Sign in to use this feature.

Years

Between: -

Subjects

remove_circle_outline
remove_circle_outline
remove_circle_outline

Journals

Article Types

Countries / Regions

Search Results (2)

Search Parameters:
Keywords = Chloropsis hardwickii

Order results
Result details
Results per page
Select all
Export citation of selected articles as:
12 pages, 750 KB  
Article
Non-Breeding Season Habitat Selection of Three Commonly Occurring Bird Species in a Patchy Habitat in SE China
by Xin Luo, Shuai Gao, Sichun Tong, Yao Cai, Zheng Wang and Ning Li
Land 2024, 13(6), 807; https://doi.org/10.3390/land13060807 - 6 Jun 2024
Viewed by 1286
Abstract
Research into bird habitat selection can unveil the impact of specific habitat characteristics on bird survival. However, empirical information on the environmental factor preferences and differences within the yew ecological garden for birds is still lacking. This study was conducted in a yew [...] Read more.
Research into bird habitat selection can unveil the impact of specific habitat characteristics on bird survival. However, empirical information on the environmental factor preferences and differences within the yew ecological garden for birds is still lacking. This study was conducted in a yew ecological garden located in the southern experimental area of the Meihua Mountain National Nature Reserve, Fujian Province, China. We selected three commonly occurring bird species for analysis to discern the factors influencing habitat selection and interspecific differences and the impact of habitat environmental factors. Canopy density and coverage were identified as dominant factors influencing habitat selection for the Red-billed Blue Magpie (Urocissa erythrorhyncha), Black Bulbul (Hypsipetes leucocephalus), and Orange-bellied Leafbird (Chloropsis hardwickii). The height of perching trees, average tree height, and average diameter at breast height were all important determinants for the habitat selection of Red-billed Blue Magpie and Black Bulbul. These dominant factors were consistent with logistic regression analysis results. Both one-way ANOVA and stepwise discriminant analysis revealed significant differences in habitat selection among three commonly occurring bird species. Our results provide important insights into avian habitat selection in patchy habitats, which can be used as a guideline for future conservation and habitat management. Full article
(This article belongs to the Special Issue Species Vulnerability and Habitat Loss II)
Show Figures

Figure 1

9 pages, 1944 KB  
Article
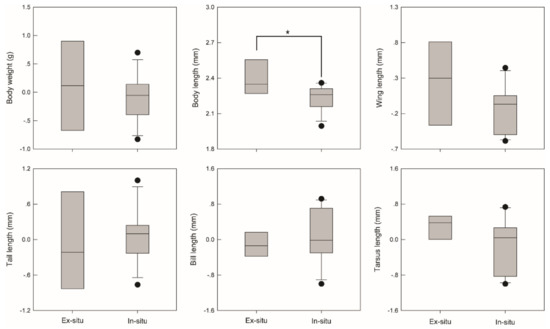
Effects of Bird Traits on Seed Dispersal of Endangered Taxus chinensis (Pilger) Rehd. with Ex-Situ and In-Situ Conservation
by Ning Li, Zheng Wang, Xin-Hai Li, Xian-Feng Yi, Chuan Yan, Chang-Hu Lu and Si-Chong Chen
Forests 2019, 10(9), 790; https://doi.org/10.3390/f10090790 - 11 Sep 2019
Cited by 7 | Viewed by 3732
Abstract
Biodiversity is rapidly decreasing worldwide. Its great importance has been attached to conservation through in-situ and ex-situ management. Animal-mediated seed dispersal is an important ecological process, linking the threatened plants and animal partners in ex-situ habitats, and in turn affecting tree conservation. However, [...] Read more.
Biodiversity is rapidly decreasing worldwide. Its great importance has been attached to conservation through in-situ and ex-situ management. Animal-mediated seed dispersal is an important ecological process, linking the threatened plants and animal partners in ex-situ habitats, and in turn affecting tree conservation. However, how bird traits affect seed dispersal within in-situ and ex-situ conservation still remains unclear. Here, we aim to answer this question. We tested whether bird traits affect seed deposition and seedling recruitment. Our results showed that 19 bird species foraged and removed Taxus chinensis (Pilger) Rehd. seeds across botanical gardens (ex-situ) and natural reserves (in-situ). The seed dispersal pattern of T. chinensis varied in the stages of seed removal and seed deposition, but showed no significant difference in the seedling recruitment stage. This showed that bird morphological and behavioral traits affected seed dispersal through the different contributions of varying bird species. Large birds and their high visitation frequency played a central role in seed removal patterns. The frequency of post-foraging habitat use was the most important factor determining the role of birds in seed deposition and the following seedling recruitment. Urocissa erythrorhyncha and Chloropsis hardwickii played the role of keystone species in seed deposition and seedling recruitment, respectively. Our results highlight the importance of bird traits in facilitating the seed dispersal of trees within in-situ and ex-situ conservation, which should be considered in future forest conservation and management. Full article
(This article belongs to the Section Forest Ecology and Management)
Show Figures

Figure 1

Back to TopTop