Sign in to use this feature.

Years

Between: -

Subjects

remove_circle_outline
remove_circle_outline
remove_circle_outline
remove_circle_outline
remove_circle_outline
remove_circle_outline
remove_circle_outline

Journals

Article Types

Countries / Regions

Search Results (4)

Search Parameters:
Authors = Woojong Lee

Order results
Result details
Results per page
Select all
Export citation of selected articles as:
12 pages, 4822 KB  
Article
PCR-Based Molecular Authentication Method for Sources of Agrimoniae Herba via Comparative Analyses of Complete Chloroplast Genomes
by Woojong Jang, Sae Hyun Lee, Wook Jin Kim, Sungyu Yang and Byeong Cheol Moon
Int. J. Mol. Sci. 2025, 26(22), 11189; https://doi.org/10.3390/ijms262211189 - 19 Nov 2025
Viewed by 431
Abstract
Accurate species identification is essential for the quality control and standardization of herbal medicines. Agrimonia species, the authentic sources of Agrimoniae Herba, have long been used in traditional medicine, yet limited genomic resources have hindered the establishment of reliable molecular approaches for accurate [...] Read more.
Accurate species identification is essential for the quality control and standardization of herbal medicines. Agrimonia species, the authentic sources of Agrimoniae Herba, have long been used in traditional medicine, yet limited genomic resources have hindered the establishment of reliable molecular approaches for accurate species discrimination within this genus. Here, we report the newly assembled complete chloroplast genomes (155,156–155,302 bp) of four Agrimonia species, which exhibit the typical quadripartite structure and contain 112 unique genes. Comparative analysis revealed 684 variable sites, including 497 single nucleotide polymorphisms (SNPs) and 187 insertions/deletions (InDels), predominantly located in the single-copy regions. Based on these species-specific variations, we developed nine PCR-based molecular markers that distinguished the four species. The markers were validated using herbarium specimens and commercial herbal products, demonstrating reproducibility and practical applicability. Phylogenetic analysis supported the monophyly of the genus Agrimonia and resolved each species into distinct clusters within the subtribe Agrimoniinae. These results showed that chloroplast genome sequences of the genus Agrimonia can serve as effective super DNA barcodes for species identification. Our study provides fundamental genomic resources for Agrimonia and reliable molecular tools for species authentication, providing a basis for ensuring the authenticity and safety of Agrimoniae Herba. Full article
(This article belongs to the Special Issue Study on Organellar Genomes of Vascular Plants)
Show Figures

Figure 1

11 pages, 2282 KB  
Article
Is There a Difference in the Distribution of Mechanoreceptors among the Three Sections of the Anterior Talofibular Ligament?
by Youngkoo Lee, Wonseok Park, Hyerim Lee, Youngsuk Choi, Sunghwan Kim, Euidong Yeo, Hongseop Lee, Kijin Jung, Byungryul Lee, Myoungjin Lee and Woojong Kim
Medicina 2023, 59(9), 1510; https://doi.org/10.3390/medicina59091510 - 22 Aug 2023
Cited by 1 | Viewed by 3205
Abstract
Background: We investigated whether the distribution of mechanoreceptors in three sections of the anterior talofibular ligament (ATFL) differed. Methods: The ATFL was obtained from 29 ankles of 21 fresh-frozen cadavers and divided into fibular attachment, mid-ligament, and talar attachment parts. Histologically, mechanoreceptors were [...] Read more.
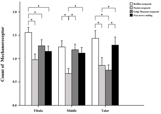
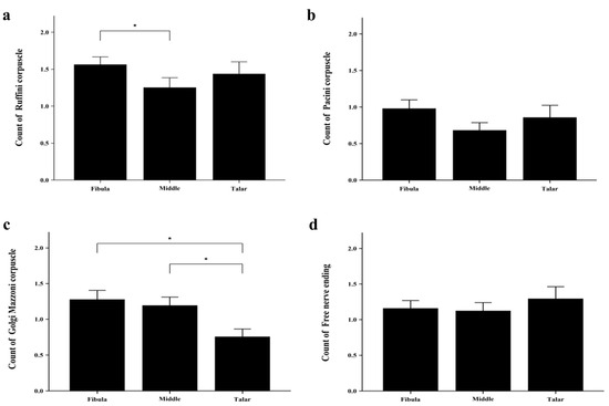
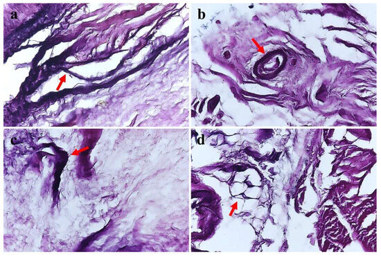
Background: We investigated whether the distribution of mechanoreceptors in three sections of the anterior talofibular ligament (ATFL) differed. Methods: The ATFL was obtained from 29 ankles of 21 fresh-frozen cadavers and divided into fibular attachment, mid-ligament, and talar attachment parts. Histologically, mechanoreceptors were classified as Ruffini (type I), Vater–Pacini (type II), Golgi–Mazzoni (type III), and free nerve ending corpuscles (type IV); the presence of these mechanoreceptors was compared among the three ATFL sections. Results: Type I mechanoreceptors were significantly more numerous than the other receptor types. Comparing the three sections of the ATFL, the number of type I mechanoreceptors differed significantly between the mid-ligament and fibular attachment (p = 0.006), while the number of type III mechanoreceptors differed significantly between the talar and fibular attachments (p = 0.005) and between the mid-ligament and talar attachment (p = 0.011). Conclusions: The four types of mechanoreceptors were distributed differently among the three sections of the ATFL. Type I mechanoreceptors were more numerous in all sections compared to the other receptors. Full article
Show Figures

