Development of a Highly Sensitive and Specific Monoclonal Antibody Based on Indirect Competitive Enzyme-Linked Immunosorbent Assay for the Determination of Zearalenone in Food and Feed Samples
Abstract
:1. Introduction
2. Results and Discussion
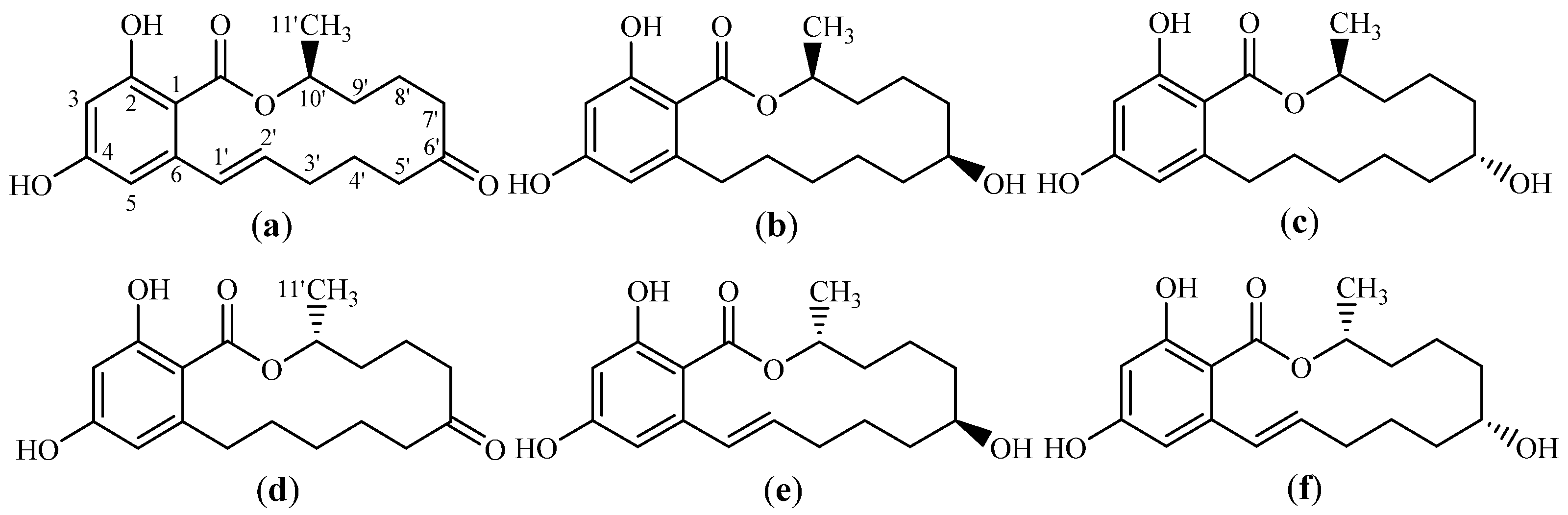
2.1. Characterization of Haptens and Conjugates
2.2. Preparation and Characterization of ZEN mAbs
2.3. icELISA Optimization and Establishment of the icELISA Standard Curve
2.4. Validation of the icELISA
3. Conclusions
4. Materials and Methods
4.1. Chemicals and Instruments
4.2. Experimental Animals and Cells
4.3. Synthesis and Identification of the 5-NH2-ZEN Hapten
4.4. Synthesis and Identification of Immunogen and Coating Antigen
4.5. Preparation and Characterization of the ZEN mAb
4.6. Development and Optimization of the icELISA
4.7. Validation of the icELISA
4.8. Sample Preparation
4.9. Data Statistics and Image Processing
Author Contributions
Funding
Institutional Review Board Statement
Informed Consent Statement
Data Availability Statement
Acknowledgments
Conflicts of Interest
References
- Zhang, X.; Eremin, S.A.; Wen, K.; Yu, X.; Li, C.; Ke, Y.; Jiang, H.; Shen, J.; Wang, Z. Fluorescence polarization immunoassay based on a new monoclonal antibody for the detection of the zearalenone class of mycotoxins in maize. J. Agric. Food Chem. 2017, 65, 2240–2247. [Google Scholar] [CrossRef] [PubMed]
- Rai, A.; Das, M.; Tripathi, A. Occurrence and toxicity of a fusarium mycotoxin, zearalenone. Crit. Rev. Food Sci. Nutr. 2020, 60, 2710–2729. [Google Scholar] [CrossRef] [PubMed]
- Rogowska, A.; Pomastowski, P.; Sagandykova, G.; Buszewski, B. Zearalenone and its metabolites: Effect on human health, metabolism and neutralisation methods. Toxicon 2019, 162, 46–56. [Google Scholar] [CrossRef] [PubMed]
- Borzekowski, A.; Anggriawan, R.; Auliyati, M.; Kunte, H.J.; Koch, M.; Rohn, S.; Karlovsky, P.; Maul, R. Formation of Zearalenone Metabolites in Tempeh Fermentation. Molecules 2019, 24, 2697. [Google Scholar] [CrossRef] [PubMed] [Green Version]
- Berek, L.; Petri, I.B.; Mesterházy, A.; Téren, J.; Molnár, J. Effects of mycotoxins on human immune functions in vitro. Toxicol. Vitr. 2001, 15, 25–30. [Google Scholar] [CrossRef]
- Ropejko, K.; Twarużek, M. Zearalenone and Its Metabolites-General Overview, Occurrence, and Toxicity. Toxins 2021, 13, 35. [Google Scholar] [CrossRef] [PubMed]
- Wang, Y.K.; Zou, Q.; Sun, J.H.; Wang, H.A.; Sun, X.; Chen, Z.F.; Yan, Y.X. Screening of single-stranded DNA (ssDNA) aptamers against a zearalenone monoclonal antibody and development of a ssDNA-based enzyme-linked oligonucleotide assay for determination of zearalenone in corn. J. Agric. Food Chem. 2015, 63, 136–141. [Google Scholar] [CrossRef]
