Sign in to use this feature.

Years

Between: -

Subjects

remove_circle_outline
remove_circle_outline
remove_circle_outline
remove_circle_outline
remove_circle_outline

Journals

Article Types

Countries / Regions

Search Results (6)

Search Parameters:
Keywords = Frobenius module

Order results
Result details
Results per page
Select all
Export citation of selected articles as:
21 pages, 6150 KB  
Article
A Hybrid Frequency Decomposition–CNN–Transformer Model for Predicting Dynamic Cryptocurrency Correlations
by Ji-Won Kang, Daihyun Kwon and Sun-Yong Choi
Electronics 2025, 14(21), 4136; https://doi.org/10.3390/electronics14214136 - 22 Oct 2025
Abstract
This study proposes a hybrid model that integrates Wavelet frequency decomposition, convolutional neural networks (CNNs), and Transformers to predict correlation structures among eight major cryptocurrencies. The Wavelet module decomposes asset time series into short-, medium-, and long-term components, enabling multi-scale trend analysis. CNNs [...] Read more.
This study proposes a hybrid model that integrates Wavelet frequency decomposition, convolutional neural networks (CNNs), and Transformers to predict correlation structures among eight major cryptocurrencies. The Wavelet module decomposes asset time series into short-, medium-, and long-term components, enabling multi-scale trend analysis. CNNs capture localized correlation patterns across frequency bands, while the Transformer models long-term temporal dependencies and global relationships. Ablation studies with three baselines (Wavelet–CNN, Wavelet–Transformer, and CNN–Transformer) confirm that the proposed Wavelet–CNN–Transformer (WCT) consistently outperforms all alternatives across regression metrics (MSE, MAE, RMSE) and matrix similarity measures (Cosine Similarity and Frobenius Norm). The performance gap with the Wavelet–Transformer highlights CNN’s critical role in processing frequency-decomposed features, and WCT demonstrates stable accuracy even during periods of high market volatility. By improving correlation forecasts, the model enhances portfolio diversification and enables more effective risk-hedging strategies than volatility-based approaches. Moreover, it is capable of capturing the impact of major events such as policy announcements, geopolitical conflicts, and corporate earnings releases on market networks. This capability provides a powerful framework for monitoring structural transformations that are often overlooked by traditional price prediction models. Full article
Show Figures

Figure 1

10 pages, 216 KB  
Article
Frobenius Modules Associated to Algebra Automorphisms
by Ji-Wei He and Chenglong Rong
Mathematics 2024, 12(4), 531; https://doi.org/10.3390/math12040531 - 8 Feb 2024
Viewed by 1154
Abstract
Here, we study Frobenius bimodules associated with a pair of automorphisms of an algebra and discuss their basic properties. In particular, some equivalent conditions for a finite-dimensional bimodule are proved to be Frobenius and some isomorphisms between Ext-groups and Tor-groups of Frobenius modules [...] Read more.
Here, we study Frobenius bimodules associated with a pair of automorphisms of an algebra and discuss their basic properties. In particular, some equivalent conditions for a finite-dimensional bimodule are proved to be Frobenius and some isomorphisms between Ext-groups and Tor-groups of Frobenius modules over finite dimensional algebras are established. Full article
21 pages, 19978 KB  
Article
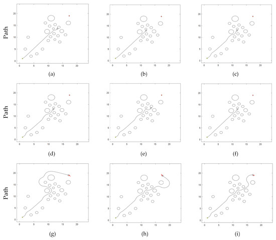
Microrobot Path Planning Based on the Multi-Module DWA Method in Crossing Dense Obstacle Scenario
by Dequan Zeng, Haotian Chen, Yinquan Yu, Yiming Hu, Zhenwen Deng, Peizhi Zhang and Dongfu Xie
Micromachines 2023, 14(6), 1181; https://doi.org/10.3390/mi14061181 - 31 May 2023
Cited by 10 | Viewed by 2264
Abstract
A hard issue in the field of microrobots is path planning in complicated situations with dense obstacle distribution. Although the Dynamic Window Approach (DWA) is a good obstacle avoidance planning algorithm, it struggles to adapt to complex situations and has a low success [...] Read more.
A hard issue in the field of microrobots is path planning in complicated situations with dense obstacle distribution. Although the Dynamic Window Approach (DWA) is a good obstacle avoidance planning algorithm, it struggles to adapt to complex situations and has a low success rate when planning in densely populated obstacle locations. This paper suggests a multi-module enhanced DWA (MEDWA) obstacle avoidance planning algorithm to address the aforementioned issues. An obstacle-dense area judgment approach is initially presented by combining Mahalanobis distance, Frobenius norm, and covariance matrix on the basis of a multi-obstacle coverage model. Second, MEDWA is a hybrid of enhanced DWA (EDWA) algorithms in non-dense areas with a class of two-dimensional analytic vector field methods developed in dense areas. The vector field methods are used instead of the DWA algorithms with poor planning performance in dense areas, which greatly improves the passing ability of microrobots over dense obstacles. The core of EDWA is to extend the new navigation function by modifying the original evaluation function and dynamically adjusting the weights of the trajectory evaluation function in different modules using the improved immune algorithm (IIA), thus improving the adaptability of the algorithm to different scenarios and achieving trajectory optimization. Finally, two scenarios with different obstacle-dense area locations were constructed to test the proposed method 1000 times, and the performance of the algorithm was verified in terms of step number, trajectory length, heading angle deviation, and path deviation. The findings indicate that the method has a smaller planning deviation and that the length of the trajectory and the number of steps can both be reduced by about 15%. This improves the ability of the microrobot to pass through obstacle-dense areas while successfully preventing the phenomenon of microrobots going around or even colliding with obstacles outside of dense areas. Full article
(This article belongs to the Section E:Engineering and Technology)
Show Figures