Figure 1

14 pages, 1516 KB  
Article
Complete Mitochondrial Genome and a Set of 10 Novel Kompetitive Allele-Specific PCR Markers in Ginseng (Panax ginseng C. A. Mey.)
by Woojong Jang, Hyun Oh Lee, Jang-Uk Kim, Jung-Woo Lee, Chi-Eun Hong, Kyong-Hwan Bang, Jong-Wook Chung and Ick-Hyun Jo
Agronomy 2020, 10(12), 1868; https://doi.org/10.3390/agronomy10121868 - 26 Nov 2020
Cited by 16 | Viewed by 3376
Abstract
Panax ginseng C. A. Mey., a perennial herb belonging to the family Araliaceae, is a valuable medicinal plant with distinctive biological characteristics. However, comprehensive analyses of the mitochondrial genome (mitogenome) are lacking. In this study, we sequenced the complete mitogenome of ginseng based [...] Read more.
Panax ginseng C. A. Mey., a perennial herb belonging to the family Araliaceae, is a valuable medicinal plant with distinctive biological characteristics. However, comprehensive analyses of the mitochondrial genome (mitogenome) are lacking. In this study, we sequenced the complete mitogenome of ginseng based on long-read data from the Nanopore sequencing platform. The mitogenome was assembled into a “master circle” form of 464,705 bp and contained 72 unique genes. The genome had three large repeat regions, and 10.42% of the sequences were mitogenome sequences of plastid origin (MTPTs). In total, 278 variants (213 SNPs and 65 InDels) were discovered, most of which were identified in intergenic regions. The MTPT regions were mutational hotspots, harboring 74.5% of the variants. The ginseng mitogenome showed a higher mutation rate than that of the chloroplast genome, and this pattern is uncommon in plants. In addition, 10 Kompetitive allele-specific PCR (KASP) markers were developed from 10 SNPs, excluding those in MTPT regions. These markers accurately identified the genotypes of 59 Korean ginseng accessions and elucidated mitogenome diversity. These results provide insight into organellar genomes and genetic diversity in ginseng. Moreover, the complete mitogenome sequence and 10 KASP markers will be useful for ginseng research and breeding. Full article
(This article belongs to the Section Crop Breeding and Genetics)
Show Figures

Figure 1

13 pages, 2880 KB  
Article
Does Resident Participation in an Urban Regeneration Project Improve Neighborhood Satisfaction: A Case Study of “Amichojang” in Busan, South Korea
by Eunae Jin, Woojong Lee and Danya Kim
Sustainability 2018, 10(10), 3755; https://doi.org/10.3390/su10103755 - 18 Oct 2018
Cited by 14 | Viewed by 6260
Abstract
One of the keys to successfully facilitating urban regeneration projects is to encourage resident participation, because participation produces more than just outcomes. However, few studies have examined whether the residents’ participation in urban regeneration projects also increases residents’ neighborhood satisfaction. Seeking to address [...] Read more.
One of the keys to successfully facilitating urban regeneration projects is to encourage resident participation, because participation produces more than just outcomes. However, few studies have examined whether the residents’ participation in urban regeneration projects also increases residents’ neighborhood satisfaction. Seeking to address this gap, our study examines the relationship between urban regeneration projects and residents’ satisfaction, focusing on ‘Amichojang’ in Busan, South Korea. We collect 292 valid survey data and then geocode them based on their specific home address to consider spatial characteristics of their residential locations. We also employ an ordered probit model to account for our dependent variable measured as a five-point Likert scale. Our empirical results show that resident participation in urban regeneration projects is positively associated with improvement of neighborhood satisfaction. This result suggests that encouraging local resident participation in urban regeneration projects is significant for the success of these projects. However, there exist gender and age differences in the relationship between participation and neighborhood satisfaction. Therefore, various programs that can encourage more participation in urban regeneration projects should be designed for different demographic groups. Full article
(This article belongs to the Section Sustainable Urban and Rural Development)
Show Figures

Figure 1

Back to TopTop