Sign in to use this feature.

Years

Between: -

Subjects

remove_circle_outline
remove_circle_outline
remove_circle_outline
remove_circle_outline
remove_circle_outline
remove_circle_outline
remove_circle_outline
remove_circle_outline
remove_circle_outline

Journals

Article Types

Countries / Regions

Search Results (24)

Search Parameters:
Keywords = IP-WSN

Order results
Result details
Results per page
Select all
Export citation of selected articles as:
31 pages, 10253 KB  
Article
Enhancing Wireless Sensor Network in Structural Health Monitoring through TCP/IP Socket Programming-Based Mimic Broadcasting: Experimental Validation
by Srikulnath Nilnoree, Attaphongse Taparugssanagorn, Kamol Kaemarungsi and Tsukasa Mizutani
Appl. Sci. 2024, 14(8), 3494; https://doi.org/10.3390/app14083494 - 20 Apr 2024
Viewed by 5609
Abstract
This paper presents the implementation of a synchronous Structural Health Monitoring (SHM) framework utilizing wireless, low-cost, and off-the-shelf components. Vibration-based condition monitoring plays a crucial role in assessing the reliability of structural systems by detecting damage through changes in vibration parameters. The adoption [...] Read more.
This paper presents the implementation of a synchronous Structural Health Monitoring (SHM) framework utilizing wireless, low-cost, and off-the-shelf components. Vibration-based condition monitoring plays a crucial role in assessing the reliability of structural systems by detecting damage through changes in vibration parameters. The adoption of low-cost Micro-Electro-Mechanical Systems (MEMS) sensors in Wireless Sensor Networks (WSNs) has gained traction, emphasizing the need for precise time synchronization to schedule wake-up times of multiple sensor nodes for data collection. To address this challenge, our proposed method introduces a TCP/IP socket programming-based mimic broadcasting mechanism and a scalable sensing network controlled by a central gateway, leveraging the Raspberry Pi Python platform. The system operates using Internet of Things (IoT) concepts and adopts a star topology, where a packet is transmitted from the gateway to initiate measurements simultaneously on multiple sensor nodes. The sensor node comprises a MEMS accelerometer, a real time clock DS3231 module and Raspberry Pi Zero 2W (RPi0-2W), while the gateway employs a Raspberry Pi 4 (RPi4). To ensure accurate time synchronization, all Pi0-2W nodes were configured as Network Time Protocol (NTP) clients, synchronizing with an RPi4 server using chrony, the reliable implementation of the NTP. Through experimental evaluations, the system demonstrates its effectiveness and reliability in achieving initial time synchronization. This study addresses the challenge of achieving precise time alignment between sensor nodes through the utilization of the Dynamic Time Wrapping (DTW) method for Frequency Domain Decomposition (FDD) applications. The contribution of this research significantly enhances the field by improving the accuracy and reliability of time-aligned measurements, with a specific focus on utilizing low-cost sensors. By developing a practical and cost-effective SHM framework, this work advances the accessibility and scalability of structural health monitoring solutions, facilitating more widespread adoption and implementation in various engineering applications Full article
Show Figures

