complete our research on Usnea barbata (L.) Weber ex F.H. Wigg (U. barbata) from the Călimani Mountains, Romania, with an elemental analysis and to explore its antibacterial and antifungal potential. Thus, we analyzed twenty-three metals (Ca, Fe, Mg, Mn, Zn, Al, Ag, Ba, Co, Cr, Cu, Li, Ni, Tl, V, Mo, Pd, Pt, Sb, As, Pb, Cd, and Hg) in dried U. barbata lichen (dUB) by inductively coupled plasma mass spectrometry (ICP-MS). For the second study, we performed dried lichen extraction with five different solvents (ethyl acetate, acetone, ethanol, methanol, and water), obtaining five U. barbata dry extracts (UBDE). Then, using an adapted disc diffusion method (DDM), we examined their antimicrobial activity against seven bacterial species—four Gram-positive (Staphylococcus aureus, Enterococcus casseliflavus, Streptococcus pyogenes, and Streptococcus pneumoniae) and three Gram-negative (Escherichia coli, Klebsiella pneumoniae, and Pseudomonas aeruginosa)—and two fungi species (Candida albicans and Candida parapsilosis). Usnic acid (UA) was used as a positive control. The ICP-MS data showed a considerable Ca content (979.766 µg/g), followed by, in decreasing order, Mg, Mn, Al, Fe, and Zn. Other elements had low levels: Ba, Cu, Pb, and Cr (3.782–1.002 µg/g); insignificant amounts (<1 µg/g) of Hg and V were also found in dUB. The trace elements Ag, As, Cd, Co, Li, Tl, Mo, Pd, Pt, and Sb were below detection limits (<0.1 µg/g). The DDM results—expressed as the size (mm) of the inhibition zone diameter (IZs)—proved that the water extract did not have any inhibitory activity on any pathogens (IZs = 0 mm). Gram-positive bacteria displayed the most significant susceptibility to all other UBDE, with Enterococcus casseliflavus showing the highest level (IZs = 20–22 mm). The most susceptible Gram-negative bacterium was Pseudomonas aeruginosa (IZs = 16–20 mm); the others were insensitive to all U. barbata dry extracts (IZs = 0 mm). The inhibitory activity of UBDE and UA on Candida albicans was slightly higher than on Candida parapsilosis. Full article
(This article belongs to the Special Issue Secondary Metabolites from Lichens and Biological Activity)
Show Figures

Figure 1

12 pages, 6323 KB  
Article
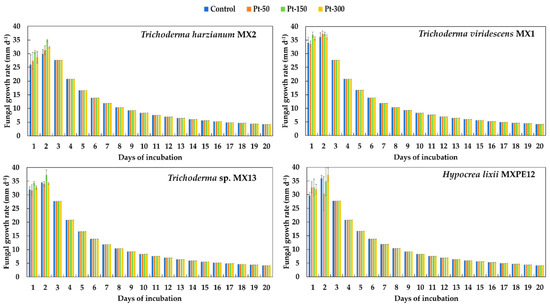
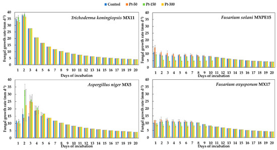
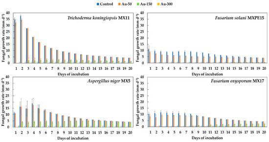
Fungal Tolerance: An Alternative for the Selection of Fungi with Potential for the Biological Recovery of Precious Metals
by Rosalba Argumedo-Delira, Mario J. Gómez-Martínez and Ramiro Uribe-Kaffure
Appl. Sci. 2020, 10(22), 8096; https://doi.org/10.3390/app10228096 - 15 Nov 2020
Cited by 4 | Viewed by 3680
Abstract
The behavior of various filamentous fungi in the presence of metals such as Cu, Zn, Ni, Fe, Mn, and V has been widely reported. However, there is little information regarding metals such as Au, Ag and Pt that are not in the form [...] Read more.
The behavior of various filamentous fungi in the presence of metals such as Cu, Zn, Ni, Fe, Mn, and V has been widely reported. However, there is little information regarding metals such as Au, Ag and Pt that are not in the form of nanoparticles. The growth of eight filamentous fungi was evaluated at increasing doses of Au, Ag and Pt. The fungi were reactivated in Petri dishes with potato dextrose agar. Subsequently, individual mycelial disks from each strain were inoculated in PDA plates with the following doses of AuCl3, Ag2SO4 and PtCl4: 0, 50, 150 and 300 mg L−1, respectively. The plates were then incubated for 20 days—a period in which the diameter of the colony was measured every 24 h. Au showed the highest toxicity for the tested fungi. All silver doses decreased the growth of most of the fungi, while platinum did not cause any inhibitory effect on the growth of the eight tested fungi. With a simple test, it was possible to observe the effect of precious metals (PMs) on the growth of filamentous fungi and consider their possible biotechnological applications in the recovery of PMs from primary or secondary sources. Full article
(This article belongs to the Section Applied Biosciences and Bioengineering)
Show Figures