- Cordeiro, F.; Baer, I.; Robouch, P.; Emteborg, H.; Can, S.Z.; Krata, A.; Zampella, M.; Quétel, C.R.; Hearn, R.; De la Calle, B. Setting maximum limits for trace elements in baby food in European legislation: The outcome of International Measurement Evaluation Programme®-33. Food Addit. Contam. Part A Chem. Anal. Control Expo. Risk Assess. 2013, 30, 678–686. [Google Scholar] [CrossRef]
- Bertuzzi, T.; Camardo Leggieri, M.; Battilani, P.; Pietri, A. Co-occurrence of type A and B trichothecenes and zearalenone in wheat grown in northern Italy over the years 2009–2011. Food Addit. Contam. Part B Surveill. 2014, 7, 273–281. [Google Scholar] [CrossRef]
- Tan, D.C.; Flematti, G.R.; Ghisalberti, E.L.; Sivasithamparam, K.; Chakraborty, S.; Obanor, F.; Barbetti, M.J. Mycotoxins produced by Fusarium species associated with annual legume pastures and ‘sheep feed refusal disorders’ in Western Australia. Mycotoxin Res. 2011, 27, 123–135. [Google Scholar] [CrossRef]
- Huang, J.N.; Zhao, J. Public proposals put forward by The National Health and Family Planning Commission in 2017. Chin. J. Med. Libr. Inf. Sci. 2018, 27, 7. [Google Scholar] [CrossRef]
- Klarić, M.S.; Cvetnić, Z.; Pepeljnjak, S.; Kosalec, I. Co-occurrence of aflatoxins, ochratoxin A, fumonisins, and zearalenone in cereals and feed, determined by competitive direct enzyme-linked immunosorbent assay and thin-layer chromatography. Arh. Hig. Rada Toksikol. 2009, 60, 427–434. [Google Scholar] [CrossRef] [PubMed] [Green Version]
- Thongprapai, P.; Cheewasedtham, W.; Chong, K.F.; Rujiralai, T. Selective magnetic nanographene oxide solid-phase extraction with high-performance liquid chromatography and fluorescence detection for the determination of zearalenone in corn samples. J. Sep. Sci. 2018, 41, 4348–4354. [Google Scholar] [CrossRef]
- Kinani, S.; Bouchonnet, S.; Bourcier, S.; Porcher, J.M.; Aït-Aïssa, S. Study of the chemical derivatization of zearalenone and its metabolites for gas chromatography-mass spectrometry analysis of environmental samples. J. Chromatogr. A 2008, 1190, 307–315. [Google Scholar] [CrossRef] [PubMed]
- Sun, S.; Yao, K.; Zhao, S.; Zheng, P.; Wang, S.; Zeng, Y.; Liang, D.; Ke, Y.; Jiang, H. Determination of aflatoxin and zearalenone analogs in edible and medicinal herbs using a group-specific immunoaffinity column coupled to ultra-high-performance liquid chromatography with tandem mass spectrometry. J. Chromatogr. B Analyt. Technol. Biomed. Life Sci. 2018, 1092, 228–236. [Google Scholar] [CrossRef] [PubMed]
- Selvaraj, J.N.; Wang, Y.; Zhou, L.; Zhao, Y.; Xing, F.; Dai, X.; Liu, Y. Recent mycotoxin survey data and advanced mycotoxin detection techniques reported from China: A review. Food Addit. Contam. Part A Chem. Anal. Control Expo. Risk Assess. 2015, 32, 440–452. [Google Scholar] [CrossRef] [PubMed]
- Beyene, A.M.; Du, X.; Schrunk, D.E.; Ensley, S.; Rumbeiha, W.K. High-performance liquid chromatography and Enzyme-Linked Immunosorbent Assay techniques for detection and quantification of aflatoxin B(1) in feed samples: A comparative study. BMC Res. Notes 2019, 12, 492. [Google Scholar] [CrossRef]
