Injection Molding and Mechanical Properties of Bio-Based Polymer Nanocomposites
Abstract
1. Introduction
2. Materials and Methods
2.1. Materials
2.2. Preparation
2.3. Characterization
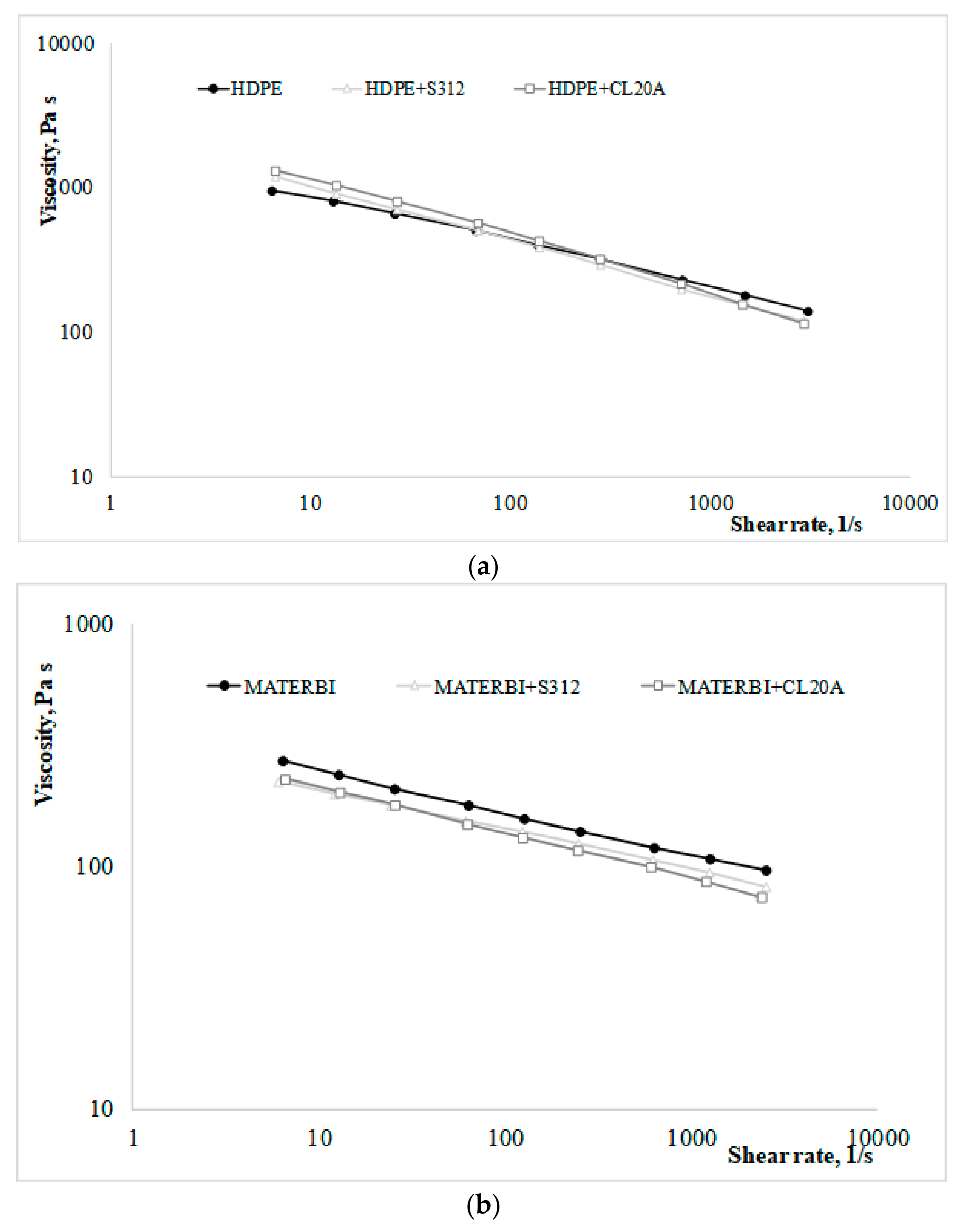
3. Results and Discussion
3.1. Rheological Characterization
3.2. Mechanical Characterization
3.3. Morphological Characterization
4. Conclusions
Author Contributions
Conflicts of Interest
References
- Morreale, M.; Mistretta, M.C.; Ceraulo, M.; La Mantia, F.P. Rheological behavior under shear and non-isothermal elongational flow of biodegradable polymers for foam extrusion. J. Polym. Environ. 2014, 22, 112–118. [Google Scholar] [CrossRef]
- Morreale, M.; Liga, A.; Mistretta, M.C.; Ascione, L.; Mantia, F.P.L. Mechanical, Thermomechanical and Reprocessing Behavior of Green Composites from Biodegradable Polymer and Wood Flour. Materials 2015, 8, 7536–7548. [Google Scholar] [CrossRef] [PubMed]
- Bastioli, C. Properties and applications of mater-Bi starch-based materials. Polym. Degrad. Stab. 1998, 59, 263–272. [Google Scholar] [CrossRef]
- Scaffaro, R.; Morreale, M.; Lo Re, G.; La Mantia, F.P. Effect of the processing techniques on the properties of ecocomposites based on vegetable oil-derived Mater-Bi® and wood flour. J. Appl. Polym. Sci. 2009, 114, 2855–2863. [Google Scholar] [CrossRef]
- Sedlarik, V.; Saha, N.; Sedlarikova, J.; Saha, P. Biodegradation of blown films based on poly(lactic acid) under natural conditions. Macromol. Symp. 2008, 272, 100–103. [Google Scholar] [CrossRef]
- Wang, L.; Tong, Z.; Ingram, L.O.; Cheng, Q.; Matthews, S. Green Composites of Poly(lactic acid) and Sugarcane Bagasse Residues from Bio-refinery Processes. J. Polym. Environ. 2013, 21, 780–788. [Google Scholar] [CrossRef]
- Ray, S.S.; Okamoto, K.; Okamoto, M. Structure—Property Relationship in Biodegradable Poly(butylene succinate)/Layered Silicate Nanocomposites. Macromolecules 2003, 36, 2355–2367. [Google Scholar]
- Giannelis, E.P. Polymer-layered silicate nanocomposites: Synthesis, properties and applications. Appl. Organomet. Chem. 1998, 12, 675–680. [Google Scholar] [CrossRef]
- Alexandre, M.; Dubois, P. Polymer-layered silicate nanocomposites: Preparation, properties and uses of a new class of materials. Mater. Sci. Eng. Rep. 2000, 28, 1–63. [Google Scholar] [CrossRef]
- Ray, S.S.; Okamoto, M. Polymer/layered silicate nanocomposites: A review from preparation to processing. Prog. Polym. Sci. 2003, 28, 1539–1641. [Google Scholar]
- Choudalakis, G.; Gotsis, A.D. Permeability of polymer/clay nanocomposites: A review. Eur. Polym. J. 2009, 45, 967–984. [Google Scholar] [CrossRef]
