Sign in to use this feature.

Years

Between: -

Subjects

remove_circle_outline
remove_circle_outline

Journals

Article Types

Countries / Regions

Search Results (2)

Search Parameters:
Keywords = Cleome arabica

Order results
Result details
Results per page
Select all
Export citation of selected articles as:
18 pages, 4458 KB  
Article
Phytochemical Characterization, Antioxidant and Anti-Inflammatory Effects of Cleome arabica L. Fruits Extract against Formalin Induced Chronic Inflammation in Female Wistar Rat: Biochemical, Histological, and In Silico Studies
by Ikram Allagui, Mabrouk Horchani, Nourhene Zammel, Maroua Jalouli, Abdelfatteh Elfeki, Choumous Kallel, Lamjed Mansour, Salah Alwasel, Abdel Halim Harrath, Hichem Ben Jannet, Mohamed Salah Allagui and Kheiria Hcini
Molecules 2023, 28(1), 26; https://doi.org/10.3390/molecules28010026 - 21 Dec 2022
Cited by 11 | Viewed by 4114
Abstract
In recent decades, the use of herbs and plants has been of great interest, as they have been the sources of natural products, commonly named as bioactive compounds. In specific, the natural compounds from the Capparaceae family which has been proved to have [...] Read more.
In recent decades, the use of herbs and plants has been of great interest, as they have been the sources of natural products, commonly named as bioactive compounds. In specific, the natural compounds from the Capparaceae family which has been proved to have antioxidant, anti-inflammatory, antimicrobial and anti-carcinogenic activities, by several studies. Cleome arabica L. (CA) specie is the most used medicinal plants in Tunisia and elsewhere in North African countries for treatment of various diseases including diabetes, rheumatism, inflammation, cancer, and digestive disorders. The current work was undertaken to estimate the total phenolic, flavonoid and condensed tannin contents, to identify and quantify the polyphenolic compounds, and to evaluate the antioxidant and the anti-inflammatory proprieties of CA fruits extract against formalin induced chronic inflammation in Female Wistar rats. In fact, the antioxidant activity was tested by Diphenyl-1-Picrylhydrazyl free radical scavenging (DPPH), Ferric reducing antioxidant power (FRAP) and Nitric Oxide radical (NO·). Anti-inflammatory effect of fruits extract was examined using formalin (2%) induced paw edema in rats. Molecular docking tools were used to investigate the interaction of some compounds from CA fruits extract with the cyclooxygenase-2 (COX-2) target protein. Our results showed that, the total phenolic, flavonoid and tannins contents, which were assessed by the Folin-Ciocalteu, Quercetin, and Catechin methods, respectively, were 230.22 mg gallic acid equivalent/g dry weight (mg GAE/g DW), 55.08 mg quercetin equivalent/g dry weight (QE/g DW) and 15.17 mg catechin equivalents/g dry weight (CatE/g DW), respectively. HPLC analysis revealed the presence of five polyphenolic compounds whose catechin was found to be the most abundant compounds. The antioxidant activity of extract was quantified by DPPH, FRAP and NO· tests and IC50 reached the values of 3.346 mg/mL, 2.306 and 0.023 mg/mL, respectively. Cleome fruits ameliorated the histological integrity of the skin and alleviated the disruptions in hematological parameters (WBC, LYM, RBC, and HGB), inflammatory cytokines (IL-1β, IL-6, TNF-α), C-reactive protein, and some oxidative stress markers (TBARS (−49%) and AOPP (−42%) levels, SOD (+33%) and GPx (+75%) activities, and GSH (+49%) content) induced by formalin injection. Moreover, the in-silico investigation had shown that CA fruits extract compounds have a stronger interaction with COX-2 active site, more than the reference drug “indomethacin” (two H-bonds). Our research gives pharmacological backing to the healthcare utilization of Cleome plant in the treatment of inflammatory diseases and oxidative harm. Full article
Show Figures

Figure 1

18 pages, 2206 KB  
Article
Physiological and Oxidative Stress Responses of Lettuce to Cleomside A: A Thiohydroximate, as a New Allelochemical from Cleome arabica L.
by Afef Ladhari, Anna Andolfi and Marina DellaGreca
Molecules 2020, 25(19), 4461; https://doi.org/10.3390/molecules25194461 - 28 Sep 2020
Cited by 9 | Viewed by 3351
Abstract
The inclination toward natural products have led the onset for the discovery of new bioactive metabolites that could be targeted for specific therapeutic or agronomic applications. This study aimed to isolate bioactive compounds from Cleome arabica L., and subsequently determine the unexplored mechanism [...] Read more.
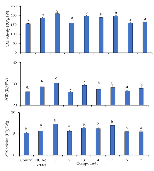
The inclination toward natural products have led the onset for the discovery of new bioactive metabolites that could be targeted for specific therapeutic or agronomic applications. This study aimed to isolate bioactive compounds from Cleome arabica L., and subsequently determine the unexplored mechanism of action of the newly identified compounds on Lactuca sativa L. Chemical investigation of the ethyl acetate fraction of methanolic silique extract of C. arabica afforded seven secondary metabolites belonging to different classes such as flavonoids, triterpene, and a new thiohydroximate derivative, named cleomside A. Among phytotoxic assays, the growth of lettuce was totally inhibited by cleomside A compared to the other identified compounds. This effect was associated with the increased levels of electrolyte leakage, malondialdehyde, and hydrogen peroxide indicating disruption of membrane integrity and induction of oxidative stress. Activities of the antioxidant enzymes SOD, CAT, and APX were also elevated, thereby demonstrating the enhanced generation of reactive oxygen species upon identified allelochemical exposure. Thus, the changes caused by cleomside A described herein can contribute to better understanding the allelochemical actions of thiohydroximate and the potential use of these substances in the production of natural herbicides compared to the other identified flavonoids and triterpene. Full article
Show Figures

Graphical abstract

Back to TopTop