Sign in to use this feature.

Years

Between: -

Subjects

remove_circle_outline
remove_circle_outline
remove_circle_outline
remove_circle_outline
remove_circle_outline

Journals

Article Types

Countries / Regions

Search Results (9)

Search Parameters:
Keywords = D-shaped toolpath

Order results
Result details
Results per page
Select all
Export citation of selected articles as:
12 pages, 5326 KB  
Article
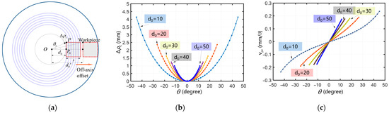
Optimal D-Shaped Toolpath Design for Minimizing X-Axis Servo Following Error in Turning the Off-Axis Optical Surfaces
by Baohua Chen, Quanying Wu, Yunhai Tang, Fei Wang, Junliu Fan, Xiaoyi Chen, Haomo Yu and Yi Sun
Materials 2025, 18(18), 4343; https://doi.org/10.3390/ma18184343 - 17 Sep 2025
Viewed by 237
Abstract
In the slow tool servo (STS) turning technology for optical lenses, the D-shaped toolpath can improve the quality of the optical surfaces of off-axis aspheric and cylindrical microlens arrays. However, the traditional D-shaped toolpath has the problem of excessive servo following error in [...] Read more.
In the slow tool servo (STS) turning technology for optical lenses, the D-shaped toolpath can improve the quality of the optical surfaces of off-axis aspheric and cylindrical microlens arrays. However, the traditional D-shaped toolpath has the problem of excessive servo following error in the X-axis. To address this issue, the projection of the D-shaped toolpath in the XZ plane is divided into a cutting zone and a transition zone. In the transition zone, an equation system based on continuity constraints (surface height, feed-rate, acceleration) is established. By solving this system of equations, a toolpath can be obtained along which the feed-rate of the X-axis varies smoothly. An example shows that the acceleration of the X-axis of the lathe is reduced by 84% compared to the traditional D-shaped toolpath. In the XZC interpolation mode, the spindle velocity of the C-axis changes smoothly. An off-axis spherical surface and an integral mirror have been machined using the optimized D-shaped toolpath. The X-axis servo following error of the lathe during processing is within 7 nm, and the surface shape accuracy reaches 0.361λ at 632.8 nm. This method enables high-precision processing of off-axis curved surfaces and cylindrical arrays. Full article
Show Figures

Figure 1

24 pages, 11545 KB  
Article
Workpiece Coordinate System Measurement for a Robotic Timber Joinery Workflow
by Francisco Quitral-Zapata, Rodrigo García-Alvarado, Alejandro Martínez-Rocamora and Luis Felipe González-Böhme
Buildings 2025, 15(15), 2712; https://doi.org/10.3390/buildings15152712 - 31 Jul 2025
Viewed by 421
Abstract
Robotic timber joinery demands integrated, adaptive methods to compensate for the inherent dimensional variability of wood. We introduce a seamless robotic workflow to enhance the measurement accuracy of the Workpiece Coordinate System (WCS). The approach leverages a Zivid 3D camera mounted in an [...] Read more.
Robotic timber joinery demands integrated, adaptive methods to compensate for the inherent dimensional variability of wood. We introduce a seamless robotic workflow to enhance the measurement accuracy of the Workpiece Coordinate System (WCS). The approach leverages a Zivid 3D camera mounted in an eye-in-hand configuration on a KUKA industrial robot. The proposed algorithm applies a geometric method that strategically crops the point cloud and fits planes to the workpiece surfaces to define a reference frame, calculate the corresponding transformation between coordinate systems, and measure the cross-section of the workpiece. This enables reliable toolpath generation by dynamically updating WCS and effectively accommodating real-world geometric deviations in timber components. The workflow includes camera-to-robot calibration, point cloud acquisition, robust detection of workpiece features, and precise alignment of the WCS. Experimental validation confirms that the proposed method is efficient and improves milling accuracy. By dynamically identifying the workpiece geometry, the system successfully addresses challenges posed by irregular timber shapes, resulting in higher accuracy for timber joints. This method contributes to advanced manufacturing strategies in robotic timber construction and supports the processing of diverse workpiece geometries, with potential applications in civil engineering for building construction through the precise fabrication of structural timber components. Full article
(This article belongs to the Special Issue Architectural Design Supported by Information Technology: 2nd Edition)
Show Figures

