Sign in to use this feature.

Years

Between: -

Subjects

remove_circle_outline
remove_circle_outline
remove_circle_outline
remove_circle_outline
remove_circle_outline
remove_circle_outline

Journals

Article Types

Countries / Regions

Search Results (36)

Search Parameters:
Keywords = Female Genital Mutilation (FGM)

Order results
Result details
Results per page
Select all
Export citation of selected articles as:
12 pages, 533 KB  
Systematic Review
Female Genital Mutilation in Sierra Leone: A Systematic Review of Cultural Practices, Health Impacts, and Pathways to Eradication
by Julia Argentina Rodríguez-Pastor and Antonio Jesús Molina-Fernández
Women 2025, 5(2), 18; https://doi.org/10.3390/women5020018 - 30 May 2025
Viewed by 3611
Abstract
Female Genital Mutilation (FGM) remains a deeply entrenched cultural practice affecting millions of women and girls worldwide, with particularly high prevalence in Sierra Leone. Despite international efforts to eradicate FGM due to its severe consequences, it persists as a social norm, often reinforced [...] Read more.
Female Genital Mutilation (FGM) remains a deeply entrenched cultural practice affecting millions of women and girls worldwide, with particularly high prevalence in Sierra Leone. Despite international efforts to eradicate FGM due to its severe consequences, it persists as a social norm, often reinforced by traditional institutions such as the Bondo society. This paper explores the historical, cultural, and social dimensions of FGM in Sierra Leone, examining the role of the Bondo society in perpetuating the practice and its implications for women’s rights and health. This study analyzes the existing literature to understand both the resilience of FGM as a practice and the challenges faced by intervention programs. A total of eight peer-reviewed studies were included in the final synthesis. The findings highlight the complex intersection of tradition, gender identity, and societal expectations, which sustain FGM despite legal and advocacy efforts. The paper further discusses potential strategies for mitigating FGM, including community-based awareness programs, legal reforms, and engagement with cultural gatekeepers to promote alternative rites of passage. The study concludes that while progress is being made, a culturally sensitive, grassroots approach is essential for the long-term eradication of FGM in Sierra Leone. Full article
Show Figures

Figure 1

14 pages, 1029 KB  
Systematic Review
Paraclitoral Epidermal Cysts: A Literature Systematic Review
by Clarissa Costa, Marta Barba, Alice Cola and Matteo Frigerio
Medicina 2025, 61(3), 520; https://doi.org/10.3390/medicina61030520 - 17 Mar 2025
Viewed by 4279
Abstract
Background and Objectives: Epidermal inclusion cysts are benign lesions with usually good prognosis. Clitoral epidermal cysts are very uncommon and can be spontaneous or caused by a prior surgical operation, usually female genital mutilation. Surgical removal of the cyst is the preferred [...] Read more.
Background and Objectives: Epidermal inclusion cysts are benign lesions with usually good prognosis. Clitoral epidermal cysts are very uncommon and can be spontaneous or caused by a prior surgical operation, usually female genital mutilation. Surgical removal of the cyst is the preferred treatment, and it is associated with excellent postoperative results. Materials and Methods: We present the medical history and surgical treatment of a 39-year-old woman with a symptomatic epidermal clitoral cyst. To discuss our case in the context of a synopsis of similar published cases, we conducted a systematic review of epidermal clitoral cysts to synthesize available knowledge on symptoms, diagnosis, etiology, and management about this rare condition. Results: A total of 46 studies, describing 162 patients, were identified. The presence of clitoral cysts should be suspected in patients complaining of vaginal bulging, sexual discomfort, and urinary symptoms. Clinical examination as well as other instrumental techniques represent a useful tool for diagnosis. The gold standard treatment is to perform surgical excision. Follow-up is needed to diagnose possible recurrences. Conclusions: We present the first systematic review focusing on epidermal clitoral cysts including both spontaneous and traumatic etiologies. It is important to include these lesions in the differential diagnosis of congenital clitoromegaly and clitoral mass, especially in the case of history of FGM, trauma, or surgery in the genital area. Full article
Show Figures