- Yang, Y.Y.; Wang, Y.; Zhang, Y.F.; Wang, F.; Liang, Y.F.; Yang, J.Y.; Xu, Z.L.; Shen, Y.D.; Wang, H. Nanobody-Based Indirect Competitive ELISA for Sensitive Detection of 19-Nortestosterone in Animal Urine. Biomolecules 2021, 11, 167. [Google Scholar] [CrossRef] [PubMed]
- Gefen, T.; Vaya, J.; Khatib, S.; Rapoport, I.; Lupo, M.; Barnea, E.; Admon, A.; Heller, E.D.; Aizenshtein, E.; Pitcovski, J. The effect of haptens on protein-carrier immunogenicity. Immunology 2015, 144, 116–126. [Google Scholar] [CrossRef] [PubMed] [Green Version]
- Sun, Y.; Hu, X.; Zhang, Y.; Yang, J.; Wang, F.; Wang, Y.; Deng, R.; Zhang, G. Development of an immunochromatographic strip test for the rapid detection of zearalenone in corn. J. Agric. Food Chem. 2014, 62, 11116–11121. [Google Scholar] [CrossRef] [PubMed]
- Dong, G.; Pan, Y.; Wang, Y.; Ahmed, S.; Liu, Z.; Peng, D.; Yuan, Z. Preparation of a broad-spectrum anti-zearalenone and its primary analogues antibody and its application in an indirect competitive enzyme-linked immunosorbent assay. Food Chem. 2018, 247, 8–15. [Google Scholar] [CrossRef] [PubMed]
- Liu, N.; Nie, D.; Zhao, Z.; Meng, X.; Wu, A. Ultrasensitive immunoassays based on biotin–streptavidin amplified system for quantitative determination of family zearalenones. Food Control 2015, 57, 202–209. [Google Scholar] [CrossRef]
- Burmistrova, N.A.; Goryacheva, I.Y.; Basova, E.Y.; Franki, A.S.; Elewaut, D.; Van Beneden, K.; Deforce, D.; Van Peteghem, C.; De Saeger, S. Application of a new anti-zearalenone monoclonal antibody in different immunoassay formats. Anal. Bioanal. Chem. 2009, 395, 1301–1307. [Google Scholar] [CrossRef] [PubMed]
- Burkin, A.A.; Kononenko, G.P.; Soboleva, N.A. Production and analytical properties of antibodies with high specificity to zearalenone. Prikl. Biokhim. Mikrobiol. 2002, 38, 305–311. [Google Scholar] [PubMed]
- Gao, Y.; Yang, M.; Peng, C.; Li, X.; Cai, R.; Qi, Y. Preparation of highly specific anti-zearalenone antibodies by using the cationic protein conjugate and development of an indirect competitive enzyme-linked immunosorbent assay. Analyst 2012, 137, 229–236. [Google Scholar] [CrossRef] [PubMed]
- Teshima, R.; Kawase, M.; Tanaka, T.; Hirai, K.; Sato, M.; Sawada, J.; Ikebuchi, H.; Ichinoe, M.; Terao, T. Production and characterization of a specific monoclonal antibody against mycotoxin zearalenone. J. Agric. Food Chem. 1990, 38, 1618–1622. [Google Scholar] [CrossRef]
- Ni, T.; Peng, D.; Wang, Y.; Pan, Y.; Xie, S.; Chen, D.; Wang, Y.; Tao, Y.; Yuan, Z. Development of a broad-spectrum monoclonal antibody-based indirect competitive enzyme-linked immunosorbent assay for the multi-residue detection of avermectins in edible animal tissues and milk. Food Chem. 2019, 286, 234–240. [Google Scholar] [CrossRef] [PubMed]
