The Effect of Tacrine on Functional Response of the Lower Oesophageal Sphincter Assessed by Endoscopic Luminal Impedance Planimetry in Experimental Pigs
Abstract
1. Introduction
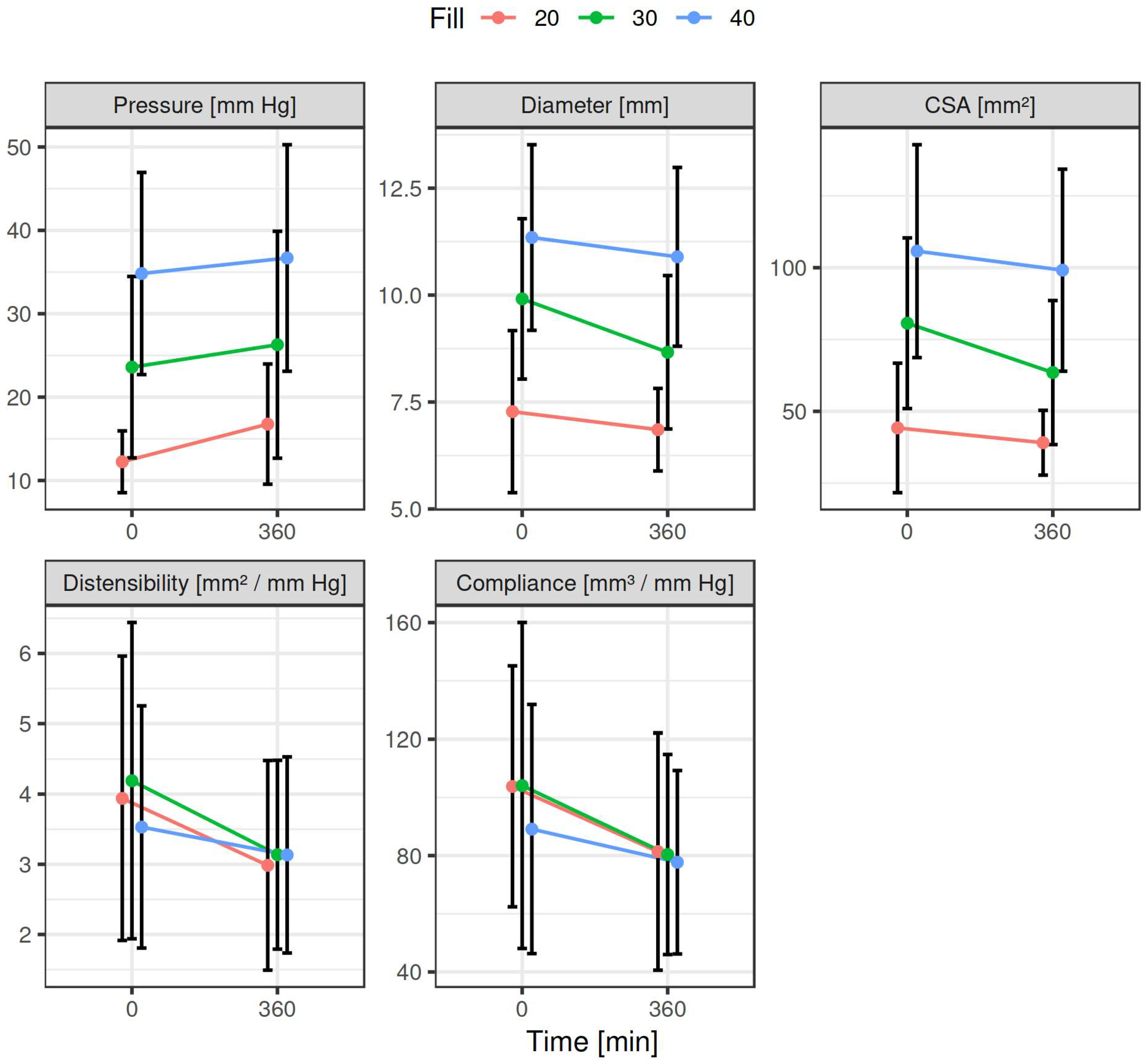
2. Results
3. Discussion
4. Materials and Methods
4.1. Animals
4.2. Design of the Study
4.3. Statistical Analysis
4.4. Ethics
5. Conclusions
Supplementary Materials
Author Contributions
Funding
Institutional Review Board Statement
Informed Consent Statement
Data Availability Statement
Acknowledgments
Conflicts of Interest
References
- Davis, K.L.; Powchik, P. Tacrine. Lancet 1995, 345, 625–630. [Google Scholar] [CrossRef] [PubMed]
- Gorecki, L.; Misiachna, A.; Damborsky, J.; Dolezal, R.; Korabecny, J.; Cejkova, L.; Hakenova, K.; Chvojkova, M.; Karasova, J.Z.; Prchal, L.; et al. Structure-activity relationships of dually-acting acetylcholinesterase inhibitors derived from tacrine on N-methyl-d-Aspartate receptors. Eur. J. Med. Chem. 2021, 219, 113434. [Google Scholar] [CrossRef] [PubMed]
- Horak, M.; Holubova, K.; Nepovimova, E.; Krusek, J.; Kaniakova, M.; Korabecny, J.; Vyklicky, L.; Kuca, K.; Stuchlik, A.; Ricny, J.; et al. The pharmacology of tacrine at N-methyl-d-aspartate receptors. Prog. Neuropsychopharmacol. Biol. Psychiatry 2017, 75, 54–62. [Google Scholar] [CrossRef] [PubMed]
- Gracon, S.I.; Knapp, M.J.; Berghoff, W.G.; Pierce, M.; DeJong, R.; Lobbestael, S.J.; Symons, J.; Dombey, S.L.; Luscombe, F.A.; Kraemer, D. Safety of tacrine: Clinical trials, treatment IND, and postmarketing experience. Alzheimer Dis. Assoc. Disord. 1998, 12, 93–101. [Google Scholar] [CrossRef]
- Chatellier, G.; Lacomblez, L. Tacrine (tetrahydroaminoacridine; THA) and lecithin in senile dementia of the Alzheimer type: A multicentre trial. Groupe Français d’Etude de la Tetrahydroaminoacridine. Br. Med. J. 1990, 300, 495–499. [Google Scholar] [CrossRef]
- Ames, D.J.; Bhathal, P.S.; Davies, B.M.; Fraser, J.R.; Gibson, P.R.; Roberts, S. Heterogeneity of adverse hepatic reactions to tetrahydroaminoacridine. Aust. N. Z. J. Med. 1990, 20, 193–195. [Google Scholar] [CrossRef]
- Gauthier, S.; Bouchard, R.; Lamontagne, A.; Bailey, P.; Bergman, H.; Ratner, J.; Tesfaye, Y.; Saint-Martin, M.; Bacher, Y.; Carrier, L.; et al. Tetrahydroaminoacridine-lecithin combination treatment in patients with intermediate-stage Alzheimer’s disease. Results of a Canadian double-blind, crossover, multicenter study. N. Engl. J. Med. 1990, 322, 1272–1276. [Google Scholar] [CrossRef] [PubMed]
- Hammel, P.; Larrey, D.; Bernuau, J.; Kalafat, M.; Fréneaux, E.; Babany, G.; Degott, C.; Feldmann, G.; Pessayre, D.; Benhamou, J.-P. Acute hepatitis after tetrahydroaminoacridine administration for Alzheimer’s disease. J. Clin. Gastroenterol. 1990, 12, 329–331. [Google Scholar] [CrossRef]
- Spilovska, K.; Korabecny, J.; Nepovimova, E.; Dolezal, R.; Mezeiova, E.; Soukup, O.; Kuca, K. Multitarget Tacrine Hybrids with Neuroprotective Properties to Confront Alzheimer’s Disease. Curr. Top. Med. Chem. 2017, 17, 1006–1026. [Google Scholar] [CrossRef]