Figure 1

20 pages, 3707 KB  
Article
Computed Tomography-Driven Design and Fused Filament Fabrication of Graded Density Bone Scaffolds
by Luca Grigolato and Gianpaolo Savio
Appl. Sci. 2025, 15(12), 6434; https://doi.org/10.3390/app15126434 - 7 Jun 2025
Viewed by 812
Abstract
The design of scaffolds and prostheses benefits from the opportunities provided by additive manufacturing technologies. Specifically, scaffold design using cellular structures based on lattices has become a significant focus. These lattice-based scaffolds exhibit intricate and complex shapes with controlled macro-porosity. In this study, [...] Read more.
The design of scaffolds and prostheses benefits from the opportunities provided by additive manufacturing technologies. Specifically, scaffold design using cellular structures based on lattices has become a significant focus. These lattice-based scaffolds exhibit intricate and complex shapes with controlled macro-porosity. In this study, a method is presented that enables the modeling of a graded-density lattice structure for material extrusion additive manufacturing, without relying on a geometric lattice model. The methodology utilizes computed tomography (CT) scans as inputs to obtaining a 3D scalar field and a surface model. The lattice structure is designed and generated within the computer-aided manufacturing (CAM) software, ensuring consistent machine toolpaths. The 3D scalar field, representing a relative density map derived from CT Hounsfield units, drives the variation of the extrusion parameters generated by the CAM, achieving a graded-density lattice. To demonstrate the effectiveness of the method, a section of a human femur bone with a lattice with a triply periodic minimal surface (TPMS) gyroid pattern was designed and 3D-printed, replicating the relative density of the target tissue. Full article
(This article belongs to the Special Issue Smart Manufacturing and Materials Ⅱ)
Show Figures

Figure 1

18 pages, 3031 KB  
Article
Development of a Generative Design System for 3D-Printed Houses in Chile
by Rodrigo Garcia-Alvarado, Pedro Soza-Ruiz, Eduardo Valenzuela-Astudillo, Daniela Martuffi-Lazo and Jose Pinto Duarte
Buildings 2024, 14(9), 2939; https://doi.org/10.3390/buildings14092939 - 17 Sep 2024
Cited by 3 | Viewed by 2871
Abstract
Three dimensional-printing construction is an emerging technology with significant potential for faster building execution and more precise, controllable designs. This technology utilizes material deposition managed by computer data, enabling additive construction of shapes. This research aims to develop a generative design system for [...] Read more.
Three dimensional-printing construction is an emerging technology with significant potential for faster building execution and more precise, controllable designs. This technology utilizes material deposition managed by computer data, enabling additive construction of shapes. This research aims to develop a generative design system for 3D-printed houses in Chile, addressing the country’s growing demand for housing across diverse geographical locations and social groups, also present in other parts of the world. The development process involves synthesizing the external form features of existing Chilean houses and analyzing prototypes of 3D-printed houses worldwide to establish a set of geometric characteristics suitable for 3D-printed homes in Chile. A procedure is then outlined to create design alternatives using parametric programming on a BIM platform, followed by toolpath development for printing the building components. Various models are generated to demonstrate housing shapes’ versatility and adaptability to Chilean contexts and 3D-printed construction methods. Finally, a detailed design is created and printed to construct a housing prototype, testing the entire digital workflow. This experience highlights the variety of 3D-printed housing shapes that can be developed while assessing their feasibility for the Chilean context. This research complements the flexible design capabilities of 3D printing construction, resulting in buildings better suited to various locations and occupancy needs. Full article
(This article belongs to the Special Issue Architectural Design Supported by Information Technology: 2nd Edition)
Show Figures