- Monbaliu, S.; Van Poucke, C.; Detavernier, C.; Dumoulin, F.; Van De Velde, M.; Schoeters, E.; Van Dyck, S.; Averkieva, O.; Van Peteghem, C.; De Saeger, S. Occurrence of mycotoxins in feed as analyzed by a multi-mycotoxin LC-MS/MS method. J. Agric. Food Chem. 2010, 58, 66–71. [Google Scholar] [CrossRef] [PubMed]
- Thongrussamee, T.; Kuzmina, N.S.; Shim, W.B.; Jiratpong, T.; Eremin, S.A.; Intrasook, J.; Chung, D.H. Monoclonal-based enzyme-linked immunosorbent assay for the detection of zearalenone in cereals. Food Addit. Contam. Part A Chem. Anal. Control Expo. Risk Assess. 2008, 25, 997–1006. [Google Scholar] [CrossRef] [PubMed]
- Wang, Y.; Wang, X.; Zhang, H.; Jiang, J.; Fotina, H. Synthesis of Zearalenone Immunogen and Comparative Analysis of Antibody Characteristics. Int. J. Anal. Chem. 2021, 2021, 7109383. [Google Scholar] [CrossRef]
- Cui, Y.; Zhao, J.; Zhou, J.; Tan, G.; Zhao, Q.; Zhang, Y.; Wang, B.; Jiao, B. Development of a sensitive monoclonal antibody-based indirect competitive enzyme-linked immunosorbent assay for analysing nobiletin in citrus and herb samples. Food Chem. 2019, 293, 144–150. [Google Scholar] [CrossRef] [PubMed]
- Li, P.; Wu, J.; Zhang, L.; Fan, Z.; Yu, T.; Jiang, F.; Tang, X.; Zhang, Z.; Zhang, W.; Zhang, Q. Doses of Immunogen Contribute to Specificity Spectrums of Antibodies against Aflatoxin. Toxins 2017, 9, 172. [Google Scholar] [CrossRef] [PubMed] [Green Version]
- Gao, Y.; Huang, X.; Zhu, Y.; Lv, Z. A brief review of monoclonal antibody technology and its representative applications in immunoassays. J. Immunoass. Immunochem. 2018, 39, 351–364. [Google Scholar] [CrossRef] [PubMed]
- Wang, Z.; Zheng, P.; Wang, J.; He, S.; Ren, Z.; Zhang, Y.; Xiong, J.; Jiang, H. Indirect competitive enzyme-linked immunosorbent assay based on a broad-spectrum monoclonal antibody for tropane alkaloids detection in pig urine, pork and cereal flours. Food Chem. 2021, 337, 127617. [Google Scholar] [CrossRef] [PubMed]
- Imtiaz, N.; Yunus, A.W. Comparison of Some ELISA Kits for Aflatoxin M(1) Quantification. J. AOAC Int. 2019, 102, 677–679. [Google Scholar] [CrossRef] [PubMed]
- Beatty, J.D.; Beatty, B.G.; Vlahos, W.G. Measurement of monoclonal antibody affinity by non-competitive enzyme immunoassay. J. Immunol. Methods 1987, 100, 173–179. [Google Scholar] [CrossRef]
- Zhou, Y.; Wang, P.; Wang, L.; Fu, Z. Chemiluminescent detection integrated with microdialysis sampling for label-free measuring the affinity of ractopamine monoclonal antibody. Spectrochim. Acta A Mol. Biomol. Spectrosc. 2018, 201, 19–23. [Google Scholar] [CrossRef]
- Ling, S.; Zhao, Q.; Iqbal, M.N.; Dong, M.; Li, X.; Lin, M.; Wang, R.; Lei, F.; He, C.; Wang, S. Development of immunoassay methods based on monoclonal antibody and its application in the determination of cadmium ion. J. Hazard. Mater. 2021, 411, 124992. [Google Scholar] [CrossRef]
