A Burkholderia pseudomallei Outer Membrane Vesicle Vaccine Provides Cross Protection against Inhalational Glanders in Mice and Non-Human Primates
Abstract
1. Introduction
2. Materials and Methods
2.1. Ethics Statement
2.2. Bacterial Strains and Growth Conditions
2.3. OMV Purification
2.4. Active Immunization and Challenge of Mice
2.5. Active Immunization and Challenge of Rhesus Macaques
2.5.1. Immunization and Challenge
2.5.2. Monitoring of Respiratory Function
2.5.3. Necropsy and Gross Pathology
2.6. Assessment of Antibody Responses to Vaccination
2.7. Assessment of T Cell Responses to Vaccination
2.8. Statistical Analyses
3. Results
3.1. Immunization with B. pseudomallei OMVs Protects Mice against B. mallei
3.2. Immunization with B. pseudomallei OMVs Induces B. mallei-Specific Antibody in Mice
3.3. Immunization with OMVs Induces Cellular Immune Responses in Mice
3.4. OMV Immunization Provides Protection against Glanders in Nonhuman Primates
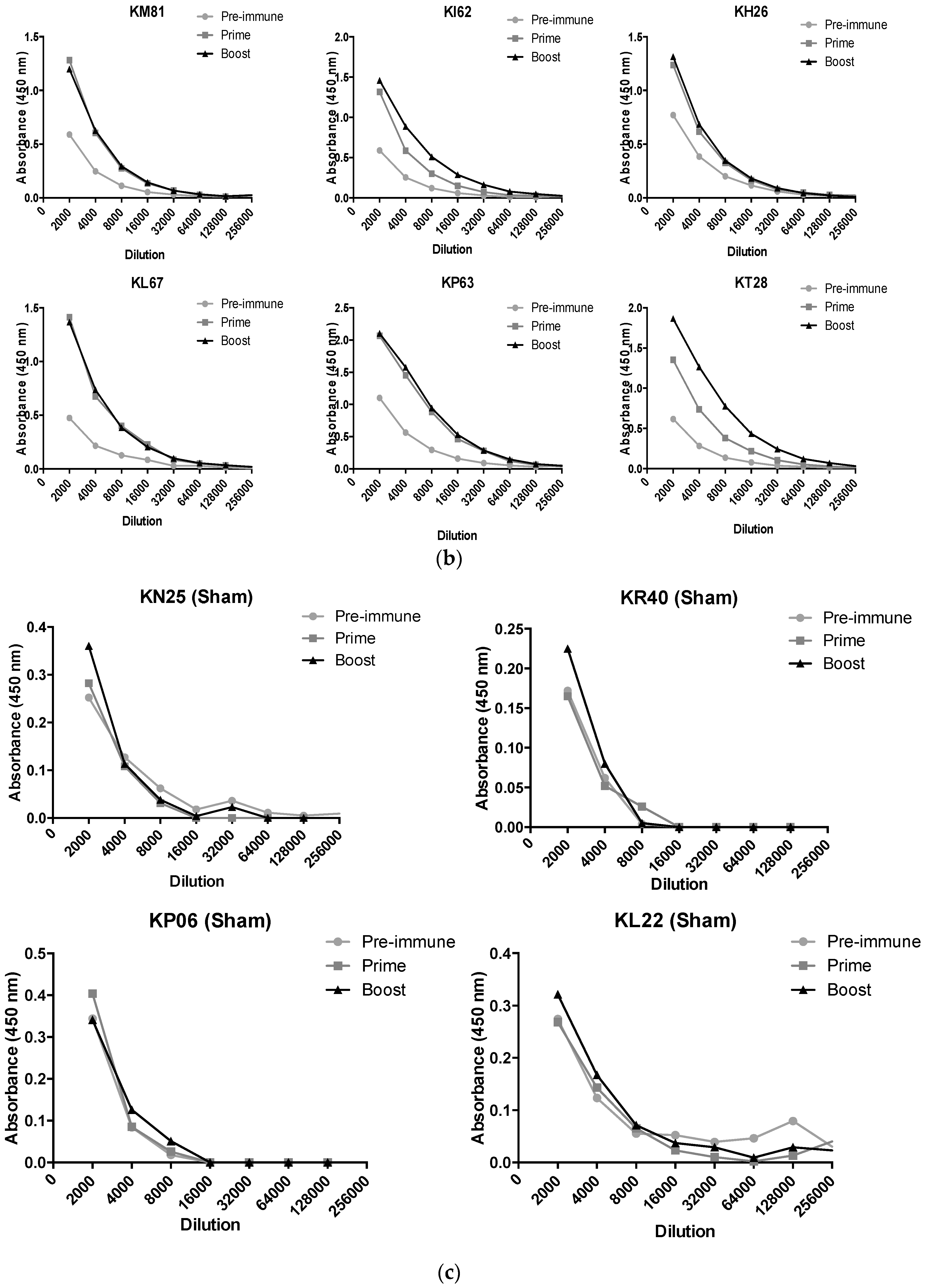
3.5. Immunization with OMVs Induces B. mallei Specific Antibody in Non-Human Primates
4. Discussion
Supplementary Materials
Acknowledgments
Author Contributions
Conflicts of Interest
References
- Struck. Preliminary report of the studies of the imperial institute which led to the discovery of the bacillus of Glanders. Deutsch. Med. Wochenschr. 1882, 8, 707–708. [Google Scholar]
- Dvorak, G.D.; Spickler, A.R. Glanders. J. Am. Vet. Med. Assoc. 2008, 233, 570–577. [Google Scholar] [CrossRef] [PubMed]
- Van Zandt, K.E.; Greer, M.T.; Gelhaus, H. Glanders: An overview of infection in humans. Orphanet J. Rare Dis. 2013, 8, 131. [Google Scholar] [CrossRef] [PubMed]
- Lipsitz, R.; Garges, S.; Aurigemma, R.; Baccam, P.; Blaney, D.D.; Cheng, A.C.; Currie, B.J.; Dance, D.; Gee, J.E.; Larsen, J.; et al. Workshop on treatment of and postexposure prophylaxis for Burkholderia pseudomallei and B. mallei Infection, 2010. Emerg. Infect. Dis. 2012, 18. [Google Scholar] [CrossRef] [PubMed]
- Moore, R.A.; Reckseidler-Zenteno, S.; Kim, H.; Nierman, W.; Yu, Y.; Tuanyok, A.; Warawa, J.; DeShazer, D.; Woods, D.E. Contribution of gene loss to the pathogenic evolution of Burkholderia pseudomallei and Burkholderia mallei. Infect. Immun. 2004, 72, 4172–4187. [Google Scholar] [CrossRef] [PubMed]
- Tamigney Kenfack, M.; Mazur, M.; Nualnoi, T.; Shaffer, T.L.; Ngassimou, A.; Blériot, Y.; Marrot, J.; Marchetti, R.; Sintiprungrat, K.; Chantratita, N.; et al. Deciphering minimal antigenic epitopes associated with Burkholderia pseudomallei and Burkholderia mallei lipopolysaccharide O-antigens. Nat. Commun. 2017, 8, 115. [Google Scholar] [CrossRef]
- Aschenbroich, S.A.; Lafontaine, E.R.; Hogan, R.J. Melioidosis and glanders modulation of the innate immune system: Barriers to current and future vaccine approaches. Expert Rev. Vaccines 2016, 15, 1163–1181. [Google Scholar]
- Benanti, E.L.; Nguyen, C.M.; Welch, M.D. Virulent Burkholderia species mimic host actin polymerases to drive actin-based motility. Cell 2015, 161, 348–360. [Google Scholar] [CrossRef]
