Sign in to use this feature.

Years

Between: -

Subjects

remove_circle_outline
remove_circle_outline

Journals

Article Types

Countries / Regions

Search Results (5)

Search Parameters:
Keywords = HIVconsv

Order results
Result details
Results per page
Select all
Export citation of selected articles as:
14 pages, 2443 KB  
Article
Adenovirus Transcriptome in Human Cells Infected with  ChAdOx1-Vectored Candidate HIV-1 Vaccine Is Dominated by High Levels of Correctly Spliced HIVconsv1&62 Transgene RNA
by David A. Matthews, Rachel Milligan, Edmund G. Wee and Tomáš Hanke
Vaccines 2023, 11(7), 1187; https://doi.org/10.3390/vaccines11071187 - 1 Jul 2023
Cited by 1 | Viewed by 2906
Abstract
We develop candidate HIV-1 vaccines, of which two components, ChAdOx1.tHIVconsv1 (C1) and ChAdOx1.HIVconsv62 (C62), are delivered by the simian adenovirus-derived vaccine vector ChAdOx1. Aberrant adenovirus RNA splicing involving transgene(s) coding for the SARS-CoV-2 spike was suggested as an aetiology of rare adverse events [...] Read more.
We develop candidate HIV-1 vaccines, of which two components, ChAdOx1.tHIVconsv1 (C1) and ChAdOx1.HIVconsv62 (C62), are delivered by the simian adenovirus-derived vaccine vector ChAdOx1. Aberrant adenovirus RNA splicing involving transgene(s) coding for the SARS-CoV-2 spike was suggested as an aetiology of rare adverse events temporarily associated with the initial deployment of adenovirus-vectored vaccines during the COVID-19 pandemic. Here, to eliminate this theoretically plausible splicing phenomenon from the list of possible pathomechanisms for our HIV-1 vaccine candidates, we directly sequenced mRNAs in C1- and C62-infected nonpermissive MRC-5 and A549 and permissive HEK293 human cell lines. Our two main observations in nonpermissive human cells, which are most similar to those which become infected after the intramuscular administration of vaccines into human volunteers, were that (i) the dominant adenovirus vector-derived mRNAs were the expected transcripts coding for the HIVconsvX immunogens and (ii) atypical splicing events within the synthetic open reading frame of the two transgenes are rare. We conclude that inadvertent RNA splicing is not a safety concern for the two tested candidate HIV-1 vaccines. Full article
(This article belongs to the Section HIV Vaccines)
Show Figures

Figure 1

14 pages, 2731 KB  
Article
Adenovirus DNA Polymerase Loses Fidelity on a Stretch of Eleven Homocytidines during Pre-GMP Vaccine Preparation
by Zara Hannoun, Edmund G. Wee, Alison Crook, Stefano Colloca, Stefania Di Marco and Tomáš Hanke
Vaccines 2022, 10(6), 960; https://doi.org/10.3390/vaccines10060960 - 16 Jun 2022
Cited by 3 | Viewed by 2780
Abstract
In this study, we invented and construct novel candidate HIV-1 vaccines. Through genetic and protein engineering, we unknowingly constructed an HIV-1-derived transgene with a homopolymeric run of 11 cytidines, which was inserted into an adenovirus vaccine vector. Here, we describe the virus rescue, [...] Read more.
In this study, we invented and construct novel candidate HIV-1 vaccines. Through genetic and protein engineering, we unknowingly constructed an HIV-1-derived transgene with a homopolymeric run of 11 cytidines, which was inserted into an adenovirus vaccine vector. Here, we describe the virus rescue, three rounds of clonal purification and preparation of good manufacturing practise (GMP) starting material assessed for genetic stability in five additional virus passages. Throughout these steps, quality control assays indicated the presence of the transgene in the virus genome, expression of the correct transgene product and immunogenicity in mice. However, DNA sequencing of the transgene revealed additional cytidines inserted into the original 11-cytidine region, and the GMP manufacture had to be aborted. Subsequent analyses indicated that as little as 1/25th of the virus dose used for confirmation of protein expression (106 cells at a multiplicity of infection of 10) and murine immunogenicity (108 infectious units per animal) met the quality acceptance criteria. Similar frameshifts in the expressed proteins were reproduced in a one-reaction in vitro transcription/translation employing phage T7 polymerase and E. coli ribosomes. Thus, the most likely mechanism for addition of extra cytidines into the ChAdOx1.tHIVconsv6 genome is that the adenovirus DNA polymerase lost its fidelity on a stretch of 11 cytidines, which informs future adenovirus vaccine designs. Full article
(This article belongs to the Special Issue Next-Generation HIV Antiretroviral Therapy and Vaccine Candidates)
Show Figures

