Dark Current Modeling for a Polyimide—Amorphous Lead Oxide-Based Direct Conversion X-ray Detector
Abstract
:1. Introduction
2. Materials and Methods
2.1. Dector Fabrication
2.2. Experimental Setup—Temporal Performance and Sensitivity Characterization
2.3. Experimental Setup—DC Kinetics
3. Results
3.1. Temporal Performance and Sensitivity Characterization
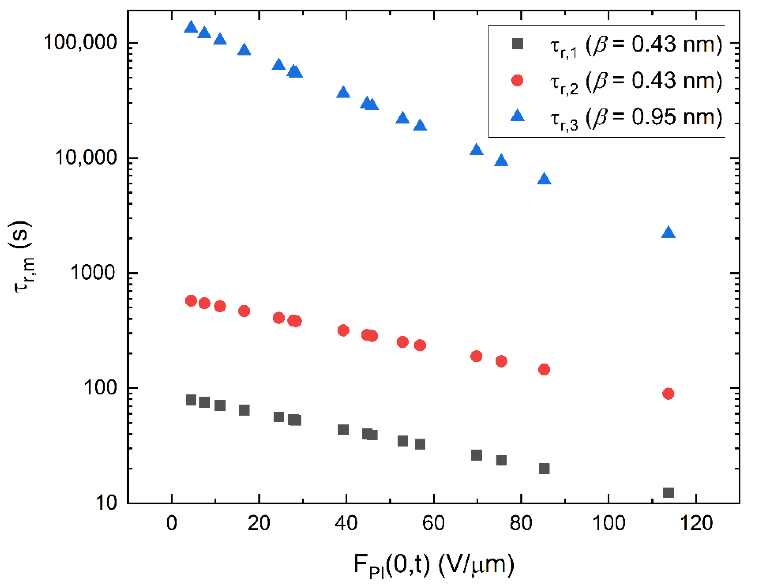
3.2. DC Kinetics
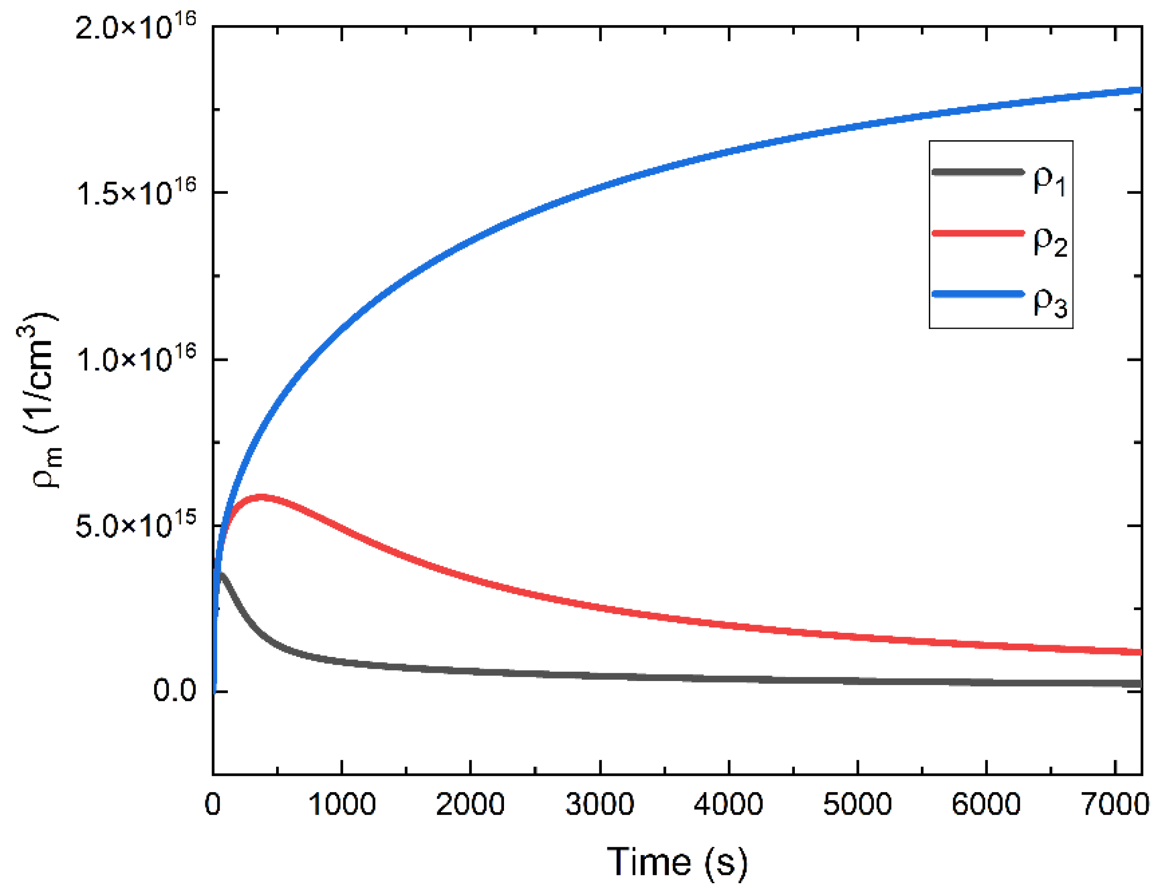
3.3. Mathematical Model
4. Discussion
5. Conclusions
Author Contributions
Funding
Institutional Review Board Statement
Informed Consent Statement
Data Availability Statement
Acknowledgments
Conflicts of Interest
References
- Kasap, S.; Frey, J.B.; Belev, G.; Tousignant, O.; Mani, H.; Greenspan, J.; Laperriere, L.; Bubon, O.; Reznik, A.; DeCrescenzo, G.; et al. Amorphous and Polycrystalline Photoconductors for Direct Conversion Flat Panel X-Ray Image Sensors. Sensors 2011, 11, 5112–5157. [Google Scholar] [CrossRef] [PubMed] [Green Version]
- Zentai, G. Comparison of CMOS and a-Si flat panel imagers for X-ray imaging. In Proceedings of the 2011 IEEE International Conference on Imaging Systems and Techniques, Batu Ferringhi, Malaysia, 17–18 May 2011; pp. 194–200. [Google Scholar] [CrossRef]
- Rowlands, J.; Yorkston, J. Flat Panel Detectors for Digital Radiography. In Handbook of Medical Imaging; Beutel, J., Kundel, H., van Metter, R., Eds.; SPIE Press: Bellingham, WA, USA, 2000; Volume 1, pp. 223–313. [Google Scholar]
- Frey, J.B.; Belev, G.; Tousignant, O.; Mani, H.; Laperriere, L.; Kasap, S.O. Dark current in multilayer stabilized amorphous selenium based photoconductive x-ray detectors. J. Appl. Phys. 2012, 112, 1–10. [Google Scholar] [CrossRef]
- Grynko, O.; Thibault, T.; Pineau, E.; Reznik, A. Engineering of a Blocking Layer Structure for Low-Lag Operation of the a-PbO-Based X-Ray Detector. IEEE Trans. Electron. Dev. 2021, 68, 2335–2341. [Google Scholar] [CrossRef]
- Kabir, M.Z.; Imam, S.A. Determination of deep trapping states of the hole blocking layer in multilayer amorphous selenium X-ray detectors using transient dark current analysis. Can. J. Phys. 2014, 92, 641–644. [Google Scholar] [CrossRef]
- Loustauneau, V.; Bissonnette, M.; Cadieux, S.; Hansroul, M.; Masson, E.; Savard, S.; Polischuk, B.; Lehtimauki, M. Imaging performance of a clinical selenium flat-panel detector for advanced applications in full-field digital mammography. In Medical Imaging 2003: Physics of Medical Imaging; SPIE: Bellingham, WA, USA, 2003; Volume 5030, p. 1010. [Google Scholar] [CrossRef]
- Dash, I. Preparation & Characterization of n-Type Amorphous Se Films as Blocking Layers in a-Se X-ray Detectors. Master’s Thesis, University of Saskatchewan, Saskatoon, SK, Canada, 2009. [Google Scholar]