Figure 1

24 pages, 1894 KB  
Article
Quality of Service (QoS) Performance Analysis in a Traffic Engineering Model for Next-Generation Wireless Sensor Networks
by Tehseen Mazhar, Muhammad Amir Malik, Syed Agha Hassnain Mohsan, Yanlong Li, Inayatul Haq, Sara Ghorashi, Faten Khalid Karim and Samih M. Mostafa
Symmetry 2023, 15(2), 513; https://doi.org/10.3390/sym15020513 - 14 Feb 2023
Cited by 54 | Viewed by 13167
Abstract
Quality of Service (QoS) refers to techniques that function on a network to dependably execute high-priority applications and traffic reliably run high-priority applications and traffic even when the network’s capacity is limited. It is expected that data transmission over next-generation WSNs (Wireless Sensor [...] Read more.
Quality of Service (QoS) refers to techniques that function on a network to dependably execute high-priority applications and traffic reliably run high-priority applications and traffic even when the network’s capacity is limited. It is expected that data transmission over next-generation WSNs (Wireless Sensor Networks) 5G (5th generation) and beyond will increase significantly, especially for multimedia content such as video. Installing multiple IoT (Internet of Things refers to the network of devices that are all connected to each other) nodes on top of 5G networks makes the design more challenging. Maintaining a minimal level of service quality becomes more challenging as data volume and network density rise. QoS is critical in modern networks because it ensures critical performance metrics and improves end-user experience. Every client attempts to fulfill QoS access needs by selecting the optimal access device(s). Controllers will then identify optimum routes to meet clients’ core QoS needs in their core network. QoS-aware delivery is one of the most important aspects of wireless communications. Various models are proposed in the literature; however, an adaptive buffer size according to service type, priority, and incoming communication requests is required to ensure QoS-aware wireless communication. This article offers a hybrid end-to-end QoS delivery method involving customers and controllers and proposes a QoS-aware service delivery model for various types of communication with an adaptive buffer size according to the priority of the incoming service requests. For this purpose, this paper evaluates various QoS delivery models devised for service delivery in real time over IP networks. Multiple vulnerabilities are outlined that weaken QoS delivery in different models. Performance optimization is needed to ensure QoS delivery in next-generation WSN networks. This paper addresses the shortcomings of the existing service delivery models for real-time communication. An efficient queuing mechanism is adopted that assigns priorities based on input data type and queue length. This queuing mechanism ensures QoS efficiency in limited bandwidth networks and real-time traffic. The model reduces the over-provisioning of resources, delay, and packet loss ratio. The paper contributes a symmetrically-designed traffic engineering model for QoS-ensured service delivery for next-generation WSNs. A dynamic queuing mechanism that assigns priorities based on input data type and queue length is proposed to ensure QoS for wireless next-generation networks. The proposed queuing mechanism discusses topological symmetry to ensure QoS efficiency in limited bandwidth networks with real-time communication. The experimental results describe that the proposed model reduces the over-provisioning of resources, delay, and packet loss ratio. Full article
Show Figures

Figure 1

19 pages, 3083 KB  
Review
A Survey on MAC-Based Physical Layer Security over Wireless Sensor Network
by Attique Ur Rehman, Muhammad Sajid Mahmood, Shoaib Zafar, Muhammad Ahsan Raza, Fahad Qaswar, Sumayh S. Aljameel, Irfan Ullah Khan and Nida Aslam
Electronics 2022, 11(16), 2529; https://doi.org/10.3390/electronics11162529 - 12 Aug 2022
Cited by 8 | Viewed by 4516
Abstract
Physical layer security for wireless sensor networks (WSNs) is a laborious and highly critical issue in the world. Wireless sensor networks have great importance in civil and military fields or applications. Security of data/information through wireless medium remains a challenge. The data that [...] Read more.
Physical layer security for wireless sensor networks (WSNs) is a laborious and highly critical issue in the world. Wireless sensor networks have great importance in civil and military fields or applications. Security of data/information through wireless medium remains a challenge. The data that we transmit wirelessly has increased the speed of transmission rate. In physical layer security, the data transfer between source and destination is not confidential, and thus the user has privacy issues, which is why improving the security of wireless sensor networks is a prime concern. The loss of physical security causes a great threat to a network. We have various techniques to resolve these issues, such as interference, noise, fading in the communications, etc. In this paper we have surveyed the different parameters of a security design model to highlight the vulnerabilities. Further we have discussed the various attacks on different layers of the TCP/IP model along with their mitigation techniques. We also elaborated on the applications of WSNs in healthcare, military information integration, oil and gas. Finally, we have proposed a solution to enhance the security of WSNs by adopting the alpha method and handshake mechanism with encryption and decryption. Full article
Show Figures

Figure 1

26 pages, 14902 KB  
Article
Framework for Sustainable Wireless Sensor Network Based Environmental Monitoring
by Ridha Ouni and Kashif Saleem
Sustainability 2022, 14(14), 8356; https://doi.org/10.3390/su14148356 - 7 Jul 2022
Cited by 49 | Viewed by 6542
Abstract
Wireless sensor networks (WSN) are the base of the Internet of Things (IoT) that all together give rise to the smart city. These WSNs consist of several sensors, which are densely distributed to observe physical or environmental conditions, like humidity, temperature, light intensity, [...] Read more.
Wireless sensor networks (WSN) are the base of the Internet of Things (IoT) that all together give rise to the smart city. These WSNs consist of several sensors, which are densely distributed to observe physical or environmental conditions, like humidity, temperature, light intensity, and gas concertation. The sensors reading data are transmitted to the network coordinator, the IP-gateway, which is at the heart of the wireless network. Many monitoring systems are to be found in the literature with generic designs and with the output of algorithms that runs on the given systems. In this paper, we review the related work on monitoring systems and propose the framework based on WSN to sense the readings from the environment to transmit and store in the cloud for calling on the handheld devices when required by the single or multiple users. A real sensor nodes-based experimental testbed is implemented in order to study the scalability, adaptability, and sustainability of the novel WSN-based environmental monitoring framework. Full article
Show Figures