- Wang, Y.; Wang, X.; Zhang, H.; Fotina, H.; Jiang, J. Preparation and Characterization of Monoclonal Antibodies with High Affinity and Broad Class Specificity against Zearalenone and Its Major Metabolites. Toxins 2021, 13, 383. [Google Scholar] [CrossRef]
- Han, X.; Sheng, F.; Kong, D.; Wang, Y.; Pan, Y.; Chen, M.; Tao, Y.; Liu, Z.; Ahmed, S.; Yuan, Z.; et al. Broad-spectrum monoclonal antibody and a sensitive multi-residue indirect competitive enzyme-linked immunosorbent assay for the antibacterial synergists in samples of animal origin. Food Chem. 2019, 280, 20–26. [Google Scholar] [CrossRef]
- Ertekin, Ö.; Kaymak, T.; Pirinçci, Ş.; Akçael, E.; Öztürk, S. Aflatoxin-specific monoclonal antibody selection for immunoaffinity column development. Biotechniques 2019, 66, 261–268. [Google Scholar] [CrossRef] [PubMed] [Green Version]
- Fu, X.; Wang, X.; Cui, Y.; Wang, A.; Lai, D.; Liu, Y.; Li, Q.X.; Wang, B.; Zhou, L. A monoclonal antibody-based enzyme-linked immunosorbent assay for detection of ustiloxin A in rice false smut balls and rice samples. Food Chem. 2015, 181, 140–145. [Google Scholar] [CrossRef] [PubMed]
- Orcajo, J.; Lavilla, M.; Martínez-de-Marañón, I. Specific and sensitive ELISA for measurement of IgE-binding variations of milk allergen β-lactoglobulin in processed foods. Anal. Chim. Acta 2019, 1052, 163–169. [Google Scholar] [CrossRef] [PubMed]
- He, K.; Mao, Q.; Zang, X.; Zhang, Y.; Li, H.; Zhang, D. Production of a broad-specificity monoclonal antibody and application as a receptor to detection amatoxins in mushroom. Biologicals 2017, 49, 57–61. [Google Scholar] [CrossRef]
- Li, H.; Ma, S.; Zhang, X.; Li, C.; Dong, B.; Mujtaba, M.G.; Wei, Y.; Liang, X.; Yu, X.; Wen, K.; et al. Generic Hapten Synthesis, Broad-Specificity Monoclonal Antibodies Preparation, and Ultrasensitive ELISA for Five Antibacterial Synergists in Chicken and Milk. J. Agric. Food Chem. 2018, 66, 11170–11179. [Google Scholar] [CrossRef]
- Han, L.; Li, Y.T.; Jiang, J.Q.; Li, R.F.; Fan, G.Y.; Lv, J.M.; Zhou, Y.; Zhang, W.J.; Wang, Z.L. Development of a Direct Competitive ELISA Kit for Detecting Deoxynivalenol Contamination in Wheat. Molecules 2019, 25, 50. [Google Scholar] [CrossRef] [Green Version]
- Liu, Y.Z.; Zhao, G.X.; Liu, J.; Zhang, H.C.; Wang, P.; Wang, J.P. Synthesis of novel haptens against ciprofloxacin and production of generic monoclonal antibodies for immunoscreening of fluoroquinolones in meat. J. Sci. Food Agric. 2013, 93, 1370–1377. [Google Scholar] [CrossRef] [PubMed]
- Jiang, J.Q.; Zhang, H.T.; Zhang, H.H.; Wang, Z.L.; Yang, X.F.; Fan, G.Y. Development of an enzyme-linked immunosorbent assay for detection of clopidol residues in chicken tissues. J. Sci. Food Agric. 2014, 94, 2295–2300. [Google Scholar] [CrossRef]
- Zhang, Y.; Li, S.; Peng, T.; Zheng, P.; Wang, Z.; Ling, Z.; Jiang, H. One-step icELISA developed with novel antibody for rapid and specific detection of diclazuril residue in animal-origin foods. Food Addit. Contam. Part A Chem. Anal. Control Expo. Risk Assess. 2020, 37, 1633–1639. [Google Scholar] [CrossRef]