Figure 1

13 pages, 194 KB  
Article
Female Genital Mutilation (FGM/C) in Garissa and Isiolo, Kenya: Impacts on Education and Livelihoods in the Context of Cultural Norms and Food Insecurity
by Ottis Mubaiwa and Donah Chilo
Societies 2025, 15(2), 43; https://doi.org/10.3390/soc15020043 - 19 Feb 2025
Cited by 3 | Viewed by 2735
Abstract
This article explores the complex challenges of combating Female Genital Mutilation (FGM) in the counties of Garissa and Isiolo (Kenya) amidst environmental stressors, particularly drought and food insecurity. FGM persists as a deeply entrenched form of violence against women and girls (VAWG), profoundly [...] Read more.
This article explores the complex challenges of combating Female Genital Mutilation (FGM) in the counties of Garissa and Isiolo (Kenya) amidst environmental stressors, particularly drought and food insecurity. FGM persists as a deeply entrenched form of violence against women and girls (VAWG), profoundly rooted in social and traditional beliefs. This practice is often justified by cultural norms but leads to severe physical, psychological, and social harm, perpetuating cycles of gender inequality. Framing FGM as VAWG prioritises its recognition as a violation of human rights and underscores the need for comprehensive, culturally sensitive, and rights-based interventions. In addition, this study investigates how these challenges intersect and complicate efforts to address FGM, focusing on two counties in Kenya known for their adherence to this practice. The research methodology employs a longitudinal panel study design, drawing on in-depth narrative interviews with community narrators. A follow-up data collection was planned after six months to monitor changes over time. Furthermore, this research examines the impact of environmental stressors, such as drought and food insecurity, on educational access, resource availability, and community responses to interventions aimed at eradicating FGM. Findings reveal a complex interplay between cultural norms, economic hardships, and the perpetuation of FGM. Drought and food insecurity exacerbate vulnerabilities within communities, diverting attention and resources away from efforts to challenge ingrained practices like FGM. The article underscores the need for holistic approaches that integrate anti-FGM initiatives into broader resilience-building strategies. It emphasises community engagement, culturally sensitive education, and economic empowerment as pivotal elements in addressing FGM within the context of environmental stressors. Recommendations include mobile education units, community-based empowerment programs, and partnerships with local leaders to foster sustainable change. This case study contributes valuable insights into the challenges of combatting FGM in the face of environmental stressors, shedding light on the intricacies that hinder progress. It advocates for a comprehensive, context-specific approach that recognises and navigates the intersecting challenges posed by cultural norms and environmental crises in the fight against FGM. Full article
(This article belongs to the Special Issue Gender and Class: Exploring the Intersections of Power and Inequality)
13 pages, 246 KB  
Article
Effects of Drought on Child Protection in Hard-to-Reach Communities in Kenya
by Samuel Mburu, Irene Wali, Sarah Mukisa, Nancy Sironga and Hussein Adan
Soc. Sci. 2024, 13(7), 375; https://doi.org/10.3390/socsci13070375 - 19 Jul 2024
Cited by 2 | Viewed by 2628
Abstract
This study aimed to assess child protection-related needs among drought-affected populations in selected arid counties in Kenya. The specific objectives included: to understand the different underlying vulnerabilities that children and adolescents face during drought with a gender and disability lens; to assess the [...] Read more.
This study aimed to assess child protection-related needs among drought-affected populations in selected arid counties in Kenya. The specific objectives included: to understand the different underlying vulnerabilities that children and adolescents face during drought with a gender and disability lens; to assess the current or potential presence of emergency risks and their likelihood of occurrence, the capacities, and coping mechanisms of families; identify emerging areas of concern regarding children and adolescents, including those with disability; and informing the interventions through development partners and relevant government ministries. This study adopted a non-experimental design that utilized a mixed-methods approach. The quantitative data collection involved a survey of 1800 households. The information was collected about children (i.e., individuals aged 0–17), their caregivers, and their households. Two methods were used to collect qualitative data. These included Key Informant Interviews (KIIs) and Focus Group Discussions (FGDs). The study established that during drought and in the recovery period, there were increased cases of children dropping out of school mainly due to the migration of families. Child labour and household chores were also mentioned as other vulnerabilities that children and adolescents faced during drought. The findings also noted an inter-linkage between female genital mutilation (FGM), child marriage, and teenage pregnancy across all communities under study. The difficulties occasioned by drought forced many families in ASAL counties to prepare their girls for marriage through the practice of FGM. Despite the high occurrences of sexual violence against children, child marriage, teenage pregnancy, and neglect, the child protection services available for affected children were low. This study recommends strengthening child protection structures at the community level by building the recruitment and capacity of child protection volunteers; sensitizing both parents and children to knowing the proper reporting channels in case of child protection issues; and strengthening the engagement of grassroots organisations, community-based groups, and local-level networks to prevent and respond to child protection concerns. Full article