- O’Hara, R.; Mumenthaler, M.S.; Yesavage, J.A. Update on Alzheimer’s disease: Recent findings and treatments. West. J. Med. 2000, 172, 115–120. [Google Scholar] [CrossRef]
- Bubley, A.; Erofeev, A.; Gorelkin, P.; Beloglazkina, E.; Majouga, A.; Krasnovskaya, O. Tacrine-Based Hybrids: Past, Present, and Future. Int. J. Mol. Sci. 2023, 24, 1717. [Google Scholar] [CrossRef] [PubMed]
- Novak, M.; Vajrychova, M.; Koutsilieri, S.; Sismanoglou, D.-C.; Kobrlova, T.; Prchal, L.; Svobodova, B.; Korabecny, J.; Zarybnicky, T.; Raisova-Stuchlikova, L.; et al. Tacrine First-Phase Biotransformation and Associated Hepatotoxicity: A Possible Way to Avoid Quinone Methide Formation. ACS Chem. Biol. 2023, 18, 1993–2002. [Google Scholar] [CrossRef] [PubMed]
- Soukup, O.; Jun, D.; Zdarova-Karasova, J.; Patocka, J.; Musilek, K.; Korabecny, J.; Krusek, J.; Kaniakova, M.; Sepsova, V.; Mandíková, J.R.; et al. A resurrection of 7-MEOTA: A comparison with tacrine. Curr. Alzheimer Res. 2013, 10, 893–906. [Google Scholar] [CrossRef] [PubMed]
- Korabecny, J.; Andrs, M.; Nepovimova, E.; Dolezal, R.; Babkova, K.; Horova, A.; Malinak, D.; Mezeiova, E.; Gorecki, L.; Sepsova, V.; et al. 7-Methoxytacrine-p-Anisidine Hybrids as Novel Dual Binding Site Acetylcholinesterase Inhibitors for Alzheimer’s Disease Treatment. Molecules 2015, 20, 22084–22101. [Google Scholar] [CrossRef] [PubMed]
- Nepovimova, E.; Korabecny, J.; Dolezal, R.; Babkova, K.; Ondrejicek, A.; Jun, D.; Sepsova, V.; Horova, A.; Hrabinova, M.; Soukup, O.; et al. Tacrine-Trolox Hybrids: A Novel Class of Centrally Active, Nonhepatotoxic Multi-Target-Directed Ligands Exerting Anticholinesterase and Antioxidant Activities with Low In Vivo Toxicity. J. Med. Chem. 2015, 58, 8985–9003. [Google Scholar] [CrossRef]
- Hepnarova, V.; Korabecny, J.; Matouskova, L.; Jost, P.; Muckova, L.; Hrabinova, M.; Vykoukalova, N.; Kerhartova, M.; Kucera, T.; Dolezal, R.; et al. The concept of hybrid molecules of tacrine and benzyl quinolone carboxylic acid (BQCA) as multifunctional agents for Alzheimer’s disease. Eur. J. Med. Chem. 2018, 150, 292–306. [Google Scholar] [CrossRef]
- Chalupova, K.; Korabecny, J.; Bartolini, M.; Monti, B.; Lamba, D.; Caliandro, R.; Pesaresi, A.; Brazzolotto, X.; Gastellier, A.-J.; Nachon, F.; et al. Novel tacrine-tryptophan hybrids: Multi-target directed ligands as potential treatment for Alzheimer’s disease. Eur. J. Med. Chem. 2019, 168, 491–514. [Google Scholar] [CrossRef]
- Misiachna, A.; Svobodova, B.; Netolicky, J.; Chvojkova, M.; Kleteckova, L.; Prchal, L.; Novak, M.; Hrabinova, M.; Kucera, T.; Muckova, L.; et al. Phenoxytacrine derivatives: Low-toxicity neuroprotectants exerting affinity to ifenprodil-binding site and cholinesterase inhibition. Eur. J. Med. Chem. 2024, 266, 116130. [Google Scholar] [CrossRef]
- Svobodova, B.; Mezeiova, E.; Hepnarova, V.; Hrabinova, M.; Muckova, L.; Kobrlova, T.; Jun, D.; Soukup, O.; Jimeno, M.L.; Marco-Contelles, J.; et al. Exploring Structure-Activity Relationship in Tacrine-Squaramide Derivatives as Potent Cholinesterase Inhibitors. Biomolecules 2019, 9, 379. [Google Scholar] [CrossRef]