- Hatcher, C.L.; Muruato, L.A.; Torres, A.G. Recent Advances in Burkholderia mallei and Burkholderia pseudomallei Research. Curr. Trop. Med. Rep. 2015, 2, 62–69. [Google Scholar]
- Hatcher, C.L.; Mott, T.M.; Muruato, L.A.; Sbrana, E.; Torres, A.G. Burkholderia mallei CLH001 Attenuated Vaccine Strain Is Immunogenic and Protects against Acute Respiratory Glanders. Infect. Immun. 2016, 84, 2345–2354. [Google Scholar]
- Bozue, J.A.; Chaudhury, S.; Amemiya, K.; Chua, J.; Cote, C.K.; Toothman, R.G.; Dankmeyer, J.L.; Klimko, C.P.; Wilhelmsen, C.L.; Raymond, J.W.; et al. Phenotypic Characterization of a Novel Virulence-Factor Deletion Strain of Burkholderia mallei That Provides Partial Protection against Inhalational Glanders in Mice. Front. Cell. Infect. Microbiol. 2016, 6, 21. [Google Scholar] [CrossRef] [PubMed]
- Silva, E.B.; Goodyear, A.; Sutherland, M.D.; Podnecky, N.L.; Gonzalez-Juarrero, M.; Schweizer, H.P.; Dow, S.W. Correlates of Immune Protection following Cutaneous Immunization with an Attenuated Burkholderia pseudomallei Vaccine. Infect. Immun. 2013, 81, 4626–4634. [Google Scholar] [PubMed]
- Scott, A.E.; Laws, T.R.; D’Elia, R.V.; Stokes, M.G.M.; Nandi, T.; Williamson, E.D.; Tan, P.; Prior, J.L.; Atkins, T.P. Protection against experimental melioidosis following immunization with live Burkholderia thailandensis expressing a manno-heptose capsule. Clin. Vaccine Immunol. 2013, 20, 1041–1047. [Google Scholar] [CrossRef] [PubMed]
- Haque, A.; Chu, K.; Easton, A.; Stevens, M.P.; Galyov, E.E.; Atkins, T.; Titball, R.; Bancroft, G.J. A live experimental vaccine against Burkholderia pseudomallei elicits CD4 +T cell–mediated immunity, priming T cells specific for 2 Type III Secretion System proteins. J. Infect. Dis. 2006, 194, 1241–1248. [Google Scholar] [CrossRef] [PubMed]
- Ulrich, R.L.; Amemiya, K.; Waag, D.M.; Roy, C.J.; DeShazer, D. Aerogenic vaccination with a Burkholderia mallei auxotroph protects against aerosol-initiated glanders in mice. Vaccine 2005, 23, 1986–1992. [Google Scholar] [CrossRef] [PubMed]
- Zimmerman, S.M.; Dyke, J.S.; Jelesijevic, T.P.; Michel, F.; Lafontaine, E.R.; Hogan, R.J. Antibodies against In Vivo-Expressed Antigens Are Sufficient To Protect against Lethal Aerosol Infection with Burkholderia mallei and Burkholderia pseudomallei. Infect. Immun. 2017, 85. [Google Scholar] [CrossRef] [PubMed]
- Seder, R.A.; Hill, A.V.S. Vaccines against intracellular infections requiring cellular immunity. Nature 2000, 406, 793–798. [Google Scholar] [CrossRef] [PubMed]
- Healey, G.D.; Elvin, S.J.; Morton, M.; Williamson, E.D. Humoral and cell-mediated adaptive immune responses are required for protection against Burkholderia pseudomallei challenge and bacterial clearance postinfection. Infect. Immun. 2005, 73, 5945–5951. [Google Scholar] [CrossRef] [PubMed]