Figure 1

19 pages, 17042 KB  
Article
On the Processability and Microstructural Evolution of CuCrZr in Multilayer Laser-Directed Energy Deposition Additive Manufacturing via Statistical and Experimental Methods
by Ali Zardoshtian, Reza Esmaeilizadeh, Mazyar Ansari, Mohsen K. Keshavarz, Hamid Jahed and Ehsan Toyserkani
J. Manuf. Mater. Process. 2023, 7(4), 151; https://doi.org/10.3390/jmmp7040151 - 18 Aug 2023
Cited by 3 | Viewed by 3693
Abstract
Laser-directed energy deposition (LDED) is a promising technology for coating, repairing, and building near-net-shape 3D structures. However, the processing of copper alloys, specifically, has presented a significant challenge due to their low laser absorptivity at the 1060 nm laser wavelength and high thermal [...] Read more.
Laser-directed energy deposition (LDED) is a promising technology for coating, repairing, and building near-net-shape 3D structures. However, the processing of copper alloys, specifically, has presented a significant challenge due to their low laser absorptivity at the 1060 nm laser wavelength and high thermal conductivity. This study undertook a methodical examination by employing a 2 kW disk laser, operating at a wavelength of 1064 nm, and a coaxial nozzle head to comprehensively examine the processability of the highly conductive CuCrZr alloy for expanding the range of materials that can be successfully processed using LDED. The investigation focuses not only on optimizing the input process parameters that are the laser power, scanning speed, powder feed rate, and overlap ratio, but also on planning the toolpath trajectory, as these factors were found to exert a substantial influence on processability, geometrical accuracy, and the occurrence of defects such as lack of fusion. The optimal toolpath trajectory discovered involved implementing a zigzag strategy combined with a 90° rotation of the scanning direction. Additionally, a start point rotation was considered between each layer to even out the deposition of the layers. Moreover, a contour with a radial path at the corners was introduced to enhance the overall trajectory. Based on the hierarchal experimental study, the appropriate ranges for the key process parameters that leads to 99.99% relative density have been identified. They were found to be from 1100 up to 2000 W for the laser power (P), and from 0.003 up to 0.016 g/mm for the amount of powder that is fed to the melt pool distance (F/V). Regarding the influence of process parameters on the microstructure of the samples with equal deposition height, it was observed that varying combinations of process parameters within the optimal processing window resulted in variations in grain size ranging from 105 to 215 µm. Full article
(This article belongs to the Special Issue Advances in Metal Additive Manufacturing/3D Printing)
Show Figures

Figure 1

18 pages, 18092 KB  
Article
Optimizing the High-Performance Milling of Thin Aluminum Alloy Plates Using the Taguchi Method
by Cheng-Hsien Kuo and Zi-Yi Lin
Metals 2021, 11(10), 1526; https://doi.org/10.3390/met11101526 - 26 Sep 2021
Cited by 9 | Viewed by 3650
Abstract
Most aerospace parts are thin walled and made of aluminum or titanium alloy that is machined to the required shape and dimensions. Deformation is a common issue. Although the reduced cutting forces used in high-speed milling generate low residual stress, the problem of [...] Read more.
Most aerospace parts are thin walled and made of aluminum or titanium alloy that is machined to the required shape and dimensions. Deformation is a common issue. Although the reduced cutting forces used in high-speed milling generate low residual stress, the problem of deformation cannot be completely resolved. In this work, we emphasized that choosing the correct cutting parameters and machining techniques could increase the cutting performance and surface quality and reduce the deformation of thin plates. In this study, a part made of a thin 6061 aluminum alloy plate was machined by high-speed milling (HSM), and a Taguchi L16 orthogonal array was used to optimize the following parameters: linear velocity, feed per tooth, cutting depth, cutting width, and toolpath. The impact of cutting parameters on the degree of deformation, surface roughness, as well as the cutting force on the thin plate were all investigated. The results showed that the experimental parameters for the optimal degree of deformation were A1 (linear velocity 450 mm/min), B1 (feed per tooth 0.06 mm/tooth), C1 (cutting depth 0.3 mm), D4 (cutting width 70%), and E4 (rough zigzag). Feed per tooth was the most significant control factor, with a contribution as high as 63.5%. It should also be mentioned that, according to the factor response of deformation, there was a lower value of feed per tooth and less deformation. Furthermore, the feed per tooth and the cutting depth decreased and the surface roughness increased. The cutting force rose or fell with an increase or decrease of cutting depth. Full article
(This article belongs to the Special Issue Optimization and Analysis of Metal Cutting Processes)
Show Figures

Figure 1

10 pages, 1832 KB  
Article
Influence of Build Orientation, Geometry and Artificial Saliva Aging on the Mechanical Properties of 3D Printed Poly(ε-caprolactone)
by Ana C. Pinho and Ana P. Piedade
Materials 2021, 14(12), 3335; https://doi.org/10.3390/ma14123335 - 16 Jun 2021
Cited by 7 | Viewed by 2439
Abstract
Additive manufacturing of polymers has evolved from rapid prototyping to the production of functional components/parts with applications in distinct areas, ranging from health to aeronautics. The possibility of producing complex customized geometries with less environmental impact is one of the critical factors that [...] Read more.
Additive manufacturing of polymers has evolved from rapid prototyping to the production of functional components/parts with applications in distinct areas, ranging from health to aeronautics. The possibility of producing complex customized geometries with less environmental impact is one of the critical factors that leveraged the exponential growth of this processing technology. Among the several processing parameters that influence the properties of the parts, the geometry (shape factor) is amid less reported. Considering the geometric complexity of the mouth, including the uniqueness of each teething, this study can contribute to a better understanding of the performance of polymeric devices used in the oral environment for preventive, restorative, and regenerative therapies. Thus, this work aims to evaluate 3D printed poly(ε-caprolactone) mechanical properties with different build orientations and geometries. Longitudinal and transversal toolpaths produced specimens with parallelepiped and tubular geometry. Moreover, as it is intended to develop devices for dentistry, the influence of artificial saliva on mechanical properties was determined. The research concluded that the best mechanical properties are obtained for parallelepiped geometry with a longitudinal impression and that aging in artificial saliva negatively influences all the mechanical properties evaluated in this study. Full article
(This article belongs to the Special Issue 3D Printing for Dental Applications)
Show Figures