- Novak, M.; Svobodova, B.; Konecny, J.; Kuratkova, A.; Nevosadova, L.; Prchal, L.; Korabecny, J.; Lauschke, V.; Soukup, O.; Kučera, R. UHPLC-Orbitrap study of the first phase tacrine in vitro metabolites and related Alzheimer’s drug candidates using human liver microsomes. J. Pharm. Biomed. Anal. 2023, 224, 115154. [Google Scholar] [CrossRef]
- Chvojkova, M.; Kolar, D.; Kovacova, K.; Cejkova, L.; Misiachna, A.; Hakenova, K.; Gorecki, L.; Horak, M.; Korabecny, J.; Soukup, O.; et al. Pro-cognitive effects of dual tacrine derivatives acting as cholinesterase inhibitors and NMDA receptor antagonists. Biomed. Pharmacother. 2024, 176, 116821. [Google Scholar] [CrossRef] [PubMed]
- Bures, J.; Jun, D.; Hrabinova, M.; Tacheci, I.; Kvetina, J.; Pavlik, M. Impact of tacrine and 7-methoxytacrine on gastric myoelectrical activity assessed using electrogastrography in experimental pigs. Neuro. Endocrinol. Lett. 2015, 36 (Suppl. S1), 150–155. [Google Scholar] [PubMed]
- Lipshutz, W.; Cohen, S. Physiological determinants of lower esophageal sphincter function. Gastroenterology 1971, 61, 16–24. [Google Scholar] [CrossRef] [PubMed]
- Castell, D.O. Physiology and pathophysiology of the lower esophageal sphincter. Ann. Otol. Rhinol. Laryngol. 1975, 84 Pt 1, 569–575. [Google Scholar] [CrossRef] [PubMed]
- Turijski, V.; Krustev, A.; Getova-Spassova, D.; Spassov, V. Influence of tacrine on dopamine-induced reactions of the gastric smooth muscle of rats. Methods Find. Exp. Clin. Pharmacol. 2004, 26, 103–107. [Google Scholar] [CrossRef]
- Wang, C.; Chen, X.; Xie, P.Y. Electroacupuncture at PC6 or ST36 Influences the Effect of Tacrine on the Motility of Esophagus. Evid. Based Complement. Alternat. Med. 2014, 2014, 263489. [Google Scholar] [CrossRef]
- Carlson, D.A.; Kou, W.; Lin, Z.; Hinchcliff, M.; Thakrar, A.; Falmagne, S.; Prescott, J.; Dorian, E.; Kahrilas, P.J.; Pandolfino, J.E. Normal Values of Esophageal Distensibility and Distension-Induced Contractility Measured by Functional Luminal Imaging Probe Panometry. Clin. Gastroenterol. Hepatol. 2019, 17, 674–681.e1. [Google Scholar] [CrossRef]
- Clarke, J.O.; Ahuja, N.K.; Fernandez-Becker, N.Q.; Gregersen, H.; Kamal, A.N.; Khan, A.; Lynch, K.L.; Vela, M.F. The functional lumen imaging probe in gastrointestinal disorders: The past, present, and future. Ann. N. Y. Acad. Sci. 2020, 1482, 16–25. [Google Scholar] [CrossRef]
- Bredenoord, A.J.; Rancati, F.; Lin, H.; Schwartz, N.; Argov, M. Normative values for esophageal functional lumen imaging probe measurements: A meta-analysis. Neurogastroenterol. Motil. 2022, 34, e14419. [Google Scholar] [CrossRef]
- Vackova, Z.; Levenfus, I.; Pohl, D. Interventional functional diagnostics in gastrointestinal endoscopy: Combining diagnostic and therapeutic tools in the endoscopy suite with the functional lumen imaging probe. Curr. Opin. Pharmacol. 2023, 73, 102414. [Google Scholar] [CrossRef]
- Perretta, S.; Dallemagne, B.; Allemann, P.; Marescaux, J. Heller myotomy and intraluminal fundoplication: A NOTES technique. Multimedia manuscript. Surg. Endosc. 2010, 24, 2903. [Google Scholar] [CrossRef]