- Whitlock, G.C.; Deeraksa, A.; Qazi, O.; Judy, B.M.; Taylor, K.; Propst, K.L.; Duffy, A.J.; Johnson, K.; Kitto, G.B.; Brown, K.A.; et al. Protective response to subunit vaccination against intranasal Burkholderia mallei and B. pseudomallei challenge. Procedia Vaccinol. 2010, 2, 73–77. [Google Scholar] [CrossRef] [PubMed]
- Su, Y.-C.; Wan, K.-L.; Mohamed, R.; Nathan, S. Immunization with the recombinant Burkholderia pseudomallei outer membrane protein Omp85 induces protective immunity in mice. Vaccine 2010, 28, 5005–5011. [Google Scholar] [CrossRef] [PubMed]
- Nelson, M. Evaluation of lipopolysaccharide and capsular polysaccharide as subunit vaccines against experimental melioidosis. J. Med. Microbiol. 2004, 53, 1177–1182. [Google Scholar] [CrossRef] [PubMed]
- Sangdee, K.; Waropastrakul, S.; Wongratanachewin, S.; Homchampa, P. Heterologously type IV pilus expressed protein of Burkholderia pseudomallei is immunogenic but fails to induce protective immunity in mice. Southeast Asian J. Trop. Med. Public Health 2011, 42, 1190–1196. [Google Scholar] [PubMed]
- Fernandes, P.J.; Guo, Q.; Waag, D.M.; Donnenberg, M.S. The type IV pilin of Burkholderia mallei is highly immunogenic but fails to protect against lethal aerosol challenge in a murine model. Infect. Immun. 2007, 75, 3027–3032. [Google Scholar] [CrossRef] [PubMed]
- Champion, O.L.; Gourlay, L.J.; Scott, A.E.; Lassaux, P.; Conejero, L.; Perletti, L.; Hemsley, C.; Prior, J.; Bancroft, G.; Bolognesi, M.; et al. Immunisation with proteins expressed during chronic murine melioidosis provides enhanced protection against disease. Vaccine 2016, 34, 1665–1671. [Google Scholar] [CrossRef] [PubMed]
- Burtnick, M.N.; Shaffer, T.L.; Ross, B.N.; Muruato, L.A.; Sbrana, E.; DeShazer, D.; Torres, A.G.; Brett, P.J. Development of Subunit Vaccines that Provide High Level Protection and Sterilizing Immunity Against Acute Inhalational Melioidosis. Infect. Immun. 2017. [Google Scholar] [CrossRef] [PubMed]
- Torres, A.G.; Gregory, A.E.; Hatcher, C.L.; Vinet-Oliphant, H.; Morici, L.A.; Titball, R.W.; Roy, C.J. Protection of non-human primates against glanders with a gold nanoparticle glycoconjugate vaccine. Vaccine 2015, 33, 686–692. [Google Scholar] [CrossRef] [PubMed]
- Gregory, A.E.; Judy, B.M.; Qazi, O.; Blumentritt, C.A.; Brown, K.A.; Shaw, A.M.; Torres, A.G.; Titball, R.W. A gold nanoparticle-linked glycoconjugate vaccine against Burkholderia mallei. Nanomedicine 2015, 11, 447–456. [Google Scholar] [CrossRef] [PubMed]
- Nieves, W.; Petersen, H.; Judy, B.M.; Blumentritt, C.A.; Russell-Lodrigue, K.; Roy, C.J.; Torres, A.G.; Morici, L.A. A Burkholderia pseudomallei Outer Membrane Vesicle Vaccine Provides Protection against Lethal Sepsis. Clin. Vaccine Immunol. 2014, 21, 747–754. [Google Scholar] [CrossRef] [PubMed]
- Nieves, W.; Asakrah, S.; Qazi, O.; Brown, K.A.; Kurtz, J.; Aucoin, D.P.; McLachlan, J.B.; Roy, C.J.; Morici, L.A. A naturally derived outer-membrane vesicle vaccine protects against lethal pulmonary Burkholderia pseudomallei infection. Vaccine 2011, 29, 8381–8389. [Google Scholar] [CrossRef] [PubMed]