- Belev, G.S. Electrical Properties of Amorphous Selenium Based Photoconductive Devices for Application in X-ray Image Detectors. Ph.D. Thesis, University of Saskatchewan, Saskatoon, SK, Canada, 2007. [Google Scholar]
- Abbaszadeh, S.; Allec, N.; Ghanbarzadeh, S.; Shafique, U.; Karim, K.S. Investigation of hole-blocking contacts for high-conversion-gain amorphous selenium detectors for X-ray imaging. IEEE Trans. Electron. Dev. 2012, 59, 2383–2389. [Google Scholar] [CrossRef]
- Bubon, O. Amorphous Selenium (a-Se) Avalanche Photodetector for Applications in Positron Emission Tomography (PET). Master’s Thesis, Lakehead University, Thunder Bay, ON, Canada, 2011. [Google Scholar]
- Huang, H.; Abbaszadeh, S. Recent Developments of Amorphous Selenium-Based X-Ray Detectors: A Review. IEEE Sens. J. 2020, 20, 1694–1704. [Google Scholar] [CrossRef]
- Kikuchi, K.; Ohkawa, Y.; Miyakawa, K.; Matsubara, T.; Tanioka, K.; Kubota, M.; Egami, N. Hole-blocking mechanism in high-gain avalanche rushing amorphous photoconductor (HARP) film. Phys. Status Solid. Curr. Top. Solid State Phys. 2011, 8, 2800–2803. [Google Scholar] [CrossRef]
- Abbaszadeh, S.; Scott, C.C.; Bubon, O.; Reznik, A.; Karim, K.S. Enhanced detection efficiency of direct conversion x-ray detector using polyimide as hole-blocking layer. Sci. Rep. 2013, 3, 3360. [Google Scholar] [CrossRef] [Green Version]
- Camlica, A.; Kabir, M.Z.; Liang, J.; Levine, P.M.; Lee, D.L.; Karim, K.S. Use of Pulse-Height Spectroscopy to Characterize the Hole Conduction Mechanism of a Polyimide Blocking Layer Used in Amorphous-Selenium Radiation Detectors. IEEE Trans. Electron. Dev. 2020, 67, 633–639. [Google Scholar] [CrossRef]
- Grynko, O.; Thibault, T.; Pineau, E.; Reznik, A. The X-ray sensitivity of an amorphous lead oxide photoconductor. Sensors 2021, 21, 7321. [Google Scholar] [CrossRef]
- Semeniuk, O.; Reznik, A.; Sukhovatkin, V. Amorphous Lead Oxide Based Energy Detection Devices and Methods of Manufacture. U.S. Patent No. 10,163,970, 25 December 2018. [Google Scholar]
- Grynko, O.; Thibault, T.; Pineau, E.; Juska, G.; Reznik, A. Bilayer lead oxide X-ray photoconductor for lag-free operation. Sci. Rep. 2020, 10, 20117. [Google Scholar] [CrossRef] [PubMed]
- Semeniuk, O.; Grynko, O.; Juska, G.; Reznik, A. Amorphous lead oxide (a-PbO): Suppression of signal lag via engineering of the layer structure. Sci. Rep. 2017, 7, 13272. [Google Scholar] [CrossRef] [PubMed]
- Semeniuk, O.; Csik, A.; Kökényesi, S.; Reznik, A. Ion-assisted deposition of amorphous PbO layers. J. Mater. Sci. 2017, 52, 7937–7946. [Google Scholar] [CrossRef] [Green Version]