- Perretta, S.; Dallemagne, B.; Donatelli, G.; Diemunsch, P.; Marescaux, J. Transoral endoscopic esophageal myotomy based on esophageal function testing in a survival porcine model. Gastrointest. Endosc. 2011, 73, 111–116. [Google Scholar] [CrossRef] [PubMed]
- O’Dea, J.; Siersema, P.D. Esophageal dilation with integrated balloon imaging: Initial evaluation in a porcine model. Therap. Adv. Gastroenterol. 2013, 6, 109–114. [Google Scholar] [CrossRef] [PubMed]
- Bermudez, M.A.R.; Swanson, L.; Townsend, A.; Hunter, S.E.; Saunders, J.K.; Wise, K.B.; Harris, C.; Fleury, S.; Cornell, M.A.; Cohen, A.; et al. Characterization of Swine Models of Benign Esophageal Stricture for the Evaluation of Esophageal Stents. Gastrointest. Endosc. 2015, 81, AB529–AB530. [Google Scholar] [CrossRef]
- Arroyo Vázquez, J.A.; Bergström, M.; Bligh, S.; McMahon, B.P.; Park, P.O. Exploring pyloric dynamics in stenting using a distensibility technique. Neurogastroenterol. Motil. 2018, 30, e13445. [Google Scholar] [CrossRef]
- Gonzalez, C.; Kwak, J.M.; Davrieux, F.; Watanabe, R.; Marescaux, J.; Swanström, L.L. Hybrid transgastric approach for the treatment of gastroesophageal junction pathologies. Dis. Esophagus 2019, 32, 2. [Google Scholar] [CrossRef]
- Ullal, T.V.; Marks, S.L.; Belafsky, P.C.; Conklin, J.L.; Pandolfino, J.E. A Comparative Assessment of the Diagnosis of Swallowing Impairment and Gastroesophageal Reflux in Canines and Humans. Front. Vet. Sci. 2022, 9, 889331. [Google Scholar] [CrossRef]
- Kararli, T.T. Comparison of the gastrointestinal anatomy, physiology, and biochemistry of humans and commonly used laboratory animals. Biopharm. Drug Dispos. 1995, 16, 351–380. [Google Scholar] [CrossRef]
- Květina, J.; Varayil, J.; Ali, S.; Kuneš, M.; Bureš, J.; Tachecí, I.; Rejchrt, S.; Kopáčová, M. Preclinical electrogastrography in experimental pigs. Interdiscip. Toxicol. 2010, 3, 53–58. [Google Scholar] [CrossRef]
- Suenderhauf, C.; Parrott, N. A physiologically based pharmacokinetic model of the minipig: Data compilation and model implementation. Pharm. Res. 2013, 30, 1–15. [Google Scholar] [CrossRef]
- Gonzalez, L.M.; Moeser, A.J.; Blikslager, A.T. Porcine models of digestive disease: The future of large animal translational research. Transl. Res. 2015, 166, 12–27. [Google Scholar] [CrossRef] [PubMed]
- Bures, J.; Kvetina, J.; Tacheci, I.; Pavlik, M.; Kunes, M.; Rejchrt, S.; Kuca, K.; Kopacova, M. The effect of different doses of atropine on gastric myoelectrical activity in fasting experimental pigs. J. Appl. Biomed. 2015, 13, 273–277. [Google Scholar] [CrossRef]
- Květina, J.; Tachecí, I.; Pavlík, M.; Kopáčová, M.; Rejchrt, S.; Douda, T.; Kuneš, M.; Bureš, J. Use of electrogastrography in preclinical studies of cholinergic and anticholinergic agents in experimental pigs. Physiol. Res. 2015, 64, S647–S652. [Google Scholar] [CrossRef] [PubMed]
- Bures, J.; Tacheci, I.; Kvetina, J.; Radochova, V.; Prchal, L.; Kohoutova, D.; Valis, M.; Novak, M.; Dolezal, R.; Kopacova, M.; et al. The Impact of Dextran Sodium Sulfate-Induced Gastrointestinal Injury on the Pharmacokinetic Parameters of Donepezil and Its Active Metabolite 6-O-desmethyldonepezil, and Gastric Myoelectric Activity in Experimental Pigs. Molecules 2021, 26, 2160. [Google Scholar] [CrossRef] [PubMed]
