Sign in to use this feature.

Years

Between: -

Subjects

remove_circle_outline
remove_circle_outline
remove_circle_outline

Journals

Article Types

Countries / Regions

Search Results (7)

Search Parameters:
Keywords = HJ-1A/1B satellite constellation

Order results
Result details
Results per page
Select all
Export citation of selected articles as:
29 pages, 163937 KB  
Article
Deep Learning-Based Classification of Aquatic Vegetation Using GF-1/6 WFV and HJ-2 CCD Satellite Data
by Yifan Shao, Qian Shen, Yue Yao, Xuelei Wang, Huan Zhao, Hangyu Gao, Yuting Zhou, Haobin Zhang and Zhaoning Gong
Remote Sens. 2025, 17(23), 3817; https://doi.org/10.3390/rs17233817 - 25 Nov 2025
Viewed by 455
Abstract
The Yangtze River Basin, one of China’s most vital watersheds, sustains both ecological balance and human livelihoods through its extensive lake systems. However, since the 1980s, these lakes have experienced significant ecological degradation, particularly in terms of aquatic vegetation decline. To acquire reliable [...] Read more.
The Yangtze River Basin, one of China’s most vital watersheds, sustains both ecological balance and human livelihoods through its extensive lake systems. However, since the 1980s, these lakes have experienced significant ecological degradation, particularly in terms of aquatic vegetation decline. To acquire reliable aquatic vegetation data during the peak growing season (July–September), when clear-sky conditions are scarce, we employed Chinese domestic satellite imagery—Gaofen-1/6 (GF-1/6) Wide Field of View (WFV) and Huanjing-2A/B (HJ-2A/B) Charge-Coupled Device (CCD)—with approximately one-day revisit frequency after constellation networking, 16 m spatial resolution, and excellent spectral consistency, in combination with deep learning algorithms, to monitor aquatic vegetation across the basin. Comparative experiments identified the near-infrared, red, and green bands as the most informative input features, with an optimal input size of 256 × 256. Through visual interpretation and dataset augmentation, we generated a total of 5016 labeled image pairs of this size. The U-Net++ model, equipped with an EfficientNet-B5 backbone, achieved robust performance with an mIoU of 90.16% and an mPA of 95.27% on the validation dataset. On independent test data, the model reached an mIoU of 79.10% and an mPA of 86.42%. Field-based assessment yielded an overall accuracy (OA) of 75.25%, confirming the reliability of the model. As a case study, the proposed model was applied to satellite imagery of Lake Taihu captured during the peak growing season of aquatic vegetation (July–September) from 2020 to 2025. Overall, this study introduces an automated classification approach for aquatic vegetation using 16 m resolution Chinese domestic satellite imagery and deep learning, providing a reliable framework for large-scale monitoring of aquatic vegetation across lakes in the Yangtze River Basin during their peak growth period. Full article
Show Figures

Figure 1

13 pages, 3380 KB  
Technical Note
Columnar Water Vapor Retrieval by Using Data from the Polarized Scanning Atmospheric Corrector (PSAC) Onboard HJ-2 A/B Satellites
by Yanqing Xie, Weizhen Hou, Zhengqiang Li, Sifeng Zhu, Zhenhai Liu, Jin Hong, Yan Ma, Cheng Fan, Jie Guang, Benyong Yang, Xuefeng Lei, Honglian Huang, Xiaobing Sun, Xiao Liu, Ying Zhang, Maoxin Song, Peng Zou and Yanli Qiao
Remote Sens. 2022, 14(6), 1376; https://doi.org/10.3390/rs14061376 - 11 Mar 2022
Cited by 13 | Viewed by 3411
Abstract
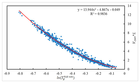
As the latest members of Chinese Environmental Protection and Disaster Monitoring Satellite Constellation, the first two of HuanjingJianzai-2 (HJ-2) series satellites were launched on 27 September 2020 by China and are usually abbreviated as HJ-2 A/B satellites. The polarized scanning atmospheric corrector (PSAC) [...] Read more.
As the latest members of Chinese Environmental Protection and Disaster Monitoring Satellite Constellation, the first two of HuanjingJianzai-2 (HJ-2) series satellites were launched on 27 September 2020 by China and are usually abbreviated as HJ-2 A/B satellites. The polarized scanning atmospheric corrector (PSAC) is one of main sensors onboard HJ-2 A/B satellites, which is mainly used to monitor atmospheric components such as water vapor and aerosols. In this study, a columnar water vapor (CWV) retrieval algorithm using two bands (865 and 910 nm) is developed for PSAC. The validation results of PSAC CWV data based on ground-based CWV data derived from Aerosol Robotic Network (AERONET) show that PSAC CWV data has a high accuracy, and all statistical parameters of PSAC CWV data are better than those of Moderate-resolution Imaging Spectroradiometer (MODIS) CWV data released by NASA. Overall, there is no obvious overestimation or underestimation in PSAC CWV data. The root mean square error (RMSE), mean absolute error (MAE), relative error (RE), and percentage of CWV data with error within ±(0.05+0.10CWVAERONET) (PER10) of PSAC CWV data are 0.17 cm, 0.13 cm, 0.08, and 78.19%, respectively. The RMSE, MAE, RE, and PER10 of MODIS CWV data are 0.59 cm, 0.48 cm, 0.28, and 16.55%, respectively. Compared with MODIS CWV data, PSAC CWV data shows a 71% decrease in RMSE, a 73% decrease in MAE, a 71% decrease in RE, and a 372% increase in PER10. In addition, the results of day-to-day comparisons between PSAC CWV data and AERONET data show that PSAC CWV data can effectively characterize the change trend of CWV. Full article
(This article belongs to the Section Atmospheric Remote Sensing)
Show Figures