Figure 1

27 pages, 1015 KB  
Article
DRiPLOF: An RPL Extension for Multi-Interface Wireless Sensor Networks in Interference-Prone Environments
by Robbe Elsas, Eli De Poorter and Jeroen Hoebeke
Sensors 2022, 22(10), 3906; https://doi.org/10.3390/s22103906 - 21 May 2022
Cited by 5 | Viewed by 2235
Abstract
The Routing Protocol for Low-power and Lossy Networks (RPL) is a popular routing layer protocol for multi-hop Wireless Sensor Networks (WSNs). However, typical RPL configurations are based on decade-old assumptions, leading to a mismatch with: (1) advances in wireless hardware; and (2) growing [...] Read more.
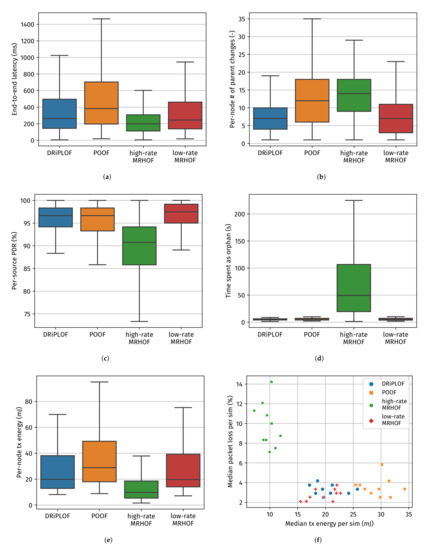
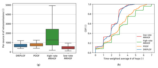
The Routing Protocol for Low-power and Lossy Networks (RPL) is a popular routing layer protocol for multi-hop Wireless Sensor Networks (WSNs). However, typical RPL configurations are based on decade-old assumptions, leading to a mismatch with: (1) advances in wireless hardware; and (2) growing wireless contention. To soften the impact of external stressors (i.e., jamming and interference), we extended RPL to exploit the capabilities of modern multi-interfaced wireless devices. More specifically, our main contribution is the design, development, and evaluation of a novel RPL Objective Function (OF) which, through simulations, is compared to traditional single-interface approaches and a state-of-the-art multi-interface approach. We examine two scenarios, with and without the injection of jamming, respectively. Our proposed OF is shown to outperform, or otherwise perform similar to, all alternatives considered. In normal conditions, it auto-selects the best interface whilst incurring negligible protocol overhead. In our jamming simulations, it provides stable end-to-end delivery ratios exceeding 90%, whereas the closest alternative averages 65% and is considerably less stable. Given we have open-sourced our development codebase, our solution is an ideal candidate for adoption by RPL deployments that expect to suffer interference from competing technologies or are unable to select the best radio technology a priori. Full article
(This article belongs to the Section Internet of Things)
Show Figures

Figure 1

21 pages, 3056 KB  
Article
Modeling and Fault Tolerance Analysis of ZigBee Protocol in IoT Networks
by Paweł Dymora, Mirosław Mazurek and Krzysztof Smalara
Energies 2021, 14(24), 8264; https://doi.org/10.3390/en14248264 - 8 Dec 2021
Cited by 12 | Viewed by 3688
Abstract
This paper presents the essence of IoT (Internet of Things) works and design challenges, discusses its principles of operation, and presents IoT development concepts. WSN (Wireless Sensor Network) was characterized in detail as an essential component of IoT infrastructure. The various faults that [...] Read more.
This paper presents the essence of IoT (Internet of Things) works and design challenges, discusses its principles of operation, and presents IoT development concepts. WSN (Wireless Sensor Network) was characterized in detail as an essential component of IoT infrastructure. The various faults that can occur at all levels of the IoT architecture, such as sensor nodes, actuators, network links, as well as processing and storage components clearly demonstrate that fault-tolerance (FT) has become a key issue for IoT systems. A properly applied routing algorithm has a direct impact on the power consumption of sensors, which in extreme cases is the reason why nodes shut down due to battery degradation. To study the fault tolerance of IoT infrastructure, a ZigBee network topology was created, and various node failure scenarios were simulated. Furthermore, the results presented showed the impact and importance of choosing the right routing scheme, based on the correlation of throughput to the number of rejected packets, as well as the proportionality of the value of management traffic to the other including the ratio of rejected packets. Full article
Show Figures