Figure 1

16 pages, 481 KB  
Article
The Generalization of Non-Negative Matrix Factorization Based on Algorithmic Stability
by Haichao Sun and Jie Yang
Electronics 2023, 12(5), 1147; https://doi.org/10.3390/electronics12051147 - 27 Feb 2023
Cited by 5 | Viewed by 2039
Abstract
The Non-negative Matrix Factorization (NMF) is a popular technique for intelligent systems, which can be widely used to decompose a nonnegative matrix into two factor matrices: a basis matrix and a coefficient one, respectively. The main objective of NMF is to ensure that [...] Read more.
The Non-negative Matrix Factorization (NMF) is a popular technique for intelligent systems, which can be widely used to decompose a nonnegative matrix into two factor matrices: a basis matrix and a coefficient one, respectively. The main objective of NMF is to ensure that the operation results of the two matrices are as close to the original matrix as possible. Meanwhile, the stability and generalization ability of the algorithm should be ensured. Therefore, the generalization performance of NMF algorithms is analyzed from the perspective of algorithm stability and the generalization error bounds are given, which is named AS-NMF. Firstly, a general NMF prediction algorithm is proposed, which can predict the labels for new samples, and then the corresponding loss function is defined further. Secondly, the stability of the NMF algorithm is defined according to the loss function, and two generalization error bounds can be obtained by employing uniform stability in the case where U is fixed and it is not fixed under the multiplicative update rule. The bounds numerically show that its stability parameter depends on the upper bound on the module length of the input data, dimension of hidden matrix and Frobenius norm of the basis matrix. Finally, a general and stable framework is established, which can analyze and measure generalization error bounds for the NMF algorithm. The experimental results demonstrate the advantages of new methods on three widely used benchmark datasets, which indicate that our AS-NMF can not only achieve efficient performance, but also outperform the state-of-the-art of recommending tasks in terms of model stability. Full article
(This article belongs to the Special Issue Advances in Fuzzy and Intelligent Systems)
Show Figures

Figure 1

21 pages, 4459 KB  
Article
Fast Target Localization in FMCW-MIMO Radar with Low SNR and Snapshot via Multi-DeepNet
by Yunye Su, Xiang Lan, Jinmei Shi, Lu Sun and Xianpeng Wang
Remote Sens. 2023, 15(1), 66; https://doi.org/10.3390/rs15010066 - 23 Dec 2022
Cited by 4 | Viewed by 3430
Abstract
Frequency modulated continuous wave (FMCW) multiple-input multiple-output (MIMO) radars are widely applied in target localization. However, during the process, the estimation accuracy decreases sharply without considerable signal-to-noise ratio (SNR) and sufficient snapshot number. It is therefore necessary to consider estimation schemes that are [...] Read more.
Frequency modulated continuous wave (FMCW) multiple-input multiple-output (MIMO) radars are widely applied in target localization. However, during the process, the estimation accuracy decreases sharply without considerable signal-to-noise ratio (SNR) and sufficient snapshot number. It is therefore necessary to consider estimation schemes that are valid under low signal-to-noise ratio (SNR) and snapshot. In this paper, a fast target localization framework based on multiple deep neural networks named Multi-DeepNet is proposed. In the scheme, multiple interoperating deep networks are employed to achieve accurate target localization in harsh environments. Firstly, we designed a coarse estimate using deep learning to determine the interval where the angle is located. Then, multiple neural networks are designed to realize accurate estimation. After that, the range estimation is determined. Finally, angles and ranges are matched by comparing the Frobenius norm. Simulations and experiments are conducted to verify the efficiency and accuracy of the proposed framework. Full article
Show Figures

Figure 1

23 pages, 374 KB  
Article
On Restricted Cohomology of Modular Classical Lie Algebras and Their Applications
by Sherali S. Ibraev, Larissa S. Kainbaeva and Angisin Z. Seitmuratov
Mathematics 2022, 10(10), 1680; https://doi.org/10.3390/math10101680 - 13 May 2022
Viewed by 1957
Abstract
In this paper, we study the restricted cohomology of Lie algebras of semisimple and simply connected algebraic groups in positive characteristics with coefficients in simple restricted modules and their applications in studying the connections between these cohomology with the corresponding ordinary cohomology and [...] Read more.
In this paper, we study the restricted cohomology of Lie algebras of semisimple and simply connected algebraic groups in positive characteristics with coefficients in simple restricted modules and their applications in studying the connections between these cohomology with the corresponding ordinary cohomology and cohomology of algebraic groups. Let G be a semisimple and simply connected algebraic group G over an algebraically closed field of characteristic p>h, where h is a Coxeter number. Denote the first Frobenius kernel and Lie algebra of G by G1 and g, respectively. First, we calculate the restricted cohomology of g with coefficients in simple modules for two families of restricted simple modules. Since in the restricted region the restricted cohomology of g is equivalent to the corresponding cohomology of G1, we describe them as the cohomology of G1 in terms of the cohomology for G1 with coefficients in dual Weyl modules. Then, we give a necessary and sufficient condition for the isomorphisms Hn(G1,V)Hn(G,V) and Hn(g,V)Hn(G,V), and a necessary condition for the isomorphism Hn(g,V)Hn(G1,V), where V is a simple module with highest restricted weight. Using these results, we obtain all non-trivial isomorphisms between the cohomology of G, G1, and g with coefficients in the considered simple modules. Full article
Back to TopTop