Figure 1

10 pages, 1596 KB  
Communication
Tetravalent Immunogen Assembled from Conserved Regions of HIV-1 and Delivered as mRNA Demonstrates Potent Preclinical T-Cell Immunogenicity and Breadth
by Nathifa Moyo, Edmund G. Wee, Bette Korber, Kapil Bahl, Samantha Falcone, Sunny Himansu, Adrianne L. Wong, Antu K. Dey, Mark Feinberg and Tomáš Hanke
Vaccines 2020, 8(3), 360; https://doi.org/10.3390/vaccines8030360 - 6 Jul 2020
Cited by 20 | Viewed by 11383
Abstract
A vaccine will likely be one of the key tools for ending the HIV-1/AIDS epidemic by preventing HIV-1 spread within uninfected populations and achieving a cure for people living with HIV-1. The currently prevailing view of the vaccine field is to introduce protective [...] Read more.
A vaccine will likely be one of the key tools for ending the HIV-1/AIDS epidemic by preventing HIV-1 spread within uninfected populations and achieving a cure for people living with HIV-1. The currently prevailing view of the vaccine field is to introduce protective antibodies, nevertheless, a vaccine to be effective may need to harness protective T cells. We postulated that focusing a T-cell response on the most vulnerable regions of the HIV-1 proteome while maximizing a perfect match between the vaccine and circulating viruses will control HIV-1 replication. We currently use a combination of replication-deficient simian (chimpanzee) adenovirus and poxvirus modified vaccinia virus Ankara to deliver bivalent conserved-mosaic immunogens to human volunteers. Here, we exploit the mRNA platform by designing tetravalent immunogens designated as HIVconsvM, and demonstrate that mRNA formulated in lipid nanoparticles induces potent, broad and polyfunctional T-cell responses in a pre-clinical model. These results support optimization and further development of this vaccine strategy in experimental medicine trials in humans. Full article
(This article belongs to the Section HIV Vaccines)
Show Figures