(This article belongs to the Collection Child Abuse and Child Protection)
15 pages, 325 KB  
Article
Understanding Professionals’ Knowledge Regarding Factors Influencing Changes in Attitudes toward Female Genital Mutilation/Cutting in Post-Migration Communities in Geneva, Switzerland
by Nasteha Salah, Nicola Cantoreggi, Patrick Petignat and Jasmine Abdulcadir
Int. J. Environ. Res. Public Health 2024, 21(6), 716; https://doi.org/10.3390/ijerph21060716 - 31 May 2024
Cited by 2 | Viewed by 1686
Abstract
Female genital mutilation or cutting (FGM/C) is a practice involving the partial or complete removal of the external female genitalia for non-medical reasons. To facilitate attitude changes, the ecological model of behavior change considers multiple levels of influence and their relationships with environmental [...] Read more.
Female genital mutilation or cutting (FGM/C) is a practice involving the partial or complete removal of the external female genitalia for non-medical reasons. To facilitate attitude changes, the ecological model of behavior change considers multiple levels of influence and their relationships with environmental and behavioral factors. The combined effects of migration and cultural adaptation result in a transformative process that leads to decreased support for FGM/C. This qualitative study aimed to gain knowledge from FGM/C field professionals regarding the factors promoting behavioral changes in migrant communities in Geneva, Switzerland. Between September and October 2023, we conducted semi-structured interviews using a reflexive thematic analysis. Our qualitative research is reported in accordance with the COREQ criteria. A data analysis was performed using NVivo 14 software. Four influential dimensions were identified, each with associated factors. The first dimension, the social level, includes (1) the impact and implementation of anti-FGM/C laws. The second dimension, the community level, encompasses four factors such as (2) religion, (3) a multifaceted examination of social aspects, (4) navigating language barriers and raising awareness, and (5) cultural adaptation processes. The third dimension, the interpersonal level, includes factors such as (6) changing views on the marriage prerequisite. Finally, the fourth dimension, the personal level, is associated with (7) women’s experiences and perspectives regarding FGM/C. The findings highlight seven environmental factors, both within and across dimensions of the ecological model, that interact with human behavior to enable an adaptive cultural process. This process influences changes in attitudes and behaviors regarding FGM/C. Full article
(This article belongs to the Section Global Health)
17 pages, 499 KB  
Systematic Review
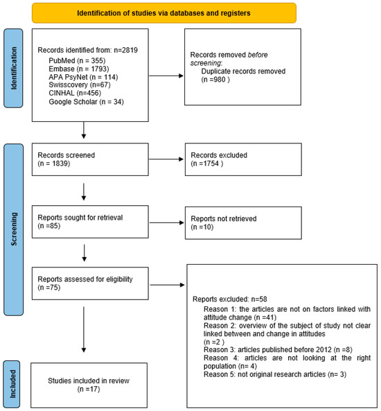
Investigating Factors Associated with Migration and Cultural Adaptation in Relation to Change in Attitudes and Behavior towards Female Genital Mutilation/Cutting (FGM/C) among Populations from FGM/C-Practicing Countries Living in Western Countries: A Scoping Review
by Nasteha Salah, Sara Cottler-Casanova, Patrick Petignat and Jasmine Abdulcadir
Int. J. Environ. Res. Public Health 2024, 21(5), 528; https://doi.org/10.3390/ijerph21050528 - 24 Apr 2024
Cited by 8 | Viewed by 3457
Abstract
A growing body of evidence indicates a significant decrease in support for female genital mutilation/cutting (FGM/C) within post-migration communities in Western countries. Addressing knowledge gaps and comprehending the factors associated with FGM/C discontinuation in these communities is crucial. The objective of this scoping [...] Read more.
A growing body of evidence indicates a significant decrease in support for female genital mutilation/cutting (FGM/C) within post-migration communities in Western countries. Addressing knowledge gaps and comprehending the factors associated with FGM/C discontinuation in these communities is crucial. The objective of this scoping review is to describe the effects of migration and cultural change on factors supporting FGM/C cessation in migrant communities. The review, from 2012 to 2023, included the following databases: Embase, PubMed, Google Scholar, Swisscovery, CINAHL, APA PsycInfo, and gray literature. Applying the PRISMA-ScR framework, we identified 2819 studies, with 17 meeting the inclusion criteria. The results revealed seven key factors shaping attitudes and behavior toward FGM/C abandonment: (1) legislation against FGM/C, (2) knowing that FGM/C is not a religious requirement, (3) enhancing education about the practice, (4) migration and cultural change, (5) awareness of the harmful effects of FGM/C, (6) a positive view of uncut girls, and (7) a sense of self-agency. These findings highlight factors on a social, community, interpersonal, and personal level that enhance the abandonment of the practice. Further research in the FGM/C field will gain more accuracy in understanding and accounting for these multilevel factors in post-migration settings, offering valuable insights for targeted interventions to promote the cessation of the practice. Full article
(This article belongs to the Section Global Health)
Show Figures