- Lee, M.J.; Ramanathan, S.; Mansor, S.M.; Tan, S.C. Development of an ELISA for detection of mitragynine and its metabolites in human urine. Anal. Biochem. 2020, 599, 113733. [Google Scholar] [CrossRef] [PubMed]











| Compound | 2B6 | 4D9 | 1A10 | 4G8 | ||||
|---|---|---|---|---|---|---|---|---|
| IC50 (μg/L) a,b | CR (%) c | IC50 (μg/L) a,b | CR (%) c | IC50 (μg/L) a,b | CR (%) c | IC50 (μg/L) a,b | CR (%) c | |
| ZEN | 10.38 | 100 | 17.23 | 100 | 19.87 | 100 | 27.05 | 100 |
| α-ZAL | 682.89 | 1.52 | 1057.06 | 1.63 | 296.13 | 6.71 | 379.92 | 7.12 |
| β-ZAL | 810.94 | 1.28 | 1276.30 | 1.35 | 299.25 | 6.64 | 390.33 | 6.93 |
| α-ZOL | 393.18 | 2.64 | 602.45 | 2.86 | 176.62 | 11.25 | 231.99 | 11.66 |
| β-ZOL | 567.21 | 1.83 | 857.21 | 2.01 | 243.51 | 8.16 | 317.49 | 8.52 |
| ZON | 243.09 | 4.27 | 353.07 | 4.88 | 103.12 | 19.12 | 132.86 | 20.36 |
| Aflatoxin B1 | >10,000 | <1 | >10,000 | <1 | >10,000 | <1 | >10,000 | <1 |
| Deoxynivalenol | >10,000 | <1 | >10,000 | <1 | >10,000 | <1 | >10,000 | <1 |
| T-2 toxin | >10,000 | <1 | >10,000 | <1 | >10,000 | <1 | >10,000 | <1 |
| Ochratoxin | >10,000 | <1 | >10,000 | <1 | >10,000 | <1 | >10,000 | <1 |
| References | ZEN Antibody | Coupling Method | Immunoassay Format | IC50 of ZEN (μg/L) | CR (%) a | ||||
|---|---|---|---|---|---|---|---|---|---|
| α-ZAL | β-ZAL | α-ZOL | β-ZOL | ZON | |||||
| This study | ZEN mAb 2B6 | AGA | icELISA b | 10.38 | 1.52 | 1.28 | 2.64 | 1.83 | 4.27 |
| ZEN mAb 1A10 | AD | icELISA | 19.87 | 6.71 | 6.64 | 11.25 | 8.16 | 19.12 | |
| Sun et al. (2014) [20] | ZEN mAb 4A3-F9 | BDE | icELISA | 1.115 | 3.854 | 1.709 | 2.499 | 2.800 | 53.121 |
| Dong et al. (2018) [21] | ZEN mAb 6C2 | OAE | icELISA | 0.114 | 89.48 | 39.26 | 99.22 | 55.45 | 44.34 |
| Burmistrova et al. (2009) [23] | ZEN mAb 2D8 | OAE | dcELISA c | 0.8 | 69 | <1 | 42 | <1 | 22 |
| Liu et al. (2015) [22] | ZEN mAb 7B2 | OAE | BA-ELISA d | 0.18 | 46.7 | 39.2 | 60.5 | 24.7 | 59.5 |
| Burkin et al. (2002) [24] | ZEN pAb | FA | icELISA | 31.7 | 0.12 | - | 0.15 | 0.02 | - |
| Gao et al. (2012) [25] | ZEN pAb | FA | icELISA | 233.35 | 2.25 | 5.65 | 3.14 | 1.96 | 6.79 |
| ZEN mAb # | FA | icELISA | 55.72 | 0.63 | 0.92 | 0.65 | 0.94 | 1.48 | |
| Teshima et al. (1990) [26] | ZEN mAb 7-1-144 | AGA | icELISA | 11.2 | <0.1 | <0.1 | 0.9 | <0.1 | 4.0 |
| Samples | ZEN Spiked (μg/L) | Inner Batch | Among Batches | ||||
|---|---|---|---|---|---|---|---|
| Measured Value (μg/L) a | Recovery (%) b | CV (%) a,c | Measured Value (μg/L) a | Recovery (%) b | CV (%) a,c | ||
| Maize meal d | 10 | 10.34 ± 1.13 | 103.4 | 13.7 | 10.21 ± 0.98 | 102.1 | 13.5 |
| 20 | 19.34 ± 1.56 | 96.7 | 12.5 | 19.48 ± 1.36 | 97.4 | 12.4 | |
| 40 | 37.44 ± 2.21 | 93.5 | 11.3 | 37.68 ± 1.86 | 94.2 | 12.4 | |