Figure 1

16 pages, 5642 KB  
Article
Experimental and Numerical Investigation in Directed Energy Deposition for Component Repair
by Lan Li, Xinchang Zhang and Frank Liou
Materials 2021, 14(6), 1409; https://doi.org/10.3390/ma14061409 - 14 Mar 2021
Cited by 23 | Viewed by 3710
Abstract
Directed energy deposition (DED) has been widely used for component repair. In the repair process, the surface defects are machined to a groove or slot and then refilled. The sidewall inclination angle of the groove geometry has been recognized to have a considerable [...] Read more.
Directed energy deposition (DED) has been widely used for component repair. In the repair process, the surface defects are machined to a groove or slot and then refilled. The sidewall inclination angle of the groove geometry has been recognized to have a considerable impact on the mechanical properties of repaired parts. The objective of this work was to investigate the feasibility of repairing various V-shaped defects with both experiments and modeling. At first, the repair volume was defined by scanning the defective zone. Then, the repair volume was sliced to generate the repair toolpath. After that, the DED process was used to deposit Ti6Al4V powder on the damaged plates with two different slot geometries. Mechanical properties of the repaired parts were evaluated by microstructure analysis and tensile test. Testing of the repaired parts showed excellent bonding between the deposits and base materials with the triangular slot repair. 3D finite element analysis (FEA) models based on sequentially coupled thermo-mechanical field analysis were developed to simulate the corresponding repair process. Thermal histories of the substrate on the repair sample were measured to calibrate the 3D coupled thermo-mechanical model. The temperature measurements showed very good verification with the predicted temperature results. After that, the validated model was used to predict the residual stresses and distortions in the parts. Predicted deformation and stress results can guide the evaluation of the repair quality. Full article
(This article belongs to the Special Issue Laser Processing for Composite Materials)
Show Figures

Figure 1

21 pages, 8275 KB  
Article
Octree-Based Generation and Variation Analysis of Skin Model Shapes
by Filmon Yacob, Daniel Semere and Erik Nordgren
J. Manuf. Mater. Process. 2018, 2(3), 52; https://doi.org/10.3390/jmmp2030052 - 12 Aug 2018
Cited by 9 | Viewed by 5453
Abstract
The concept of Skin Model Shape has been introduced as a method for a close representation of manufactured parts using a discrete geometry representation scheme. However, discretized surfaces make irregular polyhedra, which are computationally demanding to model and process using the traditional implicit [...] Read more.
The concept of Skin Model Shape has been introduced as a method for a close representation of manufactured parts using a discrete geometry representation scheme. However, discretized surfaces make irregular polyhedra, which are computationally demanding to model and process using the traditional implicit surface and boundary representation techniques. Moreover, there are still some research challenges related to the geometrical variation modelling of manufactured products; specifically, methods for geometrical data processing, the mapping of manufacturing variation sources to a geometric model, and the improvement of variation visualization techniques. To provide steps towards addressing these challenges this work uses Octree, a 3D space partitioning technique, as an aid for geometrical data processing, variation visualization, variation modelling and propagation, and tolerance analysis. Further, Skin Model Shapes are generated either by manufacturing a simulation using a non-ideal toolpath on solid models of Skin Model Shapes that are assembled to non-ideal fixtures or from measurement data. Octrees are then used in a variation envelope extraction from the simulated or measurement data, which becomes a basis for further simulation and tolerance analysis. To illustrate the method, an industrial two-stage truck component manufacturing line was studied. Simulation results show that the predicted Skin Model Shapes closely match to the measurement data from the manufacturing line, which could also be used to map to manufacturing error sources. This approach contributes towards the application of Octrees in many Skin Model Shape related operations and processes. Full article
(This article belongs to the Special Issue Smart Manufacturing Processes in the Context of Industry 4.0)
Show Figures

Figure 1

Back to TopTop