Sign in to use this feature.

Years

Between: -

Subjects

remove_circle_outline
remove_circle_outline
remove_circle_outline
remove_circle_outline
remove_circle_outline

Journals

Article Types

Countries / Regions

Search Results (3)

Search Parameters:
Keywords = ‘Qi-Nan’ leaves

Order results
Result details
Results per page
Select all
Export citation of selected articles as:
11 pages, 3319 KB  
Article
Characteristics of Growth, Photosynthesis, C/N Ratio, and Antioxidant Capacity in the Seedling Stage of Aquilaria sinensis ‘Qinan’
by Qilei Zhang, Ning Ma, Yu Su and Xiaojin Liu
Plants 2025, 14(6), 896; https://doi.org/10.3390/plants14060896 - 13 Mar 2025
Viewed by 1066
Abstract
In this study, Aquilaria sinensis ‘Qinan’, a strain of A. sinensis that easily forms agarwood, was selected and propagated by grafting seedlings. Existing research has mainly focused on the characteristics of agarwood formation, but little attention has been paid to the growth characteristics [...] Read more.
In this study, Aquilaria sinensis ‘Qinan’, a strain of A. sinensis that easily forms agarwood, was selected and propagated by grafting seedlings. Existing research has mainly focused on the characteristics of agarwood formation, but little attention has been paid to the growth characteristics of A. sinensis ‘Qinan’. In this study, the growth rate, photosynthetic capacity, leaf size, carbon and nitrogen contents, and antioxidant capacity were evaluated during the early growth stage in A. sinensis ‘Qinan’ and A. sinensis grafted seedlings. Compared with A. sinensis, A. sinensis ‘Qinan’ exhibited higher net photosynthetic rate (9.2 μmol m−2 s−1 in A. sinensis ‘Qinan’ and 7.8 μmol m−2 s−1 in A. sinensis) in the mature leaf. There were higher contents of secondary metabolites such as flavonoids and phenols, with stronger antioxidant capacity in A. sinensis ‘Qinan’. Larger leaf area (43.9 cm2 in A. sinensis and 30.1 cm2 in A. sinensis ‘Qinan’), higher nitrogen content (24.9 mg kg−1 in A. sinensis and 23.7 mg kg−1 in A. sinensis ‘Qinan’) in young leaves, faster growth rate, and larger biomass were observed in A. sinensis. The results indicate that differences exist in nutrient distribution during the growth process of A. sinensis ‘Qinan’ and A. sinensis, with more substances being used to synthesize defensive secondary metabolites in A. sinensis ‘Qinan’. Full article
(This article belongs to the Section Plant Physiology and Metabolism)
Show Figures

Figure 1

16 pages, 3868 KB  
Article
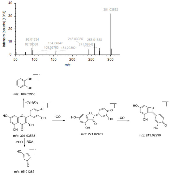
Optimization of Extraction Process and Analysis of Biological Activity of Flavonoids from Leaves of Cultivated ‘Qi-Nan’ Agarwood
by Qingle Li, Penglian Wei, Yingjian Li and Yunlin Fu
Molecules 2024, 29(8), 1828; https://doi.org/10.3390/molecules29081828 - 17 Apr 2024
Cited by 8 | Viewed by 2301
Abstract
Currently, the planting of ‘Qi-Nan’ is continuously increasing, yet a substantial amount of ‘Qi-Nan’ leaves have not been properly exploited. To improve the ‘Qi-Nan’ tree ’s utilization value, ‘Qi-Nan’ leaves were used as a raw material. An ultrasound-assisted method was performed to obtain [...] Read more.
Currently, the planting of ‘Qi-Nan’ is continuously increasing, yet a substantial amount of ‘Qi-Nan’ leaves have not been properly exploited. To improve the ‘Qi-Nan’ tree ’s utilization value, ‘Qi-Nan’ leaves were used as a raw material. An ultrasound-assisted method was performed to obtain the flavonoids from the ’Qi-Nan’ leaves, followed by optimization of the extraction factors using a one-way and response surface methodology to enhance the extraction of flavonoids. Subsequently, the composition of the flavonoids, as well as their bioactive abilities, were analyzed by ultra-high-performance liquid chromatography–mass spectrometry (UHPLC-MS) and in vitro activity testing methods. The findings demonstrated that a 1:50 material-to-liquid ratio, 60% ethanol concentration, and ultrasound-assisted extraction time of 30 min were the ideal procedures for extracting flavonoids (flavonoid content: 6.68%). Meanwhile, the ‘Qi-Nan’ leaves possessed the antioxidant and medicinal potential to prevent diabetes and Alzheimer ’s disease, as evidenced by the semi-inhibitory concentrations (IC50 values) of flavonoid extracts for scavenging DPPH free radicals, scavenging ABTS•+ free radicals, inhibiting acetylcholinesterase, and inhibiting α-glucosidase, which were 12.64 μg/mL, 66.58 μg/mL, 102.31 μg/mL, and 38.76 μg/mL, respectively, which indicated that the ‘Qi-Nan’ leaves possessed the properties of antioxidant and medicinal potential for the prevention of Alzheimer ’s disease and diabetes. Full article
Show Figures

Figure 1

12 pages, 435 KB  
Article
Impact of a Local Vision Care Center on Glasses Ownership and Wearing Behavior in Northwestern Rural China: A Cluster-Randomized Controlled Trial
by Yue Ma, Yujuan Gao, Yue Wang, Haoyang Li, Lina Ma, Jiangchao Jing, Yaojiang Shi, Hongyu Guan and Nathan Congdon
Int. J. Environ. Res. Public Health 2018, 15(12), 2783; https://doi.org/10.3390/ijerph15122783 - 8 Dec 2018
Cited by 6 | Viewed by 3963
Abstract
Visual impairment is common among rural Chinese children, but fewer than a quarter of children who need glasses actually own and use them. To study the effect of rural county hospital vision centers (VC) on self-reported glasses ownership and wearing behavior (primary outcome) [...] Read more.
Visual impairment is common among rural Chinese children, but fewer than a quarter of children who need glasses actually own and use them. To study the effect of rural county hospital vision centers (VC) on self-reported glasses ownership and wearing behavior (primary outcome) among rural children in China, we conducted a cluster-randomized controlled trial at a VC in the government hospital of Qinan County, a nationally-designated poor county. All rural primary schools (n = 164) in the county were invited to participate. Schools were randomly assigned to either the treatment group to receive free vision care and eyeglasses, if needed, or control group, who received glasses only at the end of the study. Among 2806 eligible children with visiual impairment (visual acuity ≤ 6/12 in either eye), 93 (3.31%) were lost to follow-up, leaving 2713 students (45.0% boys). Among these, glasses ownership at the end of the school year was 68.6% among 1252 treatment group students (82 schools), and 26.4% (p < 0.01) among 1461 controls (82 schools). The rate of wearing glasses was 55.2% in the treatment group and 23.4% (p < 0.01) among the control group. In logistic regression models, treatment group membership was significantly associated with spectacle ownership (Odds Ratio [OR] = 11.9, p < 0.001) and wearing behavior (OR = 7.2, p < 0.001). County hospital-based vision centers appear effective in delivering childrens’ glasses in rural China. Full article
(This article belongs to the Special Issue Poverty, Inequality and Public Health in China)
Show Figures

Figure 1

Back to TopTop