Sign in to use this feature.

Years

Between: -

Subjects

remove_circle_outline
remove_circle_outline
remove_circle_outline
remove_circle_outline
remove_circle_outline

Journals

Article Types

Countries / Regions

Search Results (4)

Search Parameters:
Keywords = Gielis’ superformula

Order results
Result details
Results per page
Select all
Export citation of selected articles as:
15 pages, 7959 KB  
Article
Rapid Prototyping of Bio-Inspired Dielectric Resonator Antennas for Sub-6 GHz Applications
by Valeria Marrocco, Vito Basile, Ilaria Marasco, Giovanni Niro, Luigi Melchiorre, Antonella D’Orazio, Marco Grande and Irene Fassi
Micromachines 2021, 12(9), 1046; https://doi.org/10.3390/mi12091046 - 29 Aug 2021
Cited by 8 | Viewed by 3395
Abstract
Bio-inspired Dielectric Resonator Antennas (DRAs) are engaging more and more attention from the scientific community due to their exceptional wideband characteristic, which is especially desirable for the implementation of 5G communications. Nonetheless, since these antennas exhibit peculiar geometries in their micro-features, high dimensional [...] Read more.
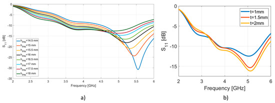
Bio-inspired Dielectric Resonator Antennas (DRAs) are engaging more and more attention from the scientific community due to their exceptional wideband characteristic, which is especially desirable for the implementation of 5G communications. Nonetheless, since these antennas exhibit peculiar geometries in their micro-features, high dimensional accuracy must be accomplished via the selection of the most suitable fabrication process. In this study, the challenges to the manufacturing process presented by the wideband Spiral shell Dielectric Resonator Antenna (SsDRA), based on the Gielis superformula, are addressed. Three prototypes, made of three different photopolymer resins, were manufactured by bottom-up micro-Stereolithography (SLA). This process allows to cope with SsDRA’s fabrication criticalities, especially concerning the wavy features characterizing the thin spiral surface and the micro-features located in close proximity to the spiral origin. The assembly of the SsDRAs with a ground plane and feed probe was also accurately managed in order to guarantee reliable and repeatable measurements. The scattering parameter S11 trends were then measured by means of a Vector Network Analyzer, while the realized gains and 3D radiation diagrams were measured in the anechoic chamber. The experimental results show that all SsDRAs display relevant wideband behavior of 2 GHz at −10 dB in the sub-6 GHz range. Full article
(This article belongs to the Special Issue Micro Manufacturing for 5G Communications)
Show Figures

Figure 1

13 pages, 3231 KB  
Article
Bio-Inspired Dielectric Resonator Antenna for Wideband Sub-6 GHz Range
by Luigi Melchiorre, Ilaria Marasco, Giovanni Niro, Vito Basile, Valeria Marrocco, Antonella D’Orazio and Marco Grande
Appl. Sci. 2020, 10(24), 8826; https://doi.org/10.3390/app10248826 - 10 Dec 2020
Cited by 14 | Viewed by 4363
Abstract
Through the years, inspiration from nature has taken the lead for technological development and improvement. This concept firmly applies to the design of the antennas, whose performances receive a relevant boost due to the implementation of bio-inspired geometries. In particular, this idea holds [...] Read more.
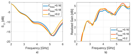
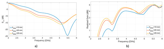
Through the years, inspiration from nature has taken the lead for technological development and improvement. This concept firmly applies to the design of the antennas, whose performances receive a relevant boost due to the implementation of bio-inspired geometries. In particular, this idea holds in the present scenario, where antennas working in the higher frequency range (5G and mm-wave), require wide bandwidth and high gain; nonetheless, ease of fabrication and rapid production still have their importance. To this aim, polymer-based 3D antennas, such as Dielectric Resonator Antennas (DRAs) have been considered as suitable for fulfilling antenna performance and fabrication requirements. Differently from numerous works related to planar-metal-based antenna development, bio-inspired DRAs for 5G and mm-wave applications are at their beginning. In this scenario, the present paper proposes the analysis and optimization of a bio-inspired Spiral shell DRA (SsDRA) implemented by means of Gielis’ superformula, with the goal of boosting the antenna bandwidth. The optimized SsDRA geometrical parameters were also determined and discussed based on its fabrication feasibility exploiting Additive Manufacturing technologies. The results proved that the SsDRA provides relevant bandwidth, about 2 GHz wide, and satisfactory gain (3.7 dBi and 5 dBi, respectively) at two different frequencies, 3.5 GHz and 5.5 GHz. Full article
(This article belongs to the Section Electrical, Electronics and Communications Engineering)
Show Figures

Figure 1

24 pages, 1755 KB  
Article
A New Objective Function for the Recovery of Gielis Curves
by Alejandro Marcelo Arce, Gabriel Giovanni Caroni, José Luis Vázquez Noguera, Diego P. Pinto-Roa, Horacio Legal-Ayala and Sebastián A. Grillo
Symmetry 2020, 12(6), 1016; https://doi.org/10.3390/sym12061016 - 16 Jun 2020
Cited by 1 | Viewed by 2939
Abstract
The superformula generates curves called Gielis curves, which depend on a small number of input parameters. Recovering parameters generating a curve that adapts to a set of points is a non-trivial task, thus methods to accomplish it are still being developed. These curves [...] Read more.
The superformula generates curves called Gielis curves, which depend on a small number of input parameters. Recovering parameters generating a curve that adapts to a set of points is a non-trivial task, thus methods to accomplish it are still being developed. These curves can represent a great variety of forms, such as living organisms, objects and geometric shapes. In this work we propose a method that uses a genetic algorithm to minimize a combination of three objectives functions: Euclidean distances from the sample points to the curve, from the curve to the sample points and the curve length. Curves generated with the parameters obtained by this method adjust better to real curves in relation to the state of art, according to observational and numeric comparisons. Full article
Show Figures

Figure 1

12 pages, 472 KB  
Article
Electroporation Modelling of Irregular Nucleated Cells Including Pore Radius Dynamics
by Michele Alessandro Chiapperino, Pietro Bia, Claudio Maria Lamacchia and Luciano Mescia
Electronics 2019, 8(12), 1477; https://doi.org/10.3390/electronics8121477 - 4 Dec 2019
Cited by 11 | Viewed by 4059
Abstract
When high-amplitude, short-duration electric pulses are applied to cells the permeability of their membranes is increased. From the biological point of view, the phenomenon is quite well understood, however, it is important to develop accurate numerical models to investigate the electroporation effectiveness in [...] Read more.
When high-amplitude, short-duration electric pulses are applied to cells the permeability of their membranes is increased. From the biological point of view, the phenomenon is quite well understood, however, it is important to develop accurate numerical models to investigate the electroporation effectiveness in terms of electrical, geometrical and physical parameters. To this aim, in this paper, we illustrate a spatio–temporal, non-linear, and dispersive multiphysics approach to study the electroporation in irregularly nucleated shaped cells. The model couples the Maxwell equations with the partial differential equation describing the creation and closure of pores as well as the evolution of the pore size. The dispersive properties of biological media and the irregular geometries of the membranes have been described using the multi-relaxation Debye-based relationship and the Gielis superformula, respectively. Numerical simulations highlight the importance to include in the model the spatial and temporal evolution of the pore radius. In fact, the obtained numerical results show significant discrepancies between our model and the one in which the pore radius dynamics is negligible. Full article
(This article belongs to the Section Bioelectronics)
Show Figures

Figure 1

Back to TopTop