Figure 1

17 pages, 6917 KB  
Article
Estimating 2009–2017 Impervious Surface Change in Gwadar, Pakistan Using the HJ-1A/B Constellation, GF-1/2 Data, and the Random Forest Algorithm
by Jinhu Bian, Ainong Li, Jiaqi Zuo, Guangbin Lei, Zhengjian Zhang and Xi Nan
ISPRS Int. J. Geo-Inf. 2019, 8(10), 443; https://doi.org/10.3390/ijgi8100443 - 8 Oct 2019
Cited by 10 | Viewed by 3958
Abstract
The China–Pakistan Economic Corridor (CPEC) is the flagship project of the Belt and Road Initiative. At the end of the CPEC, the Gwadar port on the Arabian Sea is being built quickly, providing an important economical route for the flow of Central Asia’s [...] Read more.
The China–Pakistan Economic Corridor (CPEC) is the flagship project of the Belt and Road Initiative. At the end of the CPEC, the Gwadar port on the Arabian Sea is being built quickly, providing an important economical route for the flow of Central Asia’s natural resources to the world. Gwadar city is in a rapid urbanization process and will be developed as a modern, world-class port city in the near future. Therefore, monitoring the urbanization process of Gwadar at both high spatial and temporal resolution is vital for its urban planning, city ecosystem management, and the sustainable development of CPEC. The impervious surface percentage (ISP) is an essential quantitative indicator for the assessment of urban development. Through the integration of remote sensing images and ISP estimation models, ISP can be routinely and periodically estimated. However, due to clouds’ influence and spatial–temporal resolution trade-offs in sensor design, it is difficult to estimate the ISP with both high spatial resolution and dense temporal frequency from only one satellite sensor. In recent years, China has launched a series of Earth resource satellites, such as the HJ (Huangjing, which means environment in Chinese)-1A/B constellation, showing great application potential for rapid Earth surface mapping. This study employs the Random Forest (RF) method for a long-term and fine-scale ISP estimation and analysis of the city of Gwadar, based on the density in temporal and multi-source Chinese satellite images. In the method, high spatial resolution ISP reference data partially covering Gwadar city was first extracted from the 1–2 meter (m) GF (GaoFen, which means high spatial resolution in Chinese)-1/2 fused images. An RF retrieval model was then built based on the training samples extracted from ISP reference data and multi-temporal 30-m HJ-1A/B satellite images. Lastly, the model was used to generate the 30-m time series ISP from 2009 to 2017 for the whole city area based on the HJ-1A/B images. Results showed that the mean absolute error of the estimated ISP was 6.1–8.1% and that the root mean square error (RMSE) of the estimation results was 12.82–15.03%, indicating the consistently high performance of the model. This study highlights the feasibility and potential of using multi-source Chinese satellite images and an RF model to generate long-term ISP estimations for monitoring the urbanization process of the key node city in the CPEC. Full article
Show Figures