- Petersen, H.; Nieves, W.; Russell-Lodrigue, K.; Roy, C.J.; Morici, L.A. Evaluation of a Burkholderia Pseudomallei Outer Membrane Vesicle Vaccine in Nonhuman Primates. Procedia Vaccinol. 2014, 8, 38–42. [Google Scholar] [CrossRef] [PubMed]
- Muruato, L.A.; Tapia, D.; Hatcher, C.L.; Kalita, M.; Brett, P.J.; Gregory, A.E.; Samuel, J.E.; Titball, R.W.; Torres, A.G. The Use of Reverse Vaccinology in the Design and Construction of Nano-glycoconjugate Vaccines against Burkholderia pseudomallei. Clin. Vaccine Immunol. 2017, 24. [Google Scholar] [CrossRef] [PubMed]
- Bonnington, K.E.; Kuehn, M.J. Protein selection and export via outer membrane vesicles. Biochim. Biophys. Acta 2014, 1843, 1612–1619. [Google Scholar] [PubMed]
- Propst, K.L.; Mima, T.; Choi, K.-H.; Dow, S.W.; Schweizer, H.P. A Burkholderia pseudomallei ΔpurM mutant is avirulent in immunocompetent and immunodeficient animals: Candidate strain for exclusion from select-agent lists. Infect. Immun. 2010, 78, 3136–3143. [Google Scholar] [CrossRef] [PubMed]
- Wiersinga, W.J.; Currie, B.J.; Peacock, S.J. Melioidosis. N. Engl. J. Med. 2012, 367, 1035–1044. [Google Scholar] [CrossRef] [PubMed]
- Wiersinga, W.J.; van der Poll, T.; White, N.J.; Day, N.P.; Peacock, S.J. Melioidosis: Insights into the pathogenicity of Burkholderia pseudomallei. Nat. Rev. Microbiol. 2006, 4, 272–282. [Google Scholar] [PubMed]
- Roy, C.J.; Pitt, L. Infectious Disease Aerobiology: Aerosol Challenge. Methods. In Biodefense: Research Methodology and Animal Models; Swearengen, J.L., Ed.; CRC Press: Boca Raton, FL, USA, 2005; pp. 61–75. [Google Scholar]
- Hartings, J.M.; Roy, C.J. The automated bioaerosol exposure system: Preclinical platform development and a respiratory dosimetry application with nonhuman primates. J. Pharmacol. Toxicol. Methods 2004, 49, 39–55. [Google Scholar] [CrossRef] [PubMed]
- Limmathurotsakul, D.; Funnell, S.G.P.; Torres, A.G.; Morici, L.A.; Brett, P.J.; Dunachie, S.; Atkins, T.; Altmann, D.M.; Bancroft, G.; Peacock, S.J.; et al. Consensus on the development of vaccines against naturally acquired melioidosis. Emerg. Infect. Dis. 2015, 21. [Google Scholar] [CrossRef]
- DeShazer, D.; Waag, D.M.; Fritz, D.L.; Woods, D.E. Identification of a Burkholderia mallei polysaccharide gene cluster by subtractive hybridization and demonstration that the encoded capsule is an essential virulence determinant. Microb. Pathog. 2001, 30, 253–269. [Google Scholar] [CrossRef] [PubMed]
- Stone, J.K.; Mayo, M.; Grasso, S.A.; Ginther, J.L.; Warrington, S.D.; Allender, C.J.; Doyle, A.; Georgia, S.; Kaestli, M.; Broomall, S.M.; et al. Detection of Burkholderia pseudomallei O-antigen serotypes in near-neighbor species. BMC Microbiol. 2012, 12, 250. [Google Scholar] [CrossRef]