Figure 1

28 pages, 651 KB  
Article
Legal Interpretations of Trauma: The U.S. Circuit Court of Appeals and Gender-Based Asylum Claims
by Connie Oxford
Trauma Care 2024, 4(2), 120-147; https://doi.org/10.3390/traumacare4020011 - 16 Apr 2024
Viewed by 4910
Abstract
This article is based on exploratory research on how the U.S. Circuit Court of Appeals uses the language of trauma in gender-based asylum claims. Gender-based asylum claims include female genital mutilation (FGM), coercive population control (CPC) in the form of forced abortions and [...] Read more.
This article is based on exploratory research on how the U.S. Circuit Court of Appeals uses the language of trauma in gender-based asylum claims. Gender-based asylum claims include female genital mutilation (FGM), coercive population control (CPC) in the form of forced abortions and forced sterilizations, rape, forced marriage, and domestic violence. The Circuit Courts have reviewed appeals from petitioners with asylum claims since 1946, yet the language of trauma did not appear in the Court’s decisions until 1983. From 1983 to 2023, only 385, 3.85% or less, of the over 10,000 asylum cases before the Circuit Courts used the language of trauma in its legal interpretation of persecution. I have identified 101 gender-based asylum cases that were reviewed by one of the eleven U.S. Circuit Court of Appeals that apply the language of trauma in its legal interpretation of persecution for this analysis. The research question guiding this study is: how does the U.S. Circuit Court of Appeals use the language of trauma when reviewing gender-based asylum cases? This study found that U.S. Circuit Courts use the language of trauma in four ways: precedent cases, policies and reports, physical trauma, and psychological trauma when reviewing gender-based asylum claims. This study provides the first data set of gender-based asylum claims under review at the U.S. Circuit Court of Appeals that use the language of trauma. Full article
Show Figures

Figure 1

13 pages, 690 KB  
Article
Legal Awareness and Practices of Female Genital Mutilation/Cutting (FGM/C) among United Arab Emirates Medical Practitioners
by Shamsa Al Awar, Kornelia Zareba, Gehan Sayed Sallam, Nawal Osman, Teodora Ucenic, Howaida Khair, Suzan Al Shdefat, Hadya Abdel Fattah and Sara Maki
Int. J. Environ. Res. Public Health 2023, 20(6), 4710; https://doi.org/10.3390/ijerph20064710 - 7 Mar 2023
Cited by 2 | Viewed by 3821
Abstract
Female genital mutilation/cutting (FGM/C), due to its regional occurrence, is a marginalized issue in the international arena. The aim of the study was to verify reasons for performing a procedure prohibited by international and domestic law. A cross-sectional study was conducted among nurses [...] Read more.
Female genital mutilation/cutting (FGM/C), due to its regional occurrence, is a marginalized issue in the international arena. The aim of the study was to verify reasons for performing a procedure prohibited by international and domestic law. A cross-sectional study was conducted among nurses and doctors practicing in the UAE. The study was conducted from the 1 of January 2020 to the 31 of December 2021. The total number of recruited individuals who agreed to participate was 120, with the rate of return being 82%. About half of the participants (n = 59, 49.2%) have seen FGM/C patients in their UAE practice. Regarding medical staff, the total knowledge score concerning possible complications of the performed procedure was assessed at 64%, i.e., at a moderate level. None of our study participants had previously performed any type of FGM/C. However, 6.7% were willing to do it upon a mother’s or guardian’s request. About 83% of study participants stated that FGM/C should be halted internationally. Only 26.7% of the medical practitioners were aware of UAE law concerning FGM/C, while 50% had no knowledge concerning this issue. The present study reveals that cultural conditions take priority over medical knowledge, making medical practitioners inclined to accept the circumcision of girls and women. The crucial goals of future activities should focus on sensitizing society and the medical community, the need to create clear laws penalizing the practice, and the legal obligation to report the circumcision of a girl or woman. Full article
(This article belongs to the Special Issue Women’s Health Care: Challenges and Opportunities)
Show Figures