- Bures, J.; Tacheci, I.; Kvetina, J.; Radochova, V.; Kohoutova, D.; Valis, M.; Rejchrt, S.; Knoblochova, V.; Karasova, J.Z. Dextran Sodium Sulphate-Induced Gastrointestinal Injury Further Aggravates the Impact of Galantamine on the Gastric Myoelectric Activity in Experimental Pigs. Pharmaceuticals 2021, 14, 590. [Google Scholar] [CrossRef]
- Tsianou, C.C.; Kvetina, J.; Radochova, V.; Kohoutova, D.; Rejchrt, S.; Valis, M.; Karasova, J.Z.; Tacheci, I.; Knoblochova, V.; Soukup, O.; et al. The effect of single and repeated doses of rivastigmine on gastric myoelectric activity in experimental pigs. PLoS ONE 2023, 18, e0286386. [Google Scholar] [CrossRef]
- Bures, J.; Kvetina, J.; Radochova, V.; Tacheci, I.; Peterova, E.; Herman, D.; Dolezal, R.; Kopacova, M.; Rejchrt, S.; Douda, T.; et al. The pharmacokinetic parameters and the effect of a single and repeated doses of memantine on gastric myoelectric activity in experimental pigs. PLoS ONE 2020, 15, e0227781. [Google Scholar] [CrossRef]
- Knapp, M.J.; Knopman, D.S.; Solomon, P.R.; Pendlebury, W.W.; Davis, C.S.; Gracon, S.I. A 30-week randomized controlled trial of high-dose tacrine in patients with Alzheimer’s disease. The Tacrine Study Group. J. Am. Med. Assoc. 1994, 271, 985–991. [Google Scholar] [CrossRef] [PubMed]
- Henze, L.J.; Koehl, N.J.; Bennett-Lenane, H.; Holm, R.; Grimm, M.; Schneider, F.; Weitschies, W.; Koziolek, M.; Griffin, B.T. Characterization of gastrointestinal transit and luminal conditions in pigs using a telemetric motility capsule. Eur. J. Pharm. Sci. 2021, 1, 105627. [Google Scholar] [CrossRef]
- Liu, W.; Jin, Y.; Wilde, P.J.; Hou, Y.; Wang, Y.; Han, J. Mechanisms, physiology, and recent research progress of gastric emptying. Crit. Rev. Food Sci. Nutr. 2021, 61, 2742–2755. [Google Scholar] [CrossRef]
- Tacheci, I.; Radochova, V.; Kvetina, J.; Rejchrt, S.; Kopacova, M.; Bures, J. Oesophageal Manometry in Experimental Pigs: Methods and Initial Experience. Acta Medica (Hradec Kralove) 2015, 58, 131–134. [Google Scholar] [CrossRef]
- Dantas, R.O.; Ferriolli, E.; Souza, M.A. Gender effects on esophageal motility. Braz. J. Med. Biol. Res. 1998, 31, 539–544. [Google Scholar] [CrossRef] [PubMed]
- Dantas, R.O.; Alves, L.M.; Cassiani Rde, A. Gender differences in proximal esophageal contractions. Arq. Gastroenterol. 2009, 46, 284–287. [Google Scholar] [CrossRef] [PubMed]
- Novak, M.; Bureš, J.; Radochová, V.; Pejchal, J.; Prchal, L.; Soukup, O. ADMET parameters of tacrine and its metabolites confirm unsuitability of Sus scrofa f. domestica model to study tacrine-associated hepatotoxicity. Chem-Biol. Interact, 2024; submitted. [Google Scholar]
- Tveden-Nyborg, P.; Bergmann, T.K.; Lykkesfeldt, J. Basic & Clinical Pharmacology & Toxicology Policy for Experimental and Clinical studies. Basic Clin. Pharmacol. Toxicol. 2018, 123, 233–235. [Google Scholar] [CrossRef] [PubMed]
- Explanatory Report on the European Convention for the Protection of Vertebrate Animals Used for Experimental and Other Scientific Purposes (ETS 123); Council of Europe: Strasbourg, France, 2009.




