Sign in to use this feature.

Years

Between: -

Subjects

remove_circle_outline
remove_circle_outline
remove_circle_outline
remove_circle_outline

Journals

Article Types

Countries / Regions

Search Results (2)

Search Parameters:
Keywords = D-cyphenothrin

Order results
Result details
Results per page
Select all
Export citation of selected articles as:
19 pages, 4073 KB  
Article
Novel Mechanism and Kinetics of Tetramethrin Degradation Using an Indigenous Gordonia cholesterolivorans A16
by Yuxin Guo, Yaohua Huang, Shimei Pang, Tianhao Zhou, Ziqiu Lin, Hongxiao Yu, Guorui Zhang, Pankaj Bhatt and Shaohua Chen
Int. J. Mol. Sci. 2021, 22(17), 9242; https://doi.org/10.3390/ijms22179242 - 26 Aug 2021
Cited by 31 | Viewed by 3849
Abstract
Tetramethrin is a pyrethroid insecticide that is commonly used worldwide. The toxicity of this insecticide into the living system is an important concern. In this study, a novel tetramethrin-degrading bacterial strain named A16 was isolated from the activated sludge and identified as Gordonia [...] Read more.
Tetramethrin is a pyrethroid insecticide that is commonly used worldwide. The toxicity of this insecticide into the living system is an important concern. In this study, a novel tetramethrin-degrading bacterial strain named A16 was isolated from the activated sludge and identified as Gordonia cholesterolivorans. Strain A16 exhibited superior tetramethrin degradation activity, and utilized tetramethrin as the sole carbon source for growth in a mineral salt medium (MSM). High-performance liquid chromatography (HPLC) analysis revealed that the A16 strain was able to completely degrade 25 mg·L−1 of tetramethrin after 9 days of incubation. Strain A16 effectively degraded tetramethrin at temperature 20–40 °C, pH 5–9, and initial tetramethrin 25–800 mg·L−1. The maximum specific degradation rate (qmax), half-saturation constant (Ks), and inhibition constant (Ki) were determined to be 0.4561 day−1, 7.3 mg·L−1, and 75.2 mg·L−1, respectively. The Box–Behnken design was used to optimize degradation conditions, and maximum degradation was observed at pH 8.5 and a temperature of 38 °C. Five intermediate metabolites were identified after analyzing the degradation products through gas chromatography–mass spectrometry (GC-MS), which suggested that tetramethrin could be degraded first by cleavage of its carboxylester bond, followed by degradation of the five-carbon ring and its subsequent metabolism. This is the first report of a metabolic pathway of tetramethrin in a microorganism. Furthermore, bioaugmentation of tetramethrin-contaminated soils (50 mg·kg−1) with strain A16 (1.0 × 107 cells g−1 of soil) significantly accelerated the degradation rate of tetramethrin, and 74.1% and 82.9% of tetramethrin was removed from sterile and non-sterile soils within 11 days, respectively. The strain A16 was also capable of efficiently degrading a broad spectrum of synthetic pyrethroids including D-cyphenothrin, chlorempenthrin, prallethrin, and allethrin, with a degradation efficiency of 68.3%, 60.7%, 91.6%, and 94.7%, respectively, after being cultured under the same conditions for 11 days. The results of the present study confirmed the bioremediation potential of strain A16 from a contaminated environment. Full article
(This article belongs to the Section Molecular Microbiology)
Show Figures

Figure 1

17 pages, 3410 KB  
Article
New Insights into the Microbial Degradation of D-Cyphenothrin in Contaminated Water/Soil Environments
by Yaohua Huang, Ziqiu Lin, Wenping Zhang, Shimei Pang, Pankaj Bhatt, Eldon R. Rene, Alagarasan Jagadeesh Kumar and Shaohua Chen
Microorganisms 2020, 8(4), 473; https://doi.org/10.3390/microorganisms8040473 - 26 Mar 2020
Cited by 77 | Viewed by 4954
Abstract
Persistent use of the insecticide D-cyphenothrin has resulted in heavy environmental contamination and public concern. However, microbial degradation of D-cyphenothrin has never been investigated and the mechanism remains unknown. During this study, for the first time, an efficient D-cyphenothrin-degrading bacterial strain Staphylococcus succinus [...] Read more.
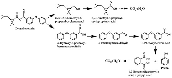
Persistent use of the insecticide D-cyphenothrin has resulted in heavy environmental contamination and public concern. However, microbial degradation of D-cyphenothrin has never been investigated and the mechanism remains unknown. During this study, for the first time, an efficient D-cyphenothrin-degrading bacterial strain Staphylococcus succinus HLJ-10 was identified. Response surface methodology was successfully employed by using Box-Behnken design to optimize the culture conditions. At optimized conditions, over 90% degradation of D-cyphenothrin (50 mg·L−1) was achieved in a mineral salt medium within 7 d. Kinetics analysis revealed that its half-life was reduced by 61.2 d, in comparison with the uninoculated control. Eight intermediate metabolites were detected in the biodegradation pathway of D-cyphenothrin including cis-D-cyphenothrin, trans-D-cyphenothrin, 3-phenoxybenzaldehyde, α-hydroxy-3-phenoxy-benzeneacetonitrile, trans-2,2-dimethyl-3-propenyl-cyclopropanol, 2,2-dimethyl-3-propenyl-cyclopropionic acid, trans-2,2-dimethyl-3-propenyl-cyclopropionaldehyde, and 1,2-benzenedicarboxylic acid, dipropyl ester. This is the first report about the degradation of D-cyphenothrin through cleavage of carboxylester linkage and diaryl bond. In addition to degradation of D-cyphenothrin, strain HLJ-10 effectively degraded a wide range of synthetic pyrethroids including permethrin, tetramethrin, bifenthrin, allethrin, and chlorempenthrin, which are also widely used insecticides with environmental contamination problems. Bioaugmentation of D-cyphenothrin-contaminated soils with strain HLJ-10 substantially enhanced its degradation and over 72% of D-cyphenothrin was removed from soils within 40 d. These findings unveil the biochemical basis of a highly efficient D-cyphenothrin-degrading bacterial isolate and provide potent agents for eliminating environmental residues of pyrethroids. Full article
(This article belongs to the Section Environmental Microbiology)
Show Figures

Graphical abstract

Back to TopTop