Figure 1

12 pages, 1873 KB  
Article
Postoperative Course of Reconstructive Procedures in FGM Type III-Proposal for a Modified Classification of Type III Female Genital Mutilation
by Uwe von Fritschen, Cornelia Strunz, Roland Scherer, Marisa von Fritschen and Alba Fricke
Int. J. Environ. Res. Public Health 2023, 20(5), 4439; https://doi.org/10.3390/ijerph20054439 - 2 Mar 2023
Cited by 2 | Viewed by 6357
Abstract
Background: Reconstruction after female genital mutilation (FGM) has developed from being merely a therapy for complications to addressing body perception and sexuality. However, evidence regarding a direct correlation between FGM and sexual dysfunction is scarce. The present WHO classification provides an imprecise grading [...] Read more.
Background: Reconstruction after female genital mutilation (FGM) has developed from being merely a therapy for complications to addressing body perception and sexuality. However, evidence regarding a direct correlation between FGM and sexual dysfunction is scarce. The present WHO classification provides an imprecise grading system, which makes it difficult to compare present studies with treatment outcomes. The aim of this study was to develop a new grading system based on a retrospective study of Type III FGM, evaluating operative time and postoperative results. Methods: The extent of clitoral involvement, operative time of prepuce reconstruction and lack of prepuce reconstruction, and postoperative complications of 85 patients with FGM-Type III were retrospectively analyzed at the Desert Flower Center (Waldfriede Hospital, Berlin). Results: Even though universally graded by the WHO, large differences in the degree of damage were found after deinfibulation. In only 42% of patients, a partly resected clitoral glans was found after deinfibulation. There was no significant difference in operative time when comparing patients who required prepuce reconstruction and patients who did not (p = 0.1693). However, we found significantly longer operative time in patients who presented with a completely or partly resected clitoral glans when compared to patients with an intact clitoral glans underneath the infibulating scar (p < 0.0001). Two of the 34 patients (5.9%) who had a partly resected clitoris required revision surgery, while none of the patients in whom an intact clitoris was discovered under the infibulation required revision. However, these differences in the complication rates between patients with and without a partly resected clitoris were not statistically significant (p = 0.1571). Conclusions: A significantly longer operative time was found in patients who presented with a completely or partly resected clitoral glans when compared with patients with an intact clitoral glans underneath the infibulating scar. Furthermore, we found a higher, though not significantly significant, complication rate in patients with a mutilated clitoral glans. In contrast to Type I and II mutilations, the presence of an intact or mutilated clitoral glans underneath the infibulation scar is not addressed in the present WHO classification. We have developed a more precise classification, which may serve as a useful tool when conducting and comparing research studies. Full article
(This article belongs to the Special Issue Focus on Female Genital Mutilation and Women’s Reproductive Health)
Show Figures