- Suttisunhakul, V.; Chantratita, N.; Wikraiphat, C.; Wuthiekanun, V.; Douglas, Z.; Day, N.P.J.; Limmathurotsakul, D.; Brett, P.J.; Burtnick, M.N. Evaluation of Polysaccharide-Based Latex Agglutination Assays for the Rapid Detection of Antibodies to Burkholderia pseudomallei. Am. J. Trop. Med. Hyg. 2015, 93, 542–546. [Google Scholar] [CrossRef]
- Sarkar-Tyson, M.; Smither, S.J.; Harding, S.V.; Atkins, T.P.; Titball, R.W. Protective efficacy of heat-inactivated Burkholderia thailandensis, B. mallei or B. pseudomallei against experimental melioidosis and glanders. Vaccine 2009, 27, 4447–4451. [Google Scholar] [CrossRef] [PubMed]
- Harland, D.N.; Dassa, E.; Titball, R.W.; Brown, K.A.; Atkins, H.S. ATP-binding cassette systems in Burkholderia pseudomallei and Burkholderia mallei. BMC Genom. 2007, 8, 83. [Google Scholar] [CrossRef] [PubMed]
- Worsham, P.; Waag, D.; Soffler, C.; Chance, T.; Raymond, J.L.; Trevnio, S.; Cote, C. The African Green Monkey as a Model for Glanders and Melioidosis. In Medical countermeasures to address intracellular bacterial pathogens. In Proceedings of the CBD S&T Conference, St. Louis, MO, USA, 12–14 May 2015. [Google Scholar]
- Rowland, C.A.; Lertmemongkolchai, G.; Bancroft, A.; Haque, A.; Lever, M.S.; Griffin, K.F.; Jackson, M.C.; Nelson, M.; O’Garra, A.; Grencis, R.; et al. Critical role of type 1 cytokines in controlling initial infection with Burkholderia mallei. Infect. Immun. 2006, 74, 5333–5340. [Google Scholar] [CrossRef] [PubMed]
- Bacher, P.; Scheffold, A. Flow-cytometric analysis of rare antigen-specific T cells. Cytom. A 2013, 83, 692–701. [Google Scholar]
- Titball, R.W. Vaccines against intracellular bacterial pathogens. Drug Discov. Today 2008, 13, 596–600. [Google Scholar] [CrossRef] [PubMed]
- Gorringe, A.R.; Pajón, R. Bexsero. Hum. Vaccines Immunother. 2014, 8, 174–183. [Google Scholar] [CrossRef] [PubMed]
- Toneatto, D.; Ismaili, S.; Ypma, E.; Vienken, K.; Oster, P.; Dull, P. The first use of an investigational multicomponent meningococcal serogroup B vaccine (4CMenB) in humans. Hum. Vaccines 2011, 7, 646–653. [Google Scholar] [CrossRef]
- Snape, M.D.; Dawson, T.; Oster, P.; Evans, A.; John, T.M.; Ohene-kena, B.; Findlow, J.; Yu, L.-M.; Borrow, R.; Ypma, E.; et al. Immunogenicity of Two Investigational Serogroup B Meningococcal Vaccines in the First Year of Life: A Randomized Comparative Trial. Pediatr. Infect. Dis. J. 2010, 29, e71–e79. [Google Scholar] [PubMed]
- Findlow, J.; Borrow, R.; Snape, M.D.; Dawson, T.; Holland, A.; John, T.M.; Evans, A.; Telford, K.L.; Ypma, E.; Toneatto, D.; et al. Multicenter, Open-Label, Randomized Phase II Controlled Trial of an Investigational Recombinant Meningococcal Serogroup B Vaccine with and Without Outer Membrane Vesicles, Administered in Infancy. Clin. Infect. Dis. 2010, 51, 1127–1137. [Google Scholar] [CrossRef] [PubMed]
- Alaniz, R.C.; Deatherage, B.L.; Lara, J.C.; Cookson, B.T. Membrane vesicles are immunogenic facsimiles of Salmonella typhimurium that potently activate dendritic cells, prime B and T cell responses, and stimulate protective immunity in vivo. J. Immunol. 2008, 180. [Google Scholar] [CrossRef]