| TIME 0 min. ANIMAL 1 | ||||||
| Filling | Pressure | Diameter | CSA | Distensibility | Compliance | No meas |
| 20 mL | 15.19 | 9.67 | 73.42 | 4.85 | 120.29 | 582 |
| 30 mL | 23.75 | 12.19 | 116.76 | 4.92 | 116.40 | 470 |
| 40 mL | 37.09 | 13.43 | 142.69 | 3.89 | 90.34 | 833 |
| TIME 360 min. | ||||||
| Filling | Pressure | Diameter | CSA | Distensibility | Compliance | No meas |
| 20 mL | 15.59 | 7.11 | 40.58 | 2.82 | 70.94 | 1172 |
| 30 mL | 34.90 | 11.38 | 102.65 | 3.17 | 74.06 | 350 |
| 40 mL | 36.06 | 13.80 | 150.00 | 4.19 | 94.22 | 215 |
| TIME 0 min. ANIMAL 2 | ||||||
| Filling | Pressure | Diameter | CSA | Distensibility | Compliance | No meas |
| 20 mL | 10.50 | 6.23 | 30.66 | 2.93 | 72.57 | 2433 |
| 30 mL | 18.79 | 9.32 | 69.61 | 3.84 | 102.02 | 1150 |
| 40 mL | 22.97 | 12.12 | 115.88 | 5.19 | 129.30 | 858 |
| TIME 360 min. | ||||||
| Filling | Pressure | Diameter | CSA | Distensibility | Compliance | No meas |
| 20 mL | 12.48 | 7.91 | 53.30 | 5.39 | 139.08 | 439 |
| 30 mL | 13.74 | 7.49 | 46.30 | 3.61 | 101.88 | 780 |
| 40 mL | 28.39 | 8.32 | 58.34 | 2.17 | 66.22 | 475 |
| TIME 0 min. ANIMAL 3 | ||||||
| Filling | Pressure | Diameter | CSA | Distensibility | Compliance | No meas |
| 20 mL | 5.48 | 6.84 | 36.76 | 6.74 | 165.67 | 999 |
| 30 mL | 8.73 | 9.14 | 65.79 | 7.61 | 195.95 | 875 |
| 40 mL | 20.90 | 11.17 | 98.04 | 4.80 | 133.84 | 1605 |
| TIME 360 min. | ||||||
| Filling | Pressure | Diameter | CSA | Distensibility | Compliance | No meas |
| 20 mL | 8.10 | 5.47 | 24.07 | 3.37 | 111.07 | 1116 |
| 30 mL | 12.08 | 7.90 | 51.33 | 4.45 | 115.16 | 832 |
| 40 mL | 30.15 | 10.76 | 91.28 | 3.05 | 73.20 | 837 |
| TIME 0 min. ANIMAL 4 | ||||||
| Filling | Pressure | Diameter | CSA | Distensibility | Compliance | No meas |
| 20 mL | 14.01 | 6.33 | 32.55 | 2.44 | 73.96 | 1005 |
| 30 mL | 25.11 | 7.80 | 50.99 | 2.08 | 56.96 | 593 |
| 40 mL | 40.84 | 8.46 | 59.05 | 1.48 | 43.65 | 760 |
| TIME 360 min. | ||||||
| Filling | Pressure | Diameter | CSA | Distensibility | Compliance | No meas |
| 20 mL | 19.48 | 6.65 | 36.75 | 1.91 | 51.44 | 599 |
| 30 mL | 26.67 | 8.61 | 62.20 | 2.61 | 66.32 | 682 |
| 40 mL | 34.18 | 11.35 | 107.30 | 3.44 | 83.68 | 2064 |
| TIME 0 min. ANIMAL 5 | ||||||
| Filling | Pressure | Diameter | CSA | Distensibility | Compliance | No meas |
| 20 mL | 14.80 | 5.05 | 20.40 | 1.36 | 60.14 | 915 |
| 30 mL | 42.17 | 8.74 | 61.35 | 1.46 | 35.71 | 1056 |
| 40 mL | 53.72 | 9.19 | 69.89 | 1.27 | 32.45 | 492 |
| TIME 360 min. | ||||||
| Filling | Pressure | Diameter | CSA | Distensibility | Compliance | No meas |
| 20 mL | 29.28 | 6.13 | 29.85 | 1.02 | 26.41 | 1380 |
| 30 mL | 48.10 | 6.50 | 35.50 | 0.76 | 21.46 | 588 |
| 40 mL | 63.61 | 8.79 | 64.35 | 1.03 | 27.12 | 871 |
| TIME 0 min. ANIMAL 6 | ||||||