Figure 1

15 pages, 274 KB  
Article
Experiences of Primary Healthcare Workers in Australia towards Women and Girls Living with Female Genital Mutilation/Cutting (FGM/C): A Qualitative Study
by Olayide Ogunsiji, Anita Eseosa Ogbeide and Jane Ussher
Healthcare 2023, 11(5), 702; https://doi.org/10.3390/healthcare11050702 - 27 Feb 2023
Cited by 7 | Viewed by 3876
Abstract
Female genital mutilation/cutting (FGM/C) is a harmful cultural practice with significant health consequences for affected women and girls. Due to migration and human mobility, an increasing number of women with FGM/C are presenting to healthcare facilities of western countries (including Australia) where the [...] Read more.
Female genital mutilation/cutting (FGM/C) is a harmful cultural practice with significant health consequences for affected women and girls. Due to migration and human mobility, an increasing number of women with FGM/C are presenting to healthcare facilities of western countries (including Australia) where the practice is non-prevalent. Despite this increase in presentation, the experiences of primary healthcare providers in Australia engaging and caring for women/girls with FGM/C are yet to be explored. The aim of this research was to report on the Australian primary healthcare providers’ experiences of caring for women living with FGM/C. A qualitative interpretative phenomenological approach was utilised and convenience sampling was used to recruit 19 participants. Australian primary healthcare providers were engaged in face-to-face or telephone interviews, which were transcribed verbatim and thematically analysed. Three major themes emerged, which were: exploring knowledge of FGM/C and training needs, understanding participants’ experience of caring for women living with FGM/C, and mapping the best practice in working with women. The study shows that primary healthcare professionals had basic knowledge of FGM/C with little or no experience with the management, support, and care of affected women in Australia. This impacted their attitude and confidence to promote, protect, and restore the target population’s overall FGM/C-related health and wellbeing issues. Hence, this study highlights the importance of primary healthcare practitioners being skilled and well-equipped with information and knowledge to care for girls and women living with FGM/C in Australia. Full article
17 pages, 301 KB  
Article
An Insider–Outsider Approach to Understanding the Prevalence of Female Genital Mutilation in Pusiga in the Upper East Region of Ghana
by Benedict Ekow Ocran and Godwin Agot Atiigah
Soc. Sci. 2022, 11(11), 526; https://doi.org/10.3390/socsci11110526 - 16 Nov 2022
Cited by 4 | Viewed by 5594
Abstract
Female Genital Mutilation/Cutting (FGM/C) as a form of gender-related violence continues to thrive within communities and across borders, with (under)reported prevalence among communities in the diaspora. Reports of FGM/C among communities in the diaspora speak to the socio-cultural and religious factors which promote [...] Read more.
Female Genital Mutilation/Cutting (FGM/C) as a form of gender-related violence continues to thrive within communities and across borders, with (under)reported prevalence among communities in the diaspora. Reports of FGM/C among communities in the diaspora speak to the socio-cultural and religious factors which promote its prevalence. Successful interventions offer alternatives such as rites of passage to the socio-cultural-religious prospects offered by FGM/C to practicing communities. This suggests the need for a critical approach to research methods that engage intimately with the worldview of communities practicing FGM/C while inferring implications for designing health-promotion interventions in specific contexts. This paper draws on