Figure 1

17 pages, 32555 KB  
Article
TSCH and RPL Joining Time Model for Industrial Wireless Sensor Networks
by Jose Vera-Pérez, Javier Silvestre-Blanes and Víctor Sempere-Payá
Sensors 2021, 21(11), 3904; https://doi.org/10.3390/s21113904 - 5 Jun 2021
Cited by 11 | Viewed by 5113
Abstract
Wireless sensor networks (WSNs) play a key role in the ecosystem of the Industrial Internet of Things (IIoT) and the definition of today’s Industry 4.0. These WSNs have the ability to sensor large amounts of data, thanks to their easy scalability. WSNs allow [...] Read more.
Wireless sensor networks (WSNs) play a key role in the ecosystem of the Industrial Internet of Things (IIoT) and the definition of today’s Industry 4.0. These WSNs have the ability to sensor large amounts of data, thanks to their easy scalability. WSNs allow the deployment of a large number of self-configuring nodes and the ability to automatically reorganize in case of any change in the topology. This huge sensorization capacity, together with its interoperability with IP-based networks, allows the systems of Industry 4.0 to be equipped with a powerful tool with which to digitalize a huge amount of variables in the different industrial processes. The IEEE 802.15.4e standard, together with the access mechanism to the Time Slotted Channel Hopping medium (TSCH) and the dynamic Routing Protocol for Low-Power and Lossy Networks (RPL), allow deployment of networks with the high levels of robustness and reliability necessary in industrial scenarios. However, these configurations have some disadvantages in the deployment and synchronization phases of the networks, since the time it takes to synchronize the nodes is penalized compared to other solutions in which access to the medium is done randomly and without channel hopping. This article proposes an analytical model to characterize the behavior of this type of network, based on TSCH and RPL during the phases of deployment along with synchronization and connection to the RPL network. Through this model, validated by simulation and real tests, it is possible to parameterize different configurations of a WSN network based on TSCH and RPL. Full article
Show Figures

Figure 1

28 pages, 7308 KB  
Article
Enhanced Bit Repair IP Fast Reroute Mechanism for Rapid Network Recovery
by Jozef Papan, Pavel Segec and Michal Kvet
Appl. Sci. 2021, 11(7), 3133; https://doi.org/10.3390/app11073133 - 1 Apr 2021
Cited by 7 | Viewed by 2971
Abstract
The massive development of virtualized infrastructures, Internet of Things (IoT), and Wireless Sensor Network (WSN) in recent years has led to an increase in quality requirements for the management and reliability of underlay communication networks. Existing converged networks must therefore guarantee specific quantitative [...] Read more.
The massive development of virtualized infrastructures, Internet of Things (IoT), and Wireless Sensor Network (WSN) in recent years has led to an increase in quality requirements for the management and reliability of underlay communication networks. Existing converged networks must therefore guarantee specific quantitative and qualitative parameters of different network communication services to meet customer requirements. However, the quality of the services operated is very negatively affected by an unpredictable failure of a communication link or a network node. In such situations, communication is typically interrupted for a period that is difficult to predict, and which can lead to significant financial losses and other negative effects. Internet Protocol Fast Reroute (IP FRR) technology was developed for these reasons. The paper presents the proposal of the new Enhanced Bit Repair (EB-REP) IP FRR mechanism, which offers significant improvements over its predecessor, the B-REP mechanism. The B-REP offers protection against a single failure and only for selected critical IP flows. The EB-REP provides advanced protection against multiple failures in a protected network domain and the protection can be provided for all network flows. The EB-REP calculates alternative paths in advance based on link metrics, but also allows the construction of alternative paths independently of them. The construction of alternative FRR paths uses a standardized tunneling approach via a unique field Bit-String. Thanks to these features, EB-REP is an advanced contribution to solving IP FRR-related problems, which enables the use of EB-REP in many network deployments, but especially in network solutions that require reliable data transmission. Full article
(This article belongs to the Section Electrical, Electronics and Communications Engineering)
Show Figures