- Bushberg, J.; Seibert, A.; Leidholdt, E.; Boone, J. The Essential Physics for Medical Imaging, 2nd ed.; Lippincott Williams and Wilkins: Philadelphia, PA, USA, 2002. [Google Scholar]
- Semeniuk, O.; Grynko, G.; Decrescenzo, G.; Juska, G.; Wang, K.; Reznik, A. Characterization of polycrystalline lead oxide for application in direct conversion X-ray detectors. Sci. Rep. 2017, 7, 8659. [Google Scholar] [CrossRef]
- Simon, M.; Ford, R.; Franklin, A.; Grabowski, S.; Menser, B.; Much, G.; Nascetti, A.; Overdick, M.; Powell, M.; Wiechert, D. Analysis of lead oxide (PbO) layers for direct conversion X-ray detection. IEEE Trans. Nucl. Sci. 2005, 52, 2035–2040. [Google Scholar] [CrossRef]
- Mahmood, S.A.; Kabir, M.Z. Dark current mechanisms in stabilized amorphous selenium based n-i detectors for x-ray imaging applications. J. Vac. Sci. Technol. A Vac. Surf. Film 2011, 29, 031603. [Google Scholar] [CrossRef]
- Mahmood, S.A.; Kabir, M.Z.; Tousignant, O.; Mani, H.; Greenspan, J.; Botka, P. Dark current in multilayer amorphous selenium x-ray imaging detectors. Appl. Phys. Lett. 2008, 92, 223506. [Google Scholar] [CrossRef]
- Semeniuk, O.; Juska, G.; Oelerich, J.O.; Jandieri, K.; Baranovskii, S.D.; Reznik, A. Transport of electrons in lead oxide studied by CELIV technique. J. Phys. D. Appl. Phys. 2017, 50, 035103. [Google Scholar] [CrossRef]
- Semeniuk, O.; Juska, G.; Oelerich, J.O.; Wiemer, M.; Baranovskii, S.D.; Reznik, A. Charge transport mechanism in lead oxide revealed by CELIV technique. Sci. Rep. 2016, 6, 33359. [Google Scholar] [CrossRef]
- Min, D.; Li, S.; Cho, M.; Khan, A.R. Investigation into surface potential decay of polyimide by unipolar charge transport model. IEEE Trans. Plasma Sci. 2013, 41, 3349–3358. [Google Scholar] [CrossRef]
- Koughia, K.; Shakoor, Z.; Kasap, S.O.; Marshall, J.M. Density of localized electronic sates in a-Se from electron time-of-flight photocurrent measurements. J. Appl. Phys. 2005, 97, 3. [Google Scholar] [CrossRef]
- Nenashev, A.V.; Valkovskii, V.V.; Oelerich, J.O.; Dvurechenskii, A.V.; Semeniuk, O.; Reznik, A.; Gebhard, F.; Baranovskii, S.D. Release of carriers from traps enhanced by hopping. Phys. Rev. B 2018, 98, 155207. [Google Scholar] [CrossRef]
- Nenashev, A.V.; Oelerich, J.O.; Jandieri, K.; Valkovskii, V.V.; Semeniuk, O.; Dvurechenskii, A.V.; Gebhard, F.; Juška, G.; Reznik, A.; Baranovskii, S.D. Field-enhanced mobility in the multiple-trapping regime. Phys. Rev. B 2018, 98, 035201. [Google Scholar] [CrossRef]
- HD MicroSystems. PI-2600 Series—Low Stress Applications; HD MicroSystems: Sayreville, NJ, USA, 2009; Volume 8, pp. 1–2. [Google Scholar]