- Jancar, J.; Douglas, J.F.; Starr, F.W.; Kumar, S.K.; Cassagnau, P.; Lesser, A.J.; Sternstein, S.S.; Buehler, M.J. Current issues in research on structure—Property relationships in polymer nanocomposites. Polymer 2010, 51, 3321–3343. [Google Scholar] [CrossRef]
- La Mantia, F.P.; Morreale, M.; Scaffaro, R.; Tulone, S. Rheological and mechanical behavior of LDPE/calcium carbonate nanocomposites and microcomposites. J. Appl. Polym. Sci. 2013, 127, 2544–2552. [Google Scholar] [CrossRef]
- Ogata, N.; Jimenez, G.; Kawai, H.; Ogihara, T. Structure and thermal/mechanical properties of poly(l-lactide)-clay blend. J. Polym. Sci. B Polym. Phys. 1997, 35, 389–396. [Google Scholar] [CrossRef]
- Chang, J.-H.; An, Y.U.; Sur, G.S. Poly(lactic acid) nanocomposites with various organoclays. I. Thermomechanical properties, morphology, and gas permeability. J. Polym. Sci. B Polym. Phys. 2003, 41, 94–103. [Google Scholar] [CrossRef]
- La Mantia, F.P.; Mistretta, M.C.; Palermo, S.; Ceraulo, M. Morphology, rheology, and mechanical properties of a new nanobiocomposite. J. Appl. Polym. Sci. 2015, 132, 42128. [Google Scholar] [CrossRef]
- La Mantia, F.P.; Mistretta, M.C.; Palermo, S.; Koci, E.; Ceraulo, M. Thermomechanical degradation of PLA-based nanobiocomposite. Polym. Adv. Technol. 2016, 27, 308–313. [Google Scholar] [CrossRef]
- Sinha, R.S.; Okamoto, K.; Yamada, K.; Okamoto, M. Novel porous ceramic material via burning of polylactide/layered silicate nanocomposite. Nano Lett. 2002, 2, 423–426. [Google Scholar] [CrossRef]
- Yamada, K.; Ueda, K.; Sinha, R.S.; Okamoto, M. Preparation and properties of polylactide/layered silicate nanocomposites. Kobunshi Robunshu 2002, 59, 760–765. [Google Scholar] [CrossRef]
- Maiti, P.; Yamada, K.; Okamoto, M.; Ueda, K.; Okamoto, K. New polylactide/layered silicate Nanocomposites: Role of organoclay. Chem. Mater. 2002, 14, 4654–4661. [Google Scholar] [CrossRef]
- Paul, M.A.; Alexandre, M.; Degee, P.; Calberg, C.; Jerome, R.; Dubois, P. Exfoliated polylactide/clay nanocomposites by in-situ coordination-insertion polymerization. Macromol. Rapid Commun. 2003, 24, 561–566. [Google Scholar] [CrossRef]
- Lee, J.H.; Park, T.G.; Park, H.S.; Lee, D.S.; Lee, Y.K.; Yoon, S.C.; Nam, J.D. Thermal and mechanical characteristics of poly(l-lactic acid) nanocomposite scaffold. Biomaterials 2002, 24, 2773–2778. [Google Scholar] [CrossRef]
- Chang, J.; An, Y.U.; Cho, D.; Giannelis, E.P. Poly(lactic acid) nanocomposites: Comparison of their properties with montmorillonite and synthetic mica (II). Polymer 2003, 44, 3715–3720. [Google Scholar] [CrossRef]