Figure 1

15 pages, 391 KB  
Article
An Information-Centric Semantic Data Collection Tree for Wireless Sensor Networks
by Ngoc-Thanh Dinh and Younghan Kim
Sensors 2020, 20(21), 6168; https://doi.org/10.3390/s20216168 - 29 Oct 2020
Cited by 4 | Viewed by 2281
Abstract
Data collection is an important application of wireless sensor networks (WSNs) and Internet of Things (IoT). Current routing and addressing operations in WSNs are based on IP addresses, while data collection and data queries are normally information-centric. The current IP-based approach incurs significant [...] Read more.
Data collection is an important application of wireless sensor networks (WSNs) and Internet of Things (IoT). Current routing and addressing operations in WSNs are based on IP addresses, while data collection and data queries are normally information-centric. The current IP-based approach incurs significant management overheads and is inefficient for semantic data collection and queries. To address the above issue, this paper proposes a semantic data collection tree (sDCT) construction scheme to build up a semantic data collection tree for wireless sensor networks. The semantic tree is rooted at the edge/sink and supports data collection tasks, queries, and configurations efficiently. We implement the sDCT in Contiki and evaluate the performance of the sDCT in comparison with the state-of-the-art scheme, 6LoWPAN/RPL and L2RMR, using telosb sensors under various scenarios. The obtained results show that the sDCT achieves a significant improvement in terms of the energy efficiency and the packet transmissions required for data collection or a query task compared to 6LoWPAN/RPL and L2RMR. Full article
(This article belongs to the Section Sensor Networks)
Show Figures

Figure 1

28 pages, 8150 KB  
Article
Enhancing Energy Saving in Smart Farming through Aggregation and Partition Aware IoT Routing Protocol
by Karim Fathallah, Mohamed Amine Abid and Nejib Ben Hadj-Alouane
Sensors 2020, 20(10), 2760; https://doi.org/10.3390/s20102760 - 12 May 2020
Cited by 36 | Viewed by 4382
Abstract
Internet of things (IoT) for precision agriculture or Smart Farming (SF) is an emerging area of application. It consists essentially of deploying wireless sensor networks (WSNs), composed of IP-enabled sensor nodes, in a partitioned farmland area. When the surface, diversity, and complexity of [...] Read more.
Internet of things (IoT) for precision agriculture or Smart Farming (SF) is an emerging area of application. It consists essentially of deploying wireless sensor networks (WSNs), composed of IP-enabled sensor nodes, in a partitioned farmland area. When the surface, diversity, and complexity of the farm increases, the number of sensing nodes increases, generating heavy exchange of data and messages, and thus leading to network congestion, radio interference, and high energy consumption. In this work, we propose a novel routing algorithm extending the well known IPv6 Routing Protocol for Low power and Lossy Networks (RPL), the standard routing protocol used for IPv6 over Low-Power Wireless Personal Area Networks (6LoWPAN). It is referred to as the Partition Aware-RPL (PA-RPL) and improves the performance of the standard RPL. In contrast to RPL, the proposed technique builds a routing topology enabling efficient in-network data aggregation, hence dramatically reducing data traffic through the network. Performance analysis of a typical/realistic precision agriculture case, considering the potato pest prevention from the well-known late blight disease, shows that PA-RPL improves energy saving up to 40 % compared to standard RPL. Full article
(This article belongs to the Special Issue Internet of Things for Smart Homes and Industrial Application)
Show Figures

