Sign in to use this feature.

Years

Between: -

Subjects

remove_circle_outline
remove_circle_outline
remove_circle_outline
remove_circle_outline

Journals

Article Types

Countries / Regions

Search Results (4)

Search Parameters:
Keywords = DBD-ACP

Order results
Result details
Results per page
Select all
Export citation of selected articles as:
13 pages, 1849 KB  
Article
The Effect of Atmospheric Dielectric Barrier Discharge Cold Plasma Treatment on the Nutritional and Physicochemical Characteristics of Various Legumes
by Yingmei Wu, Xuewei Feng, Yingying Zhu, Shiyu Li, Yichen Hu, Yang Yao and Nong Zhou
Foods 2023, 12(17), 3260; https://doi.org/10.3390/foods12173260 - 30 Aug 2023
Cited by 9 | Viewed by 3422
Abstract
High activity of lipoxygenase (LOX) has been identified as a primary cause of oxidative rancidity in legumes. In this study, the application of dielectric barrier discharge atmospheric cold plasma (DBD-ACP) (5 W, 10 min) resulted in an obvious decrease in LOX activity in [...] Read more.
High activity of lipoxygenase (LOX) has been identified as a primary cause of oxidative rancidity in legumes. In this study, the application of dielectric barrier discharge atmospheric cold plasma (DBD-ACP) (5 W, 10 min) resulted in an obvious decrease in LOX activity in mung bean (MB), kidney bean (KB), and adzuki bean (AB) flours by 36.96%, 32.49%, and 28.57%, respectively. Moreover, DBD-ACP induced significant increases (p < 0.05) in content of soluble dietary fiber, saturated fatty acids, and methionine. The starch digestibility of legumes was changed, evidenced by increased (p < 0.05) slowly digestible starch and rapidly digestible starch, while resistant starch decreased. Furthermore, DBD-ACP treatment significantly affected (p < 0.05) the hydration and thermal characteristics of legume flours, evidenced by the increased water absorption index (WAI) and gelatinization temperature, and the decreased swelling power (SP) and gelatinization enthalpy (ΔH). Microscopic observations confirmed that DBD-ACP treatment caused particle aggregation. Full article
(This article belongs to the Section Food Physics and (Bio)Chemistry)
Show Figures

Figure 1

12 pages, 2802 KB  
Article
The Effect of Dielectric Barrier Discharge Plasma Gas and Plasma-Activated Water on the Physicochemical Changes in Button Mushrooms (Agaricus bisporus)
by Yan Zheng, Yifan Zhu, Yanhong Zheng, Jiajie Hu, Jing Chen and Shanggui Deng
Foods 2022, 11(21), 3504; https://doi.org/10.3390/foods11213504 - 3 Nov 2022
Cited by 13 | Viewed by 2957
Abstract
Button mushrooms (Agaricus bisporus) are highly popular worldwide due to their rich nutritional value and health benefits. However, the rapid water loss rate and browning restrict their economic value. The atmospheric cold plasma (ACP) generated by the plasma equipment used by [...] Read more.
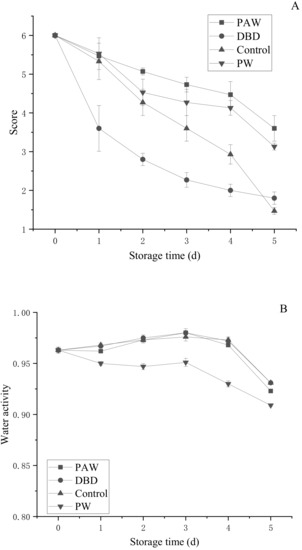
Button mushrooms (Agaricus bisporus) are highly popular worldwide due to their rich nutritional value and health benefits. However, the rapid water loss rate and browning restrict their economic value. The atmospheric cold plasma (ACP) generated by the plasma equipment used by dielectric barrier discharge preservation technology is widely used for food preservation since it is cost-efficient and environmentally friendly, generating no chemical residues. This study established four treatment groups, namely the direct ACP treatment group (DBD), plasma-activated water immersion group (PAW), pure water immersion group (PW), and control group (control), to explore the effect that ACP preservation technology has on button mushrooms. The results indicated that ACP treatment decreased the pH of pure water from 5.90 ± 0.03 to 5.16 ± 0.03, while significantly increasing the temperature (p < 0.05). During the storage period, the browning index (BI) and E value were the lowest in the PAW group, which exhibited the best hardness and sensory properties. Neither the pH nor water activity changed significantly during the storage period in any of the groups. The polyphenol oxidase (PPO) activity in the button mushroom decreased significantly compared with the control after plasma-activated water treatment. In summary, plasma-activated water significantly reduced the BI and E value of button mushrooms, inhibited PPO activity, and yielded the most stable sensory properties for the optimal preservation of button mushrooms. Full article
(This article belongs to the Section Food Engineering and Technology)
Show Figures