| 80 | 72.16 ± 2.87 | 90.2 | 13.6 | 72.41 ± 2.11 | 90.5 | 11.8 | |
| Wheat meal e | 10 | 9.77 ± 1.42 | 97.7 | 12.9 | 9.81 ± 0.86 | 98.1 | 13.5 |
| 20 | 18.82 ± 173 | 94.1 | 13.4 | 18.92 ± 1.28 | 94.6 | 13.3 | |
| 40 | 36.91 ± 2.43 | 92.3 | 12.6 | 37.24 ± 1.83 | 93.1 | 12.6 | |
| 80 | 71.84 ± 3.04 | 89.8 | 11.3 | 72.72 ± 2.41 | 90.9 | 11.7 | |
| Pig feed f | 10 | 10.67 ± 1.41 | 106.7 | 14.2 | 10.47 ± 1.22 | 104.7 | 14.6 |
| 20 | 20.46 ± 1.87 | 102.3 | 13.8 | 19.74 ± 1.41 | 98.7 | 13.2 | |
| 40 | 38.64 ± 2.61 | 96.6 | 12.4 | 36.72 ± 1.74 | 91.8 | 12.7 | |
| 80 | 73.84 ± 3.56 | 92.3 | 11.5 | 71.44 ± 2.46 | 89.3 | 13.8 | |
| Samples | Sample Number | Positive Sample Number | Positive Rate (%) | Positive Sample Content Range (μg/L) | CV (%) | ||
|---|---|---|---|---|---|---|---|
| icELISA a | HPLC-MS/MS b | icELISA a | HPLC-MS/MS b | ||||
| Maize meal | 6 | 2 | 2 | 33.33 | 5.62–48.73 | 5.45–47.21 | 9.7 |
| Wheat meal | 6 | 1 | 1 | 16.67 | 23.51 | 22.84 | 11.2 |
| Pig feed | 6 | 2 | 2 | 33.33 | 21.42–64.36 | 20.78–62.81 | 10.1 |
| Positive maize meal | 2 | 2 | 2 | 100 | 24.62–66.35 | 23.15–36.42 | 9.8 |
| Positive pig feed | 2 | 2 | 2 | 100 | 37.22–71.54 | 36.38–71.69 | 10.6 |
| Total | 22 | 9 | 9 | 40.91 | 5.62–71.54 | 5.45–71.69 | 9.8–11.2 |
Publisher’s Note: MDPI stays neutral with regard to jurisdictional claims in published maps and institutional affiliations. |
© 2022 by the authors. Licensee MDPI, Basel, Switzerland. This article is an open access article distributed under the terms and conditions of the Creative Commons Attribution (CC BY) license (https://creativecommons.org/licenses/by/4.0/).
Share and Cite
Wang, Y.; Wang, X.; Wang, S.; Fotina, H.; Wang, Z. Development of a Highly Sensitive and Specific Monoclonal Antibody Based on Indirect Competitive Enzyme-Linked Immunosorbent Assay for the Determination of Zearalenone in Food and Feed Samples. Toxins 2022, 14, 220. https://doi.org/10.3390/toxins14030220
Wang Y, Wang X, Wang S, Fotina H, Wang Z. Development of a Highly Sensitive and Specific Monoclonal Antibody Based on Indirect Competitive Enzyme-Linked Immunosorbent Assay for the Determination of Zearalenone in Food and Feed Samples. Toxins. 2022; 14(3):220. https://doi.org/10.3390/toxins14030220
Chicago/Turabian StyleWang, Yanan, Xiaofei Wang, Shuyun Wang, Hanna Fotina, and Ziliang Wang. 2022. "Development of a Highly Sensitive and Specific Monoclonal Antibody Based on Indirect Competitive Enzyme-Linked Immunosorbent Assay for the Determination of Zearalenone in Food and Feed Samples" Toxins 14, no. 3: 220. https://doi.org/10.3390/toxins14030220
APA StyleWang, Y., Wang, X., Wang, S., Fotina, H., & Wang, Z. (2022). Development of a Highly Sensitive and Specific Monoclonal Antibody Based on Indirect Competitive Enzyme-Linked Immunosorbent Assay for the Determination of Zearalenone in Food and Feed Samples. Toxins, 14(3), 220. https://doi.org/10.3390/toxins14030220