Figure 1

25 pages, 715 KB  
Article
An Efficient Group-Based Control Signalling within Proxy Mobile IPv6 Protocol
by Safwan M. Ghaleb, Shamala Subramaniam, Mukhtar Ghaleb and Ali Mohamed E. Ejmaa
Computers 2019, 8(4), 75; https://doi.org/10.3390/computers8040075 - 4 Oct 2019
Cited by 5 | Viewed by 5238
Abstract
Providing a seamless handover in the Internet of Thing (IoT) applications with minimal efforts is a big challenge in mobility management protocols. Several research efforts have been attempted to maintain the connectivity of nodes while performing mobility-related signalling, in order to enhance the [...] Read more.
Providing a seamless handover in the Internet of Thing (IoT) applications with minimal efforts is a big challenge in mobility management protocols. Several research efforts have been attempted to maintain the connectivity of nodes while performing mobility-related signalling, in order to enhance the system performance. However, these studies still fall short at the presence of short-term continuous movements of mobile nodes within the same network, which is a requirement in several applications. In this paper, we propose an efficient group-based handoff scheme for the Mobile Nodes (MNs) in order to reduce the nodes handover during their roaming. This scheme is named Enhanced Cluster Sensor Proxy Mobile IPv6 (E-CSPMIPv6). E-CSPMIPv6 introduces a fast handover scheme by implementing two mechanisms. In the first mechanism, we cluster mobile nodes that are moving as a group in order to register them at a prior time of their actual handoff. In the second mechanism, we manipulate the mobility-related signalling of the MNs triggering their handover signalling simultaneously. The efficiency of the proposed scheme is validated through extensive simulation experiments and numerical analyses in comparison to the state-of-the-art mobility management protocols under different scenarios and operation conditions. The results demonstrate that the E-CSPMIPv6 scheme significantly improves the overall system performance, by reducing handover delay, signalling cost and end-to-end delay. Full article
Show Figures

Figure 1

15 pages, 786 KB  
Article
Symmetric-Key-Based Security for Multicast Communication in Wireless Sensor Networks
by Matthias Carlier, Kris Steenhaut and An Braeken
Computers 2019, 8(1), 27; https://doi.org/10.3390/computers8010027 - 19 Mar 2019
Cited by 18 | Viewed by 6339
Abstract
This paper presents a new key management protocol for group-based communications in non-hierarchical wireless sensor networks (WSNs), applied on a recently proposed IP-based multicast protocol. Confidentiality, integrity, and authentication are established, using solely symmetric-key-based operations. The protocol features a cloud-based network multicast manager [...] Read more.
This paper presents a new key management protocol for group-based communications in non-hierarchical wireless sensor networks (WSNs), applied on a recently proposed IP-based multicast protocol. Confidentiality, integrity, and authentication are established, using solely symmetric-key-based operations. The protocol features a cloud-based network multicast manager (NMM), which can create, control, and authenticate groups in the WSN, but is not able to derive the actual constructed group key. Three main phases are distinguished in the protocol. First, in the registration phase, the motes register to the group by sending a request to the NMM. Second, the members of the group calculate the shared group key in the key construction phase. For this phase, two different methods are tested. In the unicast approach, the key material is sent to each member individually using unicast messages, and in the multicast approach, a combination of Lagrange interpolation and a multicast packet are used. Finally, in the multicast communication phase, these keys are used to send confidential and authenticated messages. To investigate the impact of the proposed mechanisms on the WSN, the protocol was implemented in ContikiOS and simulated using COOJA, considering different group sizes and multi-hop communication. These simulations show that the multicast approach compared to the unicast approach results in significant smaller delays, is a bit more energy efficient, and requires more or less the same amount of memory for the code. Full article
Show Figures

Figure 1

10 pages, 337 KB  
Proceeding Paper
Real-Time Primitives for CoAP: Extending the Use of IoT for Time Constraint Applications for Social Good
by Gabriel M. Eggly, Mariano Finochietto, Emmanouil Dimogerontakis, Rodrigo M. Santos, Javier Orozco and Roc Meseguer
Proceedings 2018, 2(19), 1257; https://doi.org/10.3390/proceedings2191257 - 24 Oct 2018
Cited by 3 | Viewed by 2139
Abstract
Internet of Things (IoT) have become a hot topic since the official introduction of IPv6. Research on Wireless Sensors Networks (WSN) move towards IoT as the communication platform and support provided by the TCP/UDP/IP stack provides a wide variety of services. The communication [...] Read more.
Internet of Things (IoT) have become a hot topic since the official introduction of IPv6. Research on Wireless Sensors Networks (WSN) move towards IoT as the communication platform and support provided by the TCP/UDP/IP stack provides a wide variety of services. The communication protocols need to be designed in such a way that even simple microcontrollers with small amount of memory and processing speed can be interconnected in a network. For this different protocols have been proposed. The most extended ones, MQTT and CoAP, represent two different paradigms. In this paper, we present a CoAP extension to support soft real-time communications among sensors, actuators and users. The extension facilitates the instrumentation of applications oriented to improve the quality of life of vulnerable communities contributing to the social good. Full article
(This article belongs to the Proceedings of UCAmI 2018)
Show Figures

