Sign in to use this feature.

Years

Between: -

Subjects

remove_circle_outline
remove_circle_outline
remove_circle_outline
remove_circle_outline
remove_circle_outline
remove_circle_outline

Journals

Article Types

Countries / Regions

Search Results (3)

Search Parameters:
Keywords = C. estertheticum

Order results
Result details
Results per page
Select all
Export citation of selected articles as:
15 pages, 3323 KB  
Article
Microbial Community and Fermentation Quality of Alfalfa Silage Stored in Farm Bunker Silos in Inner Mongolia, China
by Baiyila Wu, Humujile Sui, Weize Qin, Zongfu Hu, Manlin Wei, Mei Yong, Chao Wang and Huaxin Niu
Fermentation 2023, 9(5), 455; https://doi.org/10.3390/fermentation9050455 - 10 May 2023
Cited by 5 | Viewed by 2417
Abstract
Alfalfa is conserved in silo-type bunkers in the cold and humid regions of Inner Mongolia, China. Its quality is essential to ensure a healthy and sustainable dairy production. However, the impact of environmental factors on the microbiota and fermentation products of alfalfa silage [...] Read more.
Alfalfa is conserved in silo-type bunkers in the cold and humid regions of Inner Mongolia, China. Its quality is essential to ensure a healthy and sustainable dairy production. However, the impact of environmental factors on the microbiota and fermentation products of alfalfa silage remains unclear. The present research examined changes in the microbiota and fermentation products and their association with environmental parameters in 72 samples collected from 12 farms located at 4 different latitudes and longitudes across four regions. The samples were labeled with distinct codes, A, B, and C, from the cold–rainy region, D, E, and F, from the warm–rainy region, G, H, and I from the cold–dry region, and J, K, and L from the warm–dry region. The lactic acid levels ranged from 14.25 to 24.27 g/kg of DM across all samples. The pH and concentrations of NH3-N and butyric acid in samples A, B, and H were higher (p < 0.01) than in the other samples. Samples D and E had higher acetic acid concentrations and 1, 2-propanediol content (p < 0.01). The fresh material was dominated by Pantoea and Pseudomonas, whereas Lactobacillus was the most dominant genus in all silages, except for the B silage. The A, B, and H silages contained more Clostridium but less Lactobacillus than the other silages. The lactic acid levels were strongly associated with Lactobacillus plantarum, Weissella paramesenteroides, Lactobacillus acetotolerans, Pedobacter borvungensis, and Lactobacillus brevis (p < 0.01). In contrast, the pH and the NH3-N and butyric acid concentrations were strongly associated (p < 0.01) with the presence of Clostridium estertheticum. A correlation analysis revealed that precipitation, temperature, longitude, and latitude were the most critical factors influencing epiphytic microbes in the fresh material. After silage fermentation, low-temperature conditions significantly affected the fermentation products and microbial community composition. In conclusion, the microbial community of silages is distinctive in cold and humid regions, and climatic parameters ultimately affect the microbiota and fermentation products. Furthermore, the findings of this study demonstrate that Illumina MiSeq sequencing combined with environmental factor assessment might provide new information about the microbiota composition and fermentation quality of silages, facilitating the achievement of high-quality silage. Full article
(This article belongs to the Section Microbial Metabolism, Physiology & Genetics)
Show Figures