Figure 1

20 pages, 1000 KB  
Review
Dielectric Barrier Discharge for Solid Food Applications
by María Fernanda Figueroa-Pinochet, María José Castro-Alija, Brijesh Kumar Tiwari, José María Jiménez, María López-Vallecillo, María José Cao and Irene Albertos
Nutrients 2022, 14(21), 4653; https://doi.org/10.3390/nu14214653 - 3 Nov 2022
Cited by 12 | Viewed by 3601
Abstract
Atmospheric cold plasma (ACP) is a non-thermal technology whose ability to inactivate pathogenic microorganisms gives it great potential for use in the food industry as an alternative to traditional thermal methods. Multiple investigations have been reviewed in which the cold plasma is generated [...] Read more.
Atmospheric cold plasma (ACP) is a non-thermal technology whose ability to inactivate pathogenic microorganisms gives it great potential for use in the food industry as an alternative to traditional thermal methods. Multiple investigations have been reviewed in which the cold plasma is generated through a dielectric barrier discharge (DBD) type reactor, using the atmosphere of the food packaging as the working gas. The results are grouped into meats, fruits and vegetables, dairy and lastly cereals. Microbial decontamination is due to the action of the reactive species generated, which diffuse into the treated food. In some cases, the treatment has a negative impact on the quality. Before industrializing its use, alterations in colour, flavour and lipid oxidation, among others, must be reduced. Furthermore, scaling discharges up to larger regions without compromising the plasma homogeneity is still a significant difficulty. The combination of DBD with other non-thermal technologies (ultrasound, chemical compounds, magnetic field) improved both the safety and the quality of food products. DBD efficacy depends on both technological parameters (input power, gas composition and treatment time) and food intrinsic properties (surface roughness, moisture content and chemistry). Full article
(This article belongs to the Section Nutrition and Public Health)
Show Figures

Figure 1

15 pages, 3326 KB  
Article
Surface Modification via Dielectric Barrier Discharge Atmospheric Cold Plasma (DBD–ACP): Improved Functional Properties of Soy Protein Film
by Zhibing Li, Shanggui Deng and Jing Chen
Foods 2022, 11(9), 1196; https://doi.org/10.3390/foods11091196 - 20 Apr 2022
Cited by 27 | Viewed by 3727
Abstract
Atmospheric cold plasma (ACP), a novel technology, has been widely adopted as an efficient approach in surface modification of the film. The effect of ACP treatment on the physicochemical and structural properties of soy protein film were investigated. As a result, the optimal [...] Read more.
Atmospheric cold plasma (ACP), a novel technology, has been widely adopted as an efficient approach in surface modification of the film. The effect of ACP treatment on the physicochemical and structural properties of soy protein film were investigated. As a result, the optimal conditions for the preparation of the film were determined for soy protein (10%), glycerol (2.8%), ACP treatment at 30 kV for 3 min, on the basis of elongation at the break, and water vapor permeability. Under the optimal conditions, the ACP–treated films exhibited enhanced polarity according to the increased values of solubility, swelling index, and moisture content, compared with the untreated counterpart. An increase in the hydrophilicity is also confirmed by the water contact angle analysis, which decreased from 87.9° to 77.2° after ACP pretreatment. Thermostability was also improved by ACP exposure in terms of DSC analysis. SEM images confirmed the tiny pores and cracks on the surface of film could be lessened by ACP pretreatment. Variations in the Fourier transform infrared spectroscopy indicated that some hydrophilic groups were formed by ACP pretreatment. Atomic force microscopy data revealed that the roughness of soy protein film which was pretreated by ACP was lower than that of the control group, with an Rmax value of 88.4 nm and 162.7 nm for the ACP- treated and untreated samples, respectively. The soy protein film was characterized structurally by FT–IR and DSC, and morphological characterization was done by SEM and AFM. The soy protein film modified by ACP was more stable than the control group. Hence, the great potential in improving the properties of the film enables ACP treatment to be a feasible and promising alternative to other modification methods. Full article
(This article belongs to the Special Issue Innovative Research on Food Hydrocolloids Applied for Packaging)
Show Figures

Graphical abstract

Back to TopTop