Figure 1

20 pages, 3326 KB  
Article
How to Improve Fault Tolerance in Disaster Predictions: A Case Study about Flash Floods Using IoT, ML and Real Data
by Gustavo Furquim, Geraldo P. R. Filho, Roozbeh Jalali, Gustavo Pessin, Richard W. Pazzi and Jó Ueyama
Sensors 2018, 18(3), 907; https://doi.org/10.3390/s18030907 - 19 Mar 2018
Cited by 48 | Viewed by 8964
Abstract
The rise in the number and intensity of natural disasters is a serious problem that affects the whole world. The consequences of these disasters are significantly worse when they occur in urban districts because of the casualties and extent of the damage to [...] Read more.
The rise in the number and intensity of natural disasters is a serious problem that affects the whole world. The consequences of these disasters are significantly worse when they occur in urban districts because of the casualties and extent of the damage to goods and property that is caused. Until now feasible methods of dealing with this have included the use of wireless sensor networks (WSNs) for data collection and machine-learning (ML) techniques for forecasting natural disasters. However, there have recently been some promising new innovations in technology which have supplemented the task of monitoring the environment and carrying out the forecasting. One of these schemes involves adopting IP-based (Internet Protocol) sensor networks, by using emerging patterns for IoT. In light of this, in this study, an attempt has been made to set out and describe the results achieved by SENDI (System for dEtecting and forecasting Natural Disasters based on IoT). SENDI is a fault-tolerant system based on IoT, ML and WSN for the detection and forecasting of natural disasters and the issuing of alerts. The system was modeled by means of ns-3 and data collected by a real-world WSN installed in the town of São Carlos - Brazil, which carries out the data collection from rivers in the region. The fault-tolerance is embedded in the system by anticipating the risk of communication breakdowns and the destruction of the nodes during disasters. It operates by adding intelligence to the nodes to carry out the data distribution and forecasting, even in extreme situations. A case study is also included for flash flood forecasting and this makes use of the ns-3 SENDI model and data collected by WSN. Full article
(This article belongs to the Special Issue Security in IoT Enabled Sensors)
Show Figures

Figure 1

19 pages, 3159 KB  
Article
A Novel Secure IoT-Based Smart Home Automation System Using a Wireless Sensor Network
by Sandeep Pirbhulal, Heye Zhang, Md Eshrat E Alahi, Hemant Ghayvat, Subhas Chandra Mukhopadhyay, Yuan-Ting Zhang and Wanqing Wu
Sensors 2017, 17(1), 69; https://doi.org/10.3390/s17010069 - 30 Dec 2016
Cited by 210 | Viewed by 24248
Abstract
Wireless sensor networks (WSNs) provide noteworthy benefits over traditional approaches for several applications, including smart homes, healthcare, environmental monitoring, and homeland security. WSNs are integrated with the Internet Protocol (IP) to develop the Internet of Things (IoT) for connecting everyday life objects to [...] Read more.
Wireless sensor networks (WSNs) provide noteworthy benefits over traditional approaches for several applications, including smart homes, healthcare, environmental monitoring, and homeland security. WSNs are integrated with the Internet Protocol (IP) to develop the Internet of Things (IoT) for connecting everyday life objects to the internet. Hence, major challenges of WSNs include: (i) how to efficiently utilize small size and low-power nodes to implement security during data transmission among several sensor nodes; (ii) how to resolve security issues associated with the harsh and complex environmental conditions during data transmission over a long coverage range. In this study, a secure IoT-based smart home automation system was developed. To facilitate energy-efficient data encryption, a method namely Triangle Based Security Algorithm (TBSA) based on efficient key generation mechanism was proposed. The proposed TBSA in integration of the low power Wi-Fi were included in WSNs with the Internet to develop a novel IoT-based smart home which could provide secure data transmission among several associated sensor nodes in the network over a long converge range. The developed IoT based system has outstanding performance by fulfilling all the necessary security requirements. The experimental results showed that the proposed TBSA algorithm consumed less energy in comparison with some existing methods. Full article
(This article belongs to the Special Issue Sensors for Home Automation and Security)
Show Figures

Figure 1

Back to TopTop