Figure 1

12 pages, 2189 KB  
Article
An Evaluation of Sporicidal Treatments against Blown Pack Spoilage Associated Clostridium estertheticum and Clostridium gasigenes Spores
by Eden Esteves, Leonard Koolman, Paul Whyte, Tanushree B. Gupta and Declan Bolton
Appl. Sci. 2022, 12(3), 1663; https://doi.org/10.3390/app12031663 - 5 Feb 2022
Viewed by 3197
Abstract
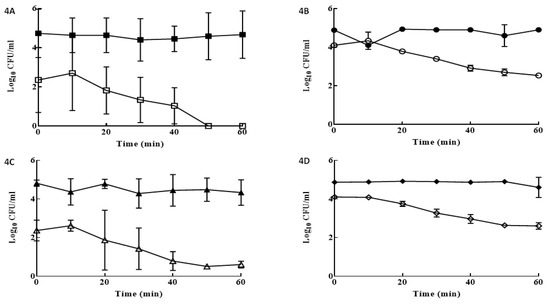
Blown pack spoilage (BPS) occurs when meat is cross-contaminated with Clostridium estertheticum or Clostridium gasigenes spores, often from the meat processing environment. This study tested the efficacy of four sporicidal disinfectants commonly used in beef processing plants against C. estertheticum and C. gasigenes [...] Read more.
Blown pack spoilage (BPS) occurs when meat is cross-contaminated with Clostridium estertheticum or Clostridium gasigenes spores, often from the meat processing environment. This study tested the efficacy of four sporicidal disinfectants commonly used in beef processing plants against C. estertheticum and C. gasigenes spores in a suspension test. D-values were obtained under model ‘clean’ (sterile distilled water, SDW) and ‘dirty’ (3 g/L bovine serum albumin, BSA) conditions. Mean concentration (log10 CFU/mL) were calculated from direct counts. The levels of dipicolinic acid (DPA), indicating damage to the core of these spores, was also monitored using a terbium (Tb)-DPA assay for treatment 1 (peracetic acid as the active ingredient) in SDW and BSA. In SDW sporicidal treatment 3 (containing peroxymonosulphate) was the most effective against C. estertheticum spores but under ‘dirty’ (BSA) conditions sporicidal treatments 1 and 2 were more effective. A similar pattern was obtained with C. gasigenes with treatment 3 being the most effective in SDW but treatment 2 (sodium hypochlorite as the active ingredient) being more effective in BSA. The lower DPA concentrations obtained in SDW versus BSA demonstrated the protective effect of organic matter. It was concluded that meat processors should use a 5% formulation containing sodium hypochlorite, sodium hydroxide and alkylamine oxide to eliminate BPS Clostridial spores in the abattoir. Full article
Show Figures

Figure 1

8 pages, 740 KB  
Article
Controlling Blown Pack Spoilage Using Anti-Microbial Packaging
by Rachael Reid, Declan Bolton, Andrey A. Tiuftin, Joe P. Kerry, Séamus Fanning and Paul Whyte
Foods 2017, 6(8), 67; https://doi.org/10.3390/foods6080067 - 12 Aug 2017
Cited by 6 | Viewed by 6882
Abstract
Active (anti-microbial) packaging was prepared using three different formulations; Auranta FV; Inbac-MDA and sodium octanoate at two concentrations (2.5 and 3.5 times their minimum inhibitory concentration (MIC, the lowest concentration that will inhibit the visible growth of the organisms) against Clostridium estertheticum, [...] Read more.
Active (anti-microbial) packaging was prepared using three different formulations; Auranta FV; Inbac-MDA and sodium octanoate at two concentrations (2.5 and 3.5 times their minimum inhibitory concentration (MIC, the lowest concentration that will inhibit the visible growth of the organisms) against Clostridium estertheticum, DSMZ 8809). Inoculated beef samples were packaged using the active packaging and monitored for 100 days storage at 2 °C for blown pack spoilage. The time to the onset of blown pack spoilage was significantly (p < 0.01) increased using Auranta FV and sodium octanoate (caprylic acid sodium salt) at both concentrations. Moreover, sodium octanoate packs had significantly (p < 0.01) delayed blown pack spoilage as compared to Auranta FV. It was therefore concluded that Auranta FV or sodium octanoate, incorporated into the packaging materials used for vacuum packaged beef, would inhibit blown pack spoilage and in the case of the latter, well beyond the 42 days storage period currently required for beef primals. Full article
(This article belongs to the Special Issue Edible Films Characterization and Application in Foods)
Show Figures

Figure 1

Back to TopTop