- Qamar, A.; Leblanc, K.; Semeniuk, O.; Reznik, A.; Lin, J.; Pan, Y.; Moewes, A. X-ray spectroscopic study of amorphous and polycrystalline PbO films, α-PbO, and β-PbO for direct conversion imaging. Sci. Rep. 2017, 7, 13159. [Google Scholar] [CrossRef] [PubMed]
- Qamar, A.; Amin, M.R.; Grynko, O.; Semeniuk, O.; Reznik, A.; Moewes, A. A Probe of Valence and Conduction Band Electronic Structure of Lead Oxide Films for Photodetectors. Chem. Phys. Chem. 2019, 20, 3328–3335. [Google Scholar] [CrossRef]
- Kabir, M.Z.; Imam, S.A. Transient and steady-state dark current mechanisms in amorphous selenium avalanche radiation detectors. Appl. Phys. Lett. 2013, 102, 153515. [Google Scholar] [CrossRef] [Green Version]
- Abbaszadeh, S.; Ghaffarii, S.; Siddiquee, S.; Kabir, M.Z.; Karim, S.K. Characterization of Lag Signal in Amorphous Selenium Detectors. IEEE Trans. Electron. Dev. 2016, 63, 704–709. [Google Scholar] [CrossRef]












| Parameter | Value | Source |
|---|---|---|
| 1 × 10−6 cm2V−1s−1 | [15] | |
| 3.3 | [32], Dark CELIV | |
| 26 | Dark CELIV | |
| 0.5 nm | Fitting parameter | |
| 9 × 10−4 s | Fitting parameter | |
| 6 × 1021 cm−3 | [15] | |
| 1 × 1012 s−1 | [6,9] | |
| 2.32 × 1011 cm−3s−1 | Fitting parameters based on [33,34] | |
| , , | 0.82, 0.86, 1.0 eV | [15,28] |
| , , | 1.0 × 1018, 1.0 × 1017, 2.8 × 1016 cm−3 | Fitting parameter |
| Фh | 0.81 eV | Fitting parameter |
| 1.8 × 10−6 s | [22] | |
| 0.6 | [31] | |
| 0.56 nm | [31] | |
| 0.5 eV | [31] |
Publisher’s Note: MDPI stays neutral with regard to jurisdictional claims in published maps and institutional affiliations. |
© 2022 by the authors. Licensee MDPI, Basel, Switzerland. This article is an open access article distributed under the terms and conditions of the Creative Commons Attribution (CC BY) license (https://creativecommons.org/licenses/by/4.0/).
Share and Cite
Thibault, T.; Grynko, O.; Pineau, E.; Reznik, A. Dark Current Modeling for a Polyimide—Amorphous Lead Oxide-Based Direct Conversion X-ray Detector. Sensors 2022, 22, 5829. https://doi.org/10.3390/s22155829
Thibault T, Grynko O, Pineau E, Reznik A. Dark Current Modeling for a Polyimide—Amorphous Lead Oxide-Based Direct Conversion X-ray Detector. Sensors. 2022; 22(15):5829. https://doi.org/10.3390/s22155829
Chicago/Turabian StyleThibault, Tristen, Oleksandr Grynko, Emma Pineau, and Alla Reznik. 2022. "Dark Current Modeling for a Polyimide—Amorphous Lead Oxide-Based Direct Conversion X-ray Detector" Sensors 22, no. 15: 5829. https://doi.org/10.3390/s22155829
APA StyleThibault, T., Grynko, O., Pineau, E., & Reznik, A. (2022). Dark Current Modeling for a Polyimide—Amorphous Lead Oxide-Based Direct Conversion X-ray Detector. Sensors, 22(15), 5829. https://doi.org/10.3390/s22155829