the insider and outsider approach to positionality to assess the factors accounting for the prevalence of FGM/C in Pusiga (3.8% nationally and 27.8% in Pusiga) in the Upper East Region of Ghana while inferring lessons for designing health promotion interventions. Applying a phenomenological qualitative design guided by focus groups and interviews, we draw on the insider approach to present a contextually and culturally sensitive report of five survivors, five non-survivors, and ten religious leaders on factors that account for the prevalence of FGM/C. Next, we assume an outsider approach to infer implications based on participants’ perspectives for designing health promotion interventions to curb FGM/C. The findings suggest shifting from socio-cultural-religious factors to economic undertones underpinning FGM/C. Inter-generational differences also vary attitudes toward FGM/C. We recommend a systematic approach to health promotion that addresses FGM/C’s deep socio-cultural and economic, religious underpinnings of FGM/C in Pusiga. The insider–outsider continuum in feminist research provides a powerful approach to producing knowledge on contextual factors that account for FGM/C in particular settings. Full article
(This article belongs to the Special Issue Gender-Related Violence: Social Sciences’ Research & Methods)
11 pages, 246 KB  
Article
Maternal Risk Factors Associated with Preterm Births among Pregnant Women in Mogadishu, Somalia
by Abdifetah Ibrahim Omar, Amina Dahir Mohamed, Mohamed Garad Farah, Ismail Abukar Mahad, Suban Abdullahi Mohamed, Abyan Hassan Dimbil, Nadifo Salad Mohamud, Fowziya Ahmed Abshir and Umayma Abdinasir Abdulkadir
Children 2022, 9(10), 1518; https://doi.org/10.3390/children9101518 - 4 Oct 2022
Cited by 7 | Viewed by 7435
Abstract
Background: Premature birth impacts millions of newborns annually. Sixty percent of the world’s preterm births occur in Sub-Saharan Africa and South Asia. Somalia’s premature birth rates and maternal risk factors are poorly studied; hence, this study aims to identify maternal risk factors related [...] Read more.
Background: Premature birth impacts millions of newborns annually. Sixty percent of the world’s preterm births occur in Sub-Saharan Africa and South Asia. Somalia’s premature birth rates and maternal risk factors are poorly studied; hence, this study aims to identify maternal risk factors related to premature births in Mogadishu, Somalia. Methods: This unmatched case-control study was conducted at four maternity hospitals in Mogadishu, Somalia. The cases were newborns with gestational ages of less than 37 weeks; controls were newborns with gestational ages of 37 to 42 weeks. All were live singletons. Cross-tabulation and binary logistic regression were used to analyze the data; a p-value of 0.05 was deemed statistically significant. Result: Of the total of 499 newborns, 70 were cases, and 429 were controls. Adequate prenatal care, maternal urine analysis, tetanus toxoid (TT) vaccination, hemoglobin (Hb) measurement, ultrasound monitoring, intake of iron + folic acid (IFA) supplement, blood pressure (BP) measurement during the current pregnancy, as well as partograph usage during labor all significantly decreased risk of having premature births. A prior history of preterm delivery and preeclampsia, obstetric complications, and female genital mutilation (FGM) significantly increased the risk of preterm births. Conclusion: The utilization of antenatal care services, use of a partograph, obstetric complications, and prior history of premature birth and preeclampsia had a substantial effect on preterm birth rates. This study identifies female genital mutilation (FGM) as a previously unidentified risk factor for preterm birth that needs additional investigation. Full article
Show Figures