Graphical abstract

17 pages, 6956 KB  
Article
Multi-Year Mapping of Maize and Sunflower in Hetao Irrigation District of China with High Spatial and Temporal Resolution Vegetation Index Series
by Bing Yu and Songhao Shang
Remote Sens. 2017, 9(8), 855; https://doi.org/10.3390/rs9080855 - 18 Aug 2017
Cited by 51 | Viewed by 9090
Abstract
Crop identification in large irrigation districts is important for crop yield estimation, hydrological simulation, and agricultural water management. Remote sensing provides an opportunity to visualize crops in the regional scale. However, the use of coarse resolution remote sensing images for crop identification usually [...] Read more.
Crop identification in large irrigation districts is important for crop yield estimation, hydrological simulation, and agricultural water management. Remote sensing provides an opportunity to visualize crops in the regional scale. However, the use of coarse resolution remote sensing images for crop identification usually causes great errors due to the presence of mixed pixels in regions with complex planting structure of crops. Therefore, it is preferable to use remote sensing data with high spatial and temporal resolutions in crop identification. This study aimed to map multi-year distributions of major crops (maize and sunflower) in Hetao Irrigation District, the third largest irrigation district in China, using HJ-1A/1B CCD images with high spatial and temporal resolutions. The Normalized Difference Vegetation Index (NDVI) series obtained from HJ-1A/1B CCD images was fitted with an asymmetric logistic curve to find the NDVI characteristics and phenological metrics for both maize and sunflower. Nine combinations of NDVI characteristics and phenological metrics were compared to obtain the optimal classifier to map maize and sunflower from 2009 to 2015. Results showed that the classification ellipse with the NDVI characteristic of the left inflection point in the NDVI curve and the phenological metric from the left inflection point to the peak point normalized, with mean values of corresponding grassland indexes achieving the minimum mean relative error of 10.82% for maize and 4.38% for sunflower. The corresponding Kappa coefficient was 0.62. These results indicated that the vegetation and phenology-based classifier using HJ-1A/1B data could effectively identify multi-year distribution of maize and sunflower in the study region. It was found that maize was mainly distributed in the middle part of the irrigation district (Hangjinhouqi and Linhe), while sunflower mainly in the east part (Wuyuan). The planting sites of sunflower had been gradually expanded from Wuyuan to the north part of Hangjinhouqi and Linhe. These results were in agreement with the local economic policy. Results also revealed the increasing trends of both maize and sunflower planting areas during the study period. Full article
(This article belongs to the Section Remote Sensing in Agriculture and Vegetation)
Show Figures

Graphical abstract

25 pages, 12219 KB  
Article
Development of Dense Time Series 30-m Image Products from the Chinese HJ-1A/B Constellation: A Case Study in Zoige Plateau, China
by Jinhu Bian, Ainong Li, Qingfang Wang and Chengquan Huang
Remote Sens. 2015, 7(12), 16647-16671; https://doi.org/10.3390/rs71215846 - 8 Dec 2015
Cited by 19 | Viewed by 8631
Abstract
Time series remote sensing products with both fine spatial and dense temporal resolutions are urgently needed for many earth system studies. The development of small satellite constellations with identical sensors affords novel opportunities to provide such kind of earth observations. In this paper, [...] Read more.
Time series remote sensing products with both fine spatial and dense temporal resolutions are urgently needed for many earth system studies. The development of small satellite constellations with identical sensors affords novel opportunities to provide such kind of earth observations. In this paper, a new dense time series 30-m image product was proposed respectively based on an 8-day, 16-day and monthly composition. The products were composited by the Charge Coupled Device (CCD) images from the 2-day revisit small satellite constellation for environmental monitoring and disaster mitigation of China (HJ-1A/B). Taking the Zoige plateau in China as a case area where it is covered by highly heterogeneous vegetation landscapes, a detailed methodology was introduced on how to use 183 scenes of CCD images in 2010 to create composite products. The quality of the HJ CCD composites was evaluated by inter-comparison with the monthly 30-m global Web-Enabled Landsat Data (WELD), 16-day 500-m MODIS NDVI, and 8-day 500-m MODIS surface reflectance products. Results showed that the radiometric consistency between HJ and WELD composited Top Of Atmosphere (TOA) reflectance was in good agreement except for May, June, July and August when more clouds and invalid data gaps appeared in WELD. Visual assessment and temporal profile analysis also revealed that HJ possessed better visual effects and temporal coherence than that of WELD. The comparison between HJ and MODIS products indicated that HJ composites were radiometrically consistent with MODIS products over areas consisting of large patches of homogeneous surface types, but can better reflect the detailed spatial differences in regions with heterogeneous landscapes. This paper highlights the potential of compositing HJ-1A/B CCD images, allowing for providing a cloud free, time-space consistent, 30-m spatial resolution, and dense in time series image product. Meanwhile, the proposed products could also be treated as a reference to generate regional or even global composited products for the on-going satellite constellations and even for the forthcoming satellite missions such as Sentinel-2A/B. Full article
Show Figures