| Filling | Pressure | Diameter | CSA | Distensibility | Compliance | No meas |
| 20 mL | 13.48 | 9.53 | 71.51 | 5.31 | 129.91 | 663 |
| 30 mL | 23.02 | 12.28 | 119.52 | 5.23 | 117.32 | 700 |
| 40 mL | 33.44 | 13.71 | 149.02 | 4.55 | 104.95 | 1176 |
| TIME 360 min. | ||||||
| Filling | Pressure | Diameter | CSA | Distensibility | Compliance | No meas |
| 20 mL | 15.64 | 7.85 | 49.86 | 3.40 | 89.27 | 1178 |
| 30 mL | 22.21 | 10.10 | 83.00 | 4.22 | 103.37 | 858 |
| 40 mL | 27.74 | 12.35 | 123.51 | 4.92 | 121.87 | 1612 |
| Variable | Mean | SD | SEM | Median | Q1 | Q3 |
|---|---|---|---|---|---|---|
| Pressure [mm Hg] 20 mL 0 min. | 12.24 | 3.71 | 1.51 | 13.75 | 11.25 | 14.60 |
| Pressure [mm Hg] 20 mL 360 min. | 16.76 | 7.21 | 2.94 | 15.62 | 13.26 | 18.52 |
| Pressure [mm Hg] 30 mL 0 min. | 23.59 | 10.88 | 4.44 | 23.38 | 19.85 | 24.77 |
| Pressure [mm Hg] 30 mL 360 min. | 26.28 | 13.61 | 5.56 | 24.44 | 15.86 | 32.84 |
| Pressure [mm Hg] 40 mL 0 min. | 34.83 | 12.12 | 4.95 | 35.26 | 25.59 | 39.90 |
| Pressure [mm Hg] 40 mL 360 min. | 36.69 | 13.59 | 5.55 | 32.16 | 28.83 | 35.59 |
| Diameter [mm] 20 mL 0 min. | 7.28 | 1.89 | 0.77 | 6.58 | 6.26 | 8.86 |
| Diameter [mm] 20 mL 360 min. | 6.85 | 0.96 | 0.39 | 6.88 | 6.26 | 7.66 |
| Diameter [mm] 30 mL 0 min. | 9.91 | 1.87 | 0.77 | 9.23 | 8.84 | 11.47 |
| Diameter [mm] 30 mL 360 min. | 8.66 | 1.79 | 0.73 | 8.25 | 7.59 | 9.73 |
| Diameter [mm] 40 mL 0 min. | 11.35 | 2.17 | 0.89 | 11.64 | 9.69 | 13.10 |
| Diameter [mm] 40 mL 360 min. | 10.89 | 2.09 | 0.85 | 11.05 | 9.28 | 12.10 |
| CSA [mm2] 20 mL 0 min. | 44.22 | 22.54 | 9.20 | 34.66 | 31.13 | 62.82 |
| CSA [mm2] 20 mL 360 min. | 39.07 | 11.28 | 4.61 | 38.66 | 31.58 | 47.54 |
| CSA [mm2] 30 mL 0 min. | 80.67 | 29.70 | 12.12 | 67.70 | 62.46 | 104.97 |
| CSA [mm2] 30 mL 360 min. | 63.50 | 25.07 | 10.23 | 56.76 | 47.56 | 77.80 |
| CSA [mm2] 40 mL 0 min. | 105.76 | 37.06 | 15.13 | 106.96 | 76.93 | 135.99 |
| CSA [mm2] 40 mL 360 min. | 99.13 | 35.17 | 14.36 | 99.29 | 71.08 | 119.46 |
| Distensibility [mm2/mm Hg] 20 mL 0 min. | 3.94 | 2.02 | 0.83 | 3.89 | 2.56 | 5.20 |
| Distensibility [mm2/mm Hg] 20 mL 360 min. | 2.98 | 1.49 | 0.61 | 3.09 | 2.14 | 3.39 |
| Distensibility [mm2/mm Hg] 30 mL 0 min. | 4.19 | 2.25 | 0.92 | 4.38 | 2.52 | 5.15 |
| Distensibility [mm2/mm Hg] 30 mL 360 min. | 3.14 | 1.35 | 0.55 | 3.39 | 2.75 | 4.07 |
| Distensibility [mm2/mm Hg] 40 mL 0 min. | 3.53 | 1.72 | 0.70 | 4.22 | 2.08 | 4.74 |
| Distensibility [mm2/mm Hg] 40 mL 360 min. | 3.13 | 1.40 | 0.57 | 3.24 | 2.39 | 4.00 |
| Compliance [mm3/mm Hg] 20 mL 0 min. | 103.76 | 41.36 | 16.89 | 97.12 | 72.92 | 127.51 |
| Compliance [mm3/mm Hg] 20 mL 360 min. | 81.37 | 40.74 | 16.63 | 80.10 | 56.31 | 105.62 |
| Compliance [mm3/mm Hg] 30 mL 0 min. | 104.06 | 55.98 | 22.85 | 109.21 | 68.22 | 117.09 |