- Adam Kulp, M.J.K. Biological Functions and Biogenesis of Secreted Bacterial Outer Membrane Vesicles. Ann. Rev. Microbiol. 2010, 64, 163–184. [Google Scholar] [CrossRef] [PubMed]
- United States Food and Drug Administration. Research Vaccines Licensed for Use in the United States. 2016. Available online: https://www.fda.gov/BiologicsBloodVaccines/Vaccines/ApprovedProducts/ucm431374.htm (accessed on 22 November 2017).









| Group | Animal ID | Gross Pathology | ||
|---|---|---|---|---|
| Lung | Spleen | Skin | ||
| Sham | KN25 | Fibrous pleural adhesions with associated hemorrhage and focal pneumonia | Normal appearance | 1.7 × 2 cm granulating ulcer present on the back |
| KR40 | Mild bronchopneumonia with focal areas of hemorrhage | 1–2 mm white foci near capsule | None | |
| KP06 | Marked areas of consolidation | 2× enlarged | None | |
| KL22 | Areas of consolidation suggestive of focal pneumonia | 3–4× enlarged | 2 cm ulcer on lower back | |
| OMV | KM81 | Ecchymotic hemorrhages | Normal appearance | None |
| KI62 | 1 cm granuloma | Normal appearance | None | |
| KH26 | Mild bronchopneumonia | Normal appearance | None | |
| KL67 | Mild bronchopneumonia | Normal appearance | None | |
| KP63 | Focal granulomatous pneumonia with pleuritis | Normal appearance | None | |
| KT28 | Focal granulomatous pneumonia with pleuritis | Normal appearance | None | |
© 2017 by the authors. Licensee MDPI, Basel, Switzerland. This article is an open access article distributed under the terms and conditions of the Creative Commons Attribution (CC BY) license (http://creativecommons.org/licenses/by/4.0/).
Share and Cite
Baker, S.M.; Davitt, C.J.H.; Motyka, N.; Kikendall, N.L.; Russell-Lodrigue, K.; Roy, C.J.; Morici, L.A. A Burkholderia pseudomallei Outer Membrane Vesicle Vaccine Provides Cross Protection against Inhalational Glanders in Mice and Non-Human Primates. Vaccines 2017, 5, 49. https://doi.org/10.3390/vaccines5040049
Baker SM, Davitt CJH, Motyka N, Kikendall NL, Russell-Lodrigue K, Roy CJ, Morici LA. A Burkholderia pseudomallei Outer Membrane Vesicle Vaccine Provides Cross Protection against Inhalational Glanders in Mice and Non-Human Primates. Vaccines. 2017; 5(4):49. https://doi.org/10.3390/vaccines5040049
Chicago/Turabian StyleBaker, Sarah M., Christopher J. H. Davitt, Natalya Motyka, Nicole L. Kikendall, Kasi Russell-Lodrigue, Chad J. Roy, and Lisa A. Morici. 2017. "A Burkholderia pseudomallei Outer Membrane Vesicle Vaccine Provides Cross Protection against Inhalational Glanders in Mice and Non-Human Primates" Vaccines 5, no. 4: 49. https://doi.org/10.3390/vaccines5040049
APA StyleBaker, S. M., Davitt, C. J. H., Motyka, N., Kikendall, N. L., Russell-Lodrigue, K., Roy, C. J., & Morici, L. A. (2017). A Burkholderia pseudomallei Outer Membrane Vesicle Vaccine Provides Cross Protection against Inhalational Glanders in Mice and Non-Human Primates. Vaccines, 5(4), 49. https://doi.org/10.3390/vaccines5040049