Figure 1

19 pages, 3742 KB  
Article
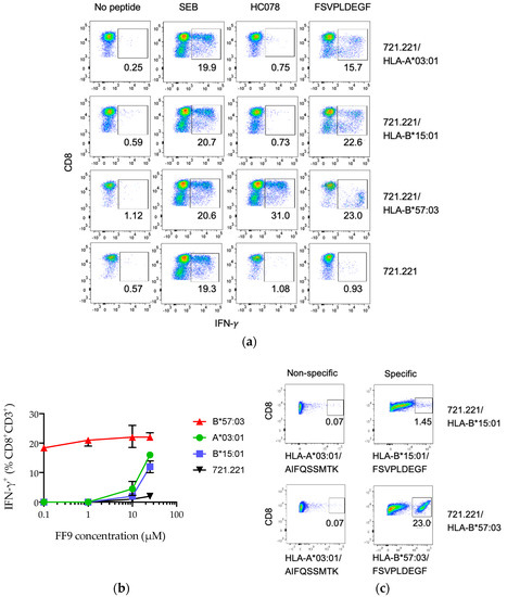
Specificity of CD8+ T-Cell Responses Following Vaccination with Conserved Regions of HIV-1 in Nairobi, Kenya
by Yehia S. Mohamed, Nicola J. Borthwick, Nathifa Moyo, Hayato Murakoshi, Tomohiro Akahoshi, Francesca Siliquini, Zara Hannoun, Alison Crook, Peter Hayes, Patricia E. Fast, Gaudensia Mutua, Walter Jaoko, Sandra Silva-Arrieta, Anuska Llano, Christian Brander, Masafumi Takiguchi and Tomáš Hanke
Vaccines 2020, 8(2), 260; https://doi.org/10.3390/vaccines8020260 - 29 May 2020
Cited by 7 | Viewed by 5218
Abstract
Sub-Saharan Africa carries the biggest burden of the human immunodeficiency virus type 1 (HIV-1)/AIDS epidemic and is in an urgent need of an effective vaccine. CD8+ T cells are an important component of the host immune response to HIV-1 and may need [...] Read more.
Sub-Saharan Africa carries the biggest burden of the human immunodeficiency virus type 1 (HIV-1)/AIDS epidemic and is in an urgent need of an effective vaccine. CD8+ T cells are an important component of the host immune response to HIV-1 and may need to be harnessed if a vaccine is to be effective. CD8+ T cells recognize human leukocyte antigen (HLA)-associated viral epitopes and the HLA alleles vary significantly among different ethnic groups. It follows that definition of HIV-1-derived peptides recognized by CD8+ T cells in the geographically relevant regions will critically guide vaccine development. Here, we study fine details of CD8+ T-cell responses elicited in HIV-1/2-uninfected individuals in Nairobi, Kenya, who received a candidate vaccine delivering conserved regions of HIV-1 proteins called HIVconsv. Using 10-day cell lines established by in vitro peptide restimulation of cryopreserved PBMC and stably HLA-transfected 721.221/C1R cell lines, we confirm experimentally many already defined epitopes, for a number of epitopes we define the restricting HLA molecule(s) and describe four novel HLA-epitope pairs. We also identify specific dominance patterns, a promiscuous T-cell epitope and a rescue of suboptimal T-cell epitope induction in vivo by its functional variant, which all together inform vaccine design. Full article
(This article belongs to the Section HIV Vaccines)
Show Figures

Figure 1

22 pages, 11690 KB  
Article
Novel Nested Peptide Epitopes Recognized by CD4+ T Cells Induced by HIV-1 Conserved-Region Vaccines
by Nicola Borthwick, Sandra Silva-Arrieta, Anuska Llano, Masafumi Takiguchi, Christian Brander and Tomáš Hanke
Vaccines 2020, 8(1), 28; https://doi.org/10.3390/vaccines8010028 - 16 Jan 2020
Cited by 12 | Viewed by 4743
Abstract
CD4+ T-cell responses play an important role in the immune control of the human immunodeficiency virus type 1 (HIV-1) infection and as such should be efficiently induced by vaccination. It follows that definition of HIV-1-derived peptides recognized by CD4+ T cells [...] Read more.
CD4+ T-cell responses play an important role in the immune control of the human immunodeficiency virus type 1 (HIV-1) infection and as such should be efficiently induced by vaccination. It follows that definition of HIV-1-derived peptides recognized by CD4+ T cells in association with HLA class II molecules will guide vaccine development. Here, we have characterized the fine specificity of CD4+ T cells elicited in human recipients of a candidate vaccine delivering conserved regions of HIV-1 proteins designated HIVconsv. The majority of these 19 most immunogenic regions contained novel epitopes, that is, epitopes not listed in the Los Alamos National Laboratory HIV Sequence Database, which were able in vitro to stimulate vaccinees’ CD4+ T cells to proliferate and produce interferon-γ and tumor necrosis factor-α. Accumulation of HLA class II epitopes will eventually accelerate development of HIV-1 prophylactic and therapeutic vaccines. Full article
(This article belongs to the Section HIV Vaccines)
Show Figures

Figure 1

Back to TopTop