| Compliance [mm3/mm Hg] 30 mL 360 min. | 80.38 | 34.38 | 14.04 | 87.97 | 68.25 | 103.00 |
| Compliance [mm3/mm Hg] 40 mL 0 min. | 89.09 | 42.77 | 17.46 | 97.65 | 55.32 | 123.21 |
| Compliance [mm3/mm Hg] 40 mL 360 min. | 77.72 | 31.53 | 12.87 | 78.44 | 67.97 | 91.58 |
| Variable | Coefficient | Standard Error | p-Value (Corrected) |
|---|---|---|---|
| Pressure [mm Hg] | 3.02 | 1.71 | 0.678 |
| Diameter [mm] | −0.71 | 0.44 | 0.678 |
| CSA [mm2] | −9.65 | 6.84 | 0.678 |
| Distensibility [mm2/mm Hg] | −0.80 | 0.47 | 0.678 |
| Compliance [mm3/mm Hg] | −19.15 | 10.77 | 0.678 |
Disclaimer/Publisher’s Note: The statements, opinions and data contained in all publications are solely those of the individual author(s) and contributor(s) and not of MDPI and/or the editor(s). MDPI and/or the editor(s) disclaim responsibility for any injury to people or property resulting from any ideas, methods, instructions or products referred to in the content. |
© 2024 by the authors. Licensee MDPI, Basel, Switzerland. This article is an open access article distributed under the terms and conditions of the Creative Commons Attribution (CC BY) license (https://creativecommons.org/licenses/by/4.0/).
Share and Cite
Bures, J.; Novak, M.; Radochova, V.; Kohoutova, D.; Prchal, L.; Martinek, J.; Mares, J.; Cerny, J.; Suchanek, S.; Pejchal, J.; et al. The Effect of Tacrine on Functional Response of the Lower Oesophageal Sphincter Assessed by Endoscopic Luminal Impedance Planimetry in Experimental Pigs. Pharmaceuticals 2024, 17, 1588. https://doi.org/10.3390/ph17121588
Bures J, Novak M, Radochova V, Kohoutova D, Prchal L, Martinek J, Mares J, Cerny J, Suchanek S, Pejchal J, et al. The Effect of Tacrine on Functional Response of the Lower Oesophageal Sphincter Assessed by Endoscopic Luminal Impedance Planimetry in Experimental Pigs. Pharmaceuticals. 2024; 17(12):1588. https://doi.org/10.3390/ph17121588
Chicago/Turabian StyleBures, Jan, Martin Novak, Vera Radochova, Darina Kohoutova, Lukas Prchal, Jan Martinek, Jan Mares, Jaroslav Cerny, Stepan Suchanek, Jaroslav Pejchal, and et al. 2024. "The Effect of Tacrine on Functional Response of the Lower Oesophageal Sphincter Assessed by Endoscopic Luminal Impedance Planimetry in Experimental Pigs" Pharmaceuticals 17, no. 12: 1588. https://doi.org/10.3390/ph17121588
APA StyleBures, J., Novak, M., Radochova, V., Kohoutova, D., Prchal, L., Martinek, J., Mares, J., Cerny, J., Suchanek, S., Pejchal, J., Voxova, B., Urbanek, P., Zavoral, M., & Soukup, O. (2024). The Effect of Tacrine on Functional Response of the Lower Oesophageal Sphincter Assessed by Endoscopic Luminal Impedance Planimetry in Experimental Pigs. Pharmaceuticals, 17(12), 1588. https://doi.org/10.3390/ph17121588