Graphical abstract

13 pages, 372 KB  
Article
Acceptability of a Smartphone Application to Enhance Healthcare to Female Genital Mutilation Survivors in Liberia: A Qualitative Study
by Kim Nordmann, Guillermo Z. Martínez-Pérez, Mandella King, Thomas Küpper and Ana Belén Subirón-Valera
Int. J. Environ. Res. Public Health 2022, 19(17), 10855; https://doi.org/10.3390/ijerph191710855 - 31 Aug 2022
Cited by 1 | Viewed by 2167
Abstract
In Liberia, female genital mutilation/cutting (FGM/C) is a legally allowed initiation ritual in the secret Sande society. Due to the secrecy, Liberian healthcare providers receive little education on FGM/C and its health consequences. As mobile learning approaches proved to efficiently increase providers’ knowledge [...] Read more.
In Liberia, female genital mutilation/cutting (FGM/C) is a legally allowed initiation ritual in the secret Sande society. Due to the secrecy, Liberian healthcare providers receive little education on FGM/C and its health consequences. As mobile learning approaches proved to efficiently increase providers’ knowledge and skills, a mobile application (‘app’) was designed to support self-learning, decision-making, and the follow-up of FGM/C survivors’ health. The ‘app’ was introduced in a capacity-building project in 2019 and evaluated through this qualitative study to assess healthcare provider’s needs and acceptance. We conducted 22 semi-structured interviews and eight focus group discussions with 42 adult healthcare providers in three Liberian counties. A thematic approach grounded in descriptive phenomenology guided data analysis and led to three main themes: the ‘app’, mobile learning and health education, and personal impression. Healthcare providers judge the ‘app’ useful to broaden their knowledge and skills, which might lead to better FGM/C detection and management. The ‘app’ might further facilitate patient and community education about the negative health consequences of FMG/C, possibly contributing to a reduction of FGM/C prevalence. Full article
(This article belongs to the Special Issue Using Digital Health Technologies to Improve Healthcare Quality)
14 pages, 282 KB  
Article
Female Genital Mutilation/Cutting and Breastfeeding Outcomes: The Modifying Effects of Healthcare Access and Women’s Attitudes to FGM/C
by Chinedu U. Obioha, Ogochukwu A. Obioha and Maria Pilar Martin
Women 2022, 2(3), 204-217; https://doi.org/10.3390/women2030021 - 31 Jul 2022
Cited by 1 | Viewed by 3735
Abstract
The prevalence of female genital mutilation/cutting (FGM/C) in Nigeria is on the rise, although the practice has no known medical/health benefits. This study aims to assess FGM/C’s effect on breastfeeding outcomes and to identify the role of women’s attitudes and their access to [...] Read more.
The prevalence of female genital mutilation/cutting (FGM/C) in Nigeria is on the rise, although the practice has no known medical/health benefits. This study aims to assess FGM/C’s effect on breastfeeding outcomes and to identify the role of women’s attitudes and their access to healthcare services on these relationships. Associations between FGM/C and breastfeeding outcomes were measured using multi-logistic regression. About 32% of women underwent FGM/C, and 23% believed FGM/C should continue. Women exposed to FGM/C were less likely to initiate early breastfeeding (OR = 0.56, [95% CI = 0.47–0.66]) or to breastfeed exclusively (0.64, [0.57–0.73]). FGM/C acceptance reduced odds of early initiation of breastfeeding (0.57, [0.45–0.73]) (p for interaction < 0.001) and exclusive breastfeeding (0.65, [0.59–0.78]) (p for interaction < 0.001). Four or more antenatal care visits while pregnant modified the associations between FGM/C and early initiation (1.55, [1.26–1.90) (p for interaction < 0.001) or exclusive breastfeeding (2.01, [1.73–2.330]) (p for interaction < 0.001), respectively. FGM/C is associated with breastfeeding outcomes, but this association may be improved with healthcare access and attitudinal changes towards FGM/C. Targeted public health education interventions raising awareness about FGM/C and breastfeeding and policy changes increasing access to prenatal healthcare services in underserved areas are recommended. Full article
12 pages, 366 KB  
Article
Management of Female Genital Mutilation/Cutting-Related Obstetric Complications: A Training Evaluation
by Kim Nordmann, Ana Belén Subirón-Valera, Mandella King, Thomas Küpper and Guillermo Z. Martínez-Pérez
Int. J. Environ. Res. Public Health 2022, 19(15), 9209; https://doi.org/10.3390/ijerph19159209 - 28 Jul 2022
Cited by 9 | Viewed by 3072
Abstract
Although female genital mutilation/cutting (FGM/C) is a prevalent practice in Liberia, healthcare workers lack the capacity to provide adequate care for FGM/C survivors. Therefore, Liberian nurses, physician assistants, midwives and trained traditional midwives were trained in sexual, obstetric and psychosocial care for FGM/C [...] Read more.
Although female genital mutilation/cutting (FGM/C) is a prevalent practice in Liberia, healthcare workers lack the capacity to provide adequate care for FGM/C survivors. Therefore, Liberian nurses, physician assistants, midwives and trained traditional midwives were trained in sexual, obstetric and psychosocial care for FGM/C survivors in 2019. Through questionnaires, we assessed knowledge acquisition, trainee attitudes towards FGM/C care and acceptability to implement WHO-endorsed recommendations. The questionnaires were analyzed using descriptive statistics for quantitative data and an inductive approach for qualitative data. A total of 99 female and 34 male trainees participated. Most trainees perceived FGM/C as harmful to women’s health, as a violation of women’s rights and showed a willingness to change their clinical practice. While 82.8% (n = 74/90) perceived their role in advocating against FGM/C, 10.0% (n = 9/90) felt that they should train traditional circumcisers to practice FGM/C safely. The pre-training FGM/C knowledge test demonstrated higher scores among physician assistants (13.86 ± 3.02 points) than among nurses (12.11 ± 3.12 points) and midwives (11.75 ± 2.27 points). After the training, the mean test score increased by 1.69 points, from 12.18 (±2.91) points to 13.87 (±2.65) points. The trainings successfully increased theoretical knowledge of FGM/C-caused health effects and healthcare workers’ demonstrated willingness to implement evidence-based guidelines when providing care to FMG/C survivors. Full article
(This article belongs to the Special Issue Women's Gynecological and Reproductive Health—Issues and Challenges)
Back to TopTop