- Qu, P.; Gao, Y.; Wu, G.; Zhang, L. Nanocomposites of poly(lactic acid) reinforced with cellulose nanofibrils. BioResources 2010, 5, 1811–1823. [Google Scholar]
- Scaffaro, R.; Botta, L.; Passaglia, E.; Oberhauser, W.; Frediani, M.; Di Landro, L. Comparison of Different Processing Methods to Prepare Poly(lactid acid)–Hydrotalcite Composites. Polym. Eng. Sci. 2014, 54, 1804–1810. [Google Scholar] [CrossRef]
- Fukushima, K.; Tabuani, D.; Camino, G. Nanocomposites of PLA and PCL based on montmorillonite and sepiolite. Mater. Sci. Eng. C 2009, 29, 1433–1441. [Google Scholar] [CrossRef]
- La Mantia, F.P.; Ceraulo, M.; Mistretta, M.C.; Sutera, F.; Ascione, L.; Nasillo, G. Effect of Elongational Flow and Polarity of Organomodified Clay on Morphology and Mechanical Properties of a PLA Based Nanobiocomposite. Int. Polym. Proc. 2016, 31, 541–547. [Google Scholar] [CrossRef]
- Scaffaro, R.; Botta, L.; Maio, A.; Mistretta, M.C.; La Mantia, F.P. Effect of Graphene Nanoplatelets on the Physical and Antimicrobial Properties of Biopolymer-Based Nanocomposites. Materials 2016, 9, 351. [Google Scholar] [CrossRef] [PubMed]
- Chiu, W.M.; Kuo, H.Y. Preparation and Properties of Poly(Lactic Acid) Nanocomposites Filled with Functionalized Single-Walled Carbon Nanotubes. J. Polym. Environ. 2013, 21, 350–358. [Google Scholar] [CrossRef]
- Wu, C.S.; Liao, H.T. Study on the preparation and characterization of biodegradable polylactide/multi-walled carbon nanotubes nanocomposites. Polymer 2007, 48, 4449–4458. [Google Scholar] [CrossRef]
- La Mantia, F.P.; Mistretta, M.C.; Scaffaro, R.; Botta, L.; Ceraulo, M. Processing and characterization of highly oriented fibres of biodegradable nanocomposites. Compos. Part B Eng. 2015, 78, 1–7. [Google Scholar] [CrossRef]
- La Mantia, F.P.; Arrigo, R.; Morreale, M. Effect of the orientation and rheological behaviour of biodegradable polymer nanocomposites. Eur. Polym. J. 2014, 54, 11–17. [Google Scholar] [CrossRef]
- La Mantia, F.P.; Ceraulo, M.; Mistretta, M.C.; Morreale, M. Effect of Cold Drawing on Mechanical Properties of Biodegradable Fibers. J. Appl. Biomater. Funct. Mater. 2017, 15, e70–e76. [Google Scholar] [CrossRef] [PubMed]
- FKuR Website. Available online: https://fkur.com/en/brands/bio-flex-3/bio-flex-f-2110 (accessed on 7 March 2018).
- Gregorova, A.; Riedl, E.; Sedlarik, V.; Stelzer, F. Effect of 4,4′-methylenediphenyl diisocyanate on thermal and mechanical properties of Bioflex/lactic acid polycondensate blends. Asia-Pac. J. Chem. Eng. 2012, 7, S317–S323. [Google Scholar] [CrossRef]
- Standard Test Method for Tensile Properties of Thin Plastic Sheeting; ASTM D882; ASTM International: West Conshohocken, PA, USA, 2012.