Figure 1

12 pages, 2106 KB  
Article
Mn-Induced Thermal Stability of L10 Phase in Fept Magnetic Nanoscale Ribbons
by Alina Daniela Crisan, Aurel Leca, Dan Pantelica, Ioan Dan and Ovidiu Crisan
Nanomaterials 2020, 10(7), 1278; https://doi.org/10.3390/nano10071278 - 30 Jun 2020
Viewed by 2829
Abstract
Magnetic nanoscale materials exhibiting the L10 tetragonal phase such as FePt or ternary alloys derived from FePt show most promising magnetic properties as a novel class of rare earth free permanent magnets with high operating temperature. A granular alloy derived from binary [...] Read more.
Magnetic nanoscale materials exhibiting the L10 tetragonal phase such as FePt or ternary alloys derived from FePt show most promising magnetic properties as a novel class of rare earth free permanent magnets with high operating temperature. A granular alloy derived from binary FePt with low Pt content and the addition of Mn with the nominal composition Fe57Mn8Pt35 has been synthesized in the shape of melt-spun ribbons and subsequently annealed at 600 °C and 700 °C for promoting the formation of single phase, L10 tetragonal, hard magnetic phase. Proton-induced X-ray emission spectroscopy PIXE has been utilized for checking the compositional effect of Mn addition. Structural properties were analyzed using X-ray diffraction and diffractograms were analyzed using full profile Rietveld-type analysis with MAUD (Materials Analysis Using Diffraction) software. By using temperature-dependent synchrotron X-ray diffraction, the disorder–order phase transformation and the stability of the hard magnetic L10 phase were monitored over a large temperature range (50–800 °C). A large interval of structural stability of the L10 phase was observed and this stability was interpreted in terms of higher ordering of the L10 phase promoted by the Mn addition. It was moreover found that both crystal growth and unit cell expansion are inhibited, up to the highest temperature investigated (800 °C), proving thus that the Mn addition stabilizes the formed L10 structure further. Magnetic hysteresis loops confirmed structural data, revealing a strong coercive field for a sample wherein single phase, hard, magnetic tetragonal L10 exists. These findings open good perspectives for use as nanocomposite, rare earth free magnets, working in extreme operation conditions. Full article
Show Figures

Figure 1

11 pages, 94 KB  
Article
Natural Monocrystalline Pyrite as Sensor for Potentiometric Redox Titrations. Part I. Titrations with Permanganate
by M. M. Antonijevic, R. P. Mihajlovic and B. V. Vukanovic
Sensors 2002, 2(4), 153-163; https://doi.org/10.3390/s20400153 - 30 Apr 2002
Cited by 4 | Viewed by 8861
Abstract
Results obtained in potentiometric titrations of Fe(II), Mn(II), Fe(CN)64-, C2O42- and As(III) with standard potassium permanganate solution, are presented. The titration end point (TEP) was detected with a universal electrode whose sensor is natural crystalline pyrite. [...] Read more.
Results obtained in potentiometric titrations of Fe(II), Mn(II), Fe(CN)64-, C2O42- and As(III) with standard potassium permanganate solution, are presented. The titration end point (TEP) was detected with a universal electrode whose sensor is natural crystalline pyrite. The titrations of As(III) were carried out in HCl (1.2 M) and H2SO4 solutions (0.1- 4.5 M), whereas oxalate was determined in H2SO4 (0.1-4.5 M). Iron(II) and hexacyanoferrate(II) were titrated in H2SO4 and also in H3PO4 solutions (0.1-4.5 M). The titrations of Mn(II) were performed in H2P2O72- media at pH 4.0, 5.0, 6.0 and 7.0. The results obtained by using the pyrite electrode were compared with those obtained by the application of a Pt-electrode, and good agreement, reproducibility and accuracy were obtained. The potentials in the course of the titration and at the end-point (TEP) are rapidly established. The potential changes at the TEP ranged from 90 to 330 mV/0.1 mL, depending on the titrated system. The highest changes were observed in titrations of Fe(II) in H3PO4 (240-330 mV/0.1 mL). Reversed titrations were also performed and accurate and reproducible results were obtained. Full article
Show Figures

Figure 1

Back to TopTop