Graphical abstract

19 pages, 10530 KB  
Article
Retrieval of Land Surface Temperature over the Heihe River Basin Using HJ-1B Thermal Infrared Data
by Xiaoying Ouyang, Li Jia, Yingqi Pan and Guangcheng Hu
Remote Sens. 2015, 7(1), 300-318; https://doi.org/10.3390/rs70100300 - 29 Dec 2014
Cited by 8 | Viewed by 6642
Abstract
The reliable estimation of spatially distributed Land Surface Temperature (LST) is useful for monitoring regional land surface heat fluxes. A single-channel method is developed to derive the LST over the Heihe River Basin in China using data from the infrared sensor (IRS) onboard [...] Read more.
The reliable estimation of spatially distributed Land Surface Temperature (LST) is useful for monitoring regional land surface heat fluxes. A single-channel method is developed to derive the LST over the Heihe River Basin in China using data from the infrared sensor (IRS) onboard the Chinese “Environmental and Disaster Monitoring and Forecasting with a Small Satellite Constellation” (HJ-1B for short for one of the satellites), with ancillary water vapor information from Moderate Resolution Imaging Spectroradiometer (MODIS) products (MOD05) and in situ automatic sun tracking photometer CE318 data for the first time. In situ LST data for the period from mid-June to mid-September 2012 were acquired from automatic meteorological stations (AMS) that are part of Heihe Watershed Allied Telemetry Experimental Research (HiWATER) project. MOD05-based LST and CE318-based LST are compared with in situ measurements at 16 AMS sites with land cover types of vegetable, maize and orchards. The results show that the use of the MOD05 product could achieve a comparable accuracy in LST retrieval with that achieved using the CE318 data. The largest difference between the MOD05-based LST and CE318-based LST is 0.84 K throughout the study period over the Heihe River Basin. The standard deviation (STD), root mean square error (RMSE), and correlation coefficient (R) of HJ-1B/IRS vs. the in situ measurements are 2.45 K, 2.78 K, and 0.67, respectively, whereas those for the MODIS 1 km LST product vs. the in situ measurements are 4.07 K, 2.98 K, and 0.79, respectively. The spatial pattern of the HJ-1B/LST over the study area in the Heihe River Basin generally agreed well with the MODIS 1 km LST product and contained more detailed spatial textures. Full article
Show Figures

Graphical abstract

19 pages, 412 KB  
Article
A Contextual Fire Detection Algorithm for Simulated HJ-1B Imagery
by Yonggang Qian, Guangjian Yan, Sibo Duan and Xiangsheng Kong
Sensors 2009, 9(2), 961-979; https://doi.org/10.3390/s90200961 - 13 Feb 2009
Cited by 8 | Viewed by 11604
Abstract
The HJ-1B satellite, which was launched on September 6, 2008, is one of the small ones placed in the constellation for disaster prediction and monitoring. HJ-1B imagery was simulated in this paper, which contains fires of various sizes and temperatures in a wide [...] Read more.
The HJ-1B satellite, which was launched on September 6, 2008, is one of the small ones placed in the constellation for disaster prediction and monitoring. HJ-1B imagery was simulated in this paper, which contains fires of various sizes and temperatures in a wide range of terrestrial biomes and climates, including RED, NIR, MIR and TIR channels. Based on the MODIS version 4 contextual algorithm and the characteristics of HJ-1B sensor, a contextual fire detection algorithm was proposed and tested using simulated HJ-1B data. It was evaluated by the probability of fire detection and false alarm as functions of fire temperature and fire area. Results indicate that when the simulated fire area is larger than 45 m2 and the simulated fire temperature is larger than 800 K, the algorithm has a higher probability of detection. But if the simulated fire area is smaller than 10 m2, only when the simulated fire temperature is larger than 900 K, may the fire be detected. For fire areas about 100 m2, the proposed algorithm has a higher detection probability than that of the MODIS product. Finally, the omission and commission error were evaluated which are important factors to affect the performance of this algorithm. It has been demonstrated that HJ-1B satellite data are much sensitive to smaller and cooler fires than MODIS or AVHRR data and the improved capabilities of HJ-1B data will offer a fine opportunity for the fire detection. Full article
(This article belongs to the Section Remote Sensors)
Show Figures

Back to TopTop