- La Mantia, F.P.; Mistretta, M.C.; Morreale, M. Recycling and Thermomechanical Degradation of LDPE/Modified Clay Nanocomposites. Macromol. Mater. Eng. 2014, 299, 96–103. [Google Scholar] [CrossRef]
- Nekhamanurak, B.; Patanathabutr, P.; Hongsriphan, N. The Influence of Micro-/Nano-CaCO3 on Thermal Stability and Melt Rheology Behavior of Poly(lactic acid). Energy Procedia 2014, 56, 118–128. [Google Scholar] [CrossRef]
- Scaffaro, R.; Sutera, F.; Mistretta, M.C.; Botta, L.; La Mantia, F.P. Structure-properties relationships in melt reprocessed PLA/hydrotalcites nanocomposites. Express Polym. Lett. 2017, 11, 555–564. [Google Scholar] [CrossRef]
- La Mantia, F.P.; Morreale, M.; Botta, L.; Mistretta, M.C.; Ceraulo, M.; Scaffaro, R. Degradation of polymer blends: A brief review. Polym. Degrad. Stab. 2017, 145, 79–92. [Google Scholar] [CrossRef]









| Material | Manufacturer | MFI, g/10 min | Sample Code |
|---|---|---|---|
| Clearflex MP90U | Versalis (Italy) | 7 | HDPE |
| MaterBi D01A | Novamont (Italy) | 35 | MB |
| Bioflex F6510 | FKuR (Germany) | 2.5–4.5 | BF |
| Sample | Temperature Profile, °C |
|---|---|
| HDPE + CL20A | 120-130-140-150-160-170-190 |
| HDPE + S312 | 120-130-140-150-160-170-190 |
| BF + CL20A | 170-180-180-180-190-190-190 |
| BF + S312 | 170-180-180-180-190-190-190 |
| MB + CL20A | 150-160-170-180-180-190-190 |
| MB + S312 | 150-160-170-180-180-190-190 |
| Sample | Temperature Profile, °C | Injection Pressure, Bar | Holding Pressure, Bar |
|---|---|---|---|
| HDPE | 235/235/235/240 | 80 | 45 |
| HDPE + CL20A | 235/235/235/240 | 80 | 45 |
| HDPE + S312 | 235/235/235/240 | 80 | 45 |
| BF | 165/170/170/170 | 120 | 50 |
| BF + CL20A | 165/170/170/180 | 120 | 50 |
| BF + S312 | 165/170/170/170 | 120 | 50 |
| MB | 150/160/170/180 | 90 | 50 |
| MB + CL20A | 150/160/170/180 | 90 | 50 |
| MB + S312 | 150/160/170/180 | 90 | 50 |
| Property | PE-IM | B-IM | MB-IM | PE + S-IM | PE + CL-IM | B + S-IM | B + CL-IM | MB + S-IM | MB + CL-IM |
|---|---|---|---|---|---|---|---|---|---|
| Impact strength [KJ/m2] | NB | 78.18 | 63.05 | NB | NB | 20.26 | 20.92 | 20.21 | 23.41 |
© 2018 by the authors. Licensee MDPI, Basel, Switzerland. This article is an open access article distributed under the terms and conditions of the Creative Commons Attribution (CC BY) license (http://creativecommons.org/licenses/by/4.0/).
Share and Cite
Mistretta, M.C.; Botta, L.; Morreale, M.; Rifici, S.; Ceraulo, M.; La Mantia, F.P. Injection Molding and Mechanical Properties of Bio-Based Polymer Nanocomposites. Materials 2018, 11, 613. https://doi.org/10.3390/ma11040613
Mistretta MC, Botta L, Morreale M, Rifici S, Ceraulo M, La Mantia FP. Injection Molding and Mechanical Properties of Bio-Based Polymer Nanocomposites. Materials. 2018; 11(4):613. https://doi.org/10.3390/ma11040613
Chicago/Turabian StyleMistretta, Maria Chiara, Luigi Botta, Marco Morreale, Sebastiano Rifici, Manuela Ceraulo, and Francesco Paolo La Mantia. 2018. "Injection Molding and Mechanical Properties of Bio-Based Polymer Nanocomposites" Materials 11, no. 4: 613. https://doi.org/10.3390/ma11040613
APA StyleMistretta, M. C., Botta, L., Morreale, M., Rifici, S., Ceraulo, M., & La Mantia, F. P. (2018). Injection Molding and Mechanical Properties of Bio-Based Polymer Nanocomposites. Materials, 11(4), 613. https://doi.org/10.3390/ma11040613

