A SEM-NCA Approach towards Social Networks Marketing: Evaluating Consumers’ Sustainable Purchase Behavior with the Moderating Role of Eco-Friendly Attitude
Abstract
:1. Introduction
2. Literature Review and Hypotheses Development
2.1. Social Networks Marketing
2.2. Consumers’ Sustainable Purchase Behavior
- The prevailing approach, which explains the principles of consumer behavior, describes the consumer buying process as learning, information processing, and decision-making activity that is divided into five stages: Problem identification; Information search; Alternatives evaluation; Purchasing decision; Post-purchase behavior [49,50,51,52,53,54].
2.3. Framework of Social Networks Marketing and Consumers’ Sustainable Purchase Behavior
2.4. The Moderating Role of Eco-Friendly Consumers’ Attitude
3. Measures and Data Collection
4. Results
4.1. Evaluation of Measurement Models
4.2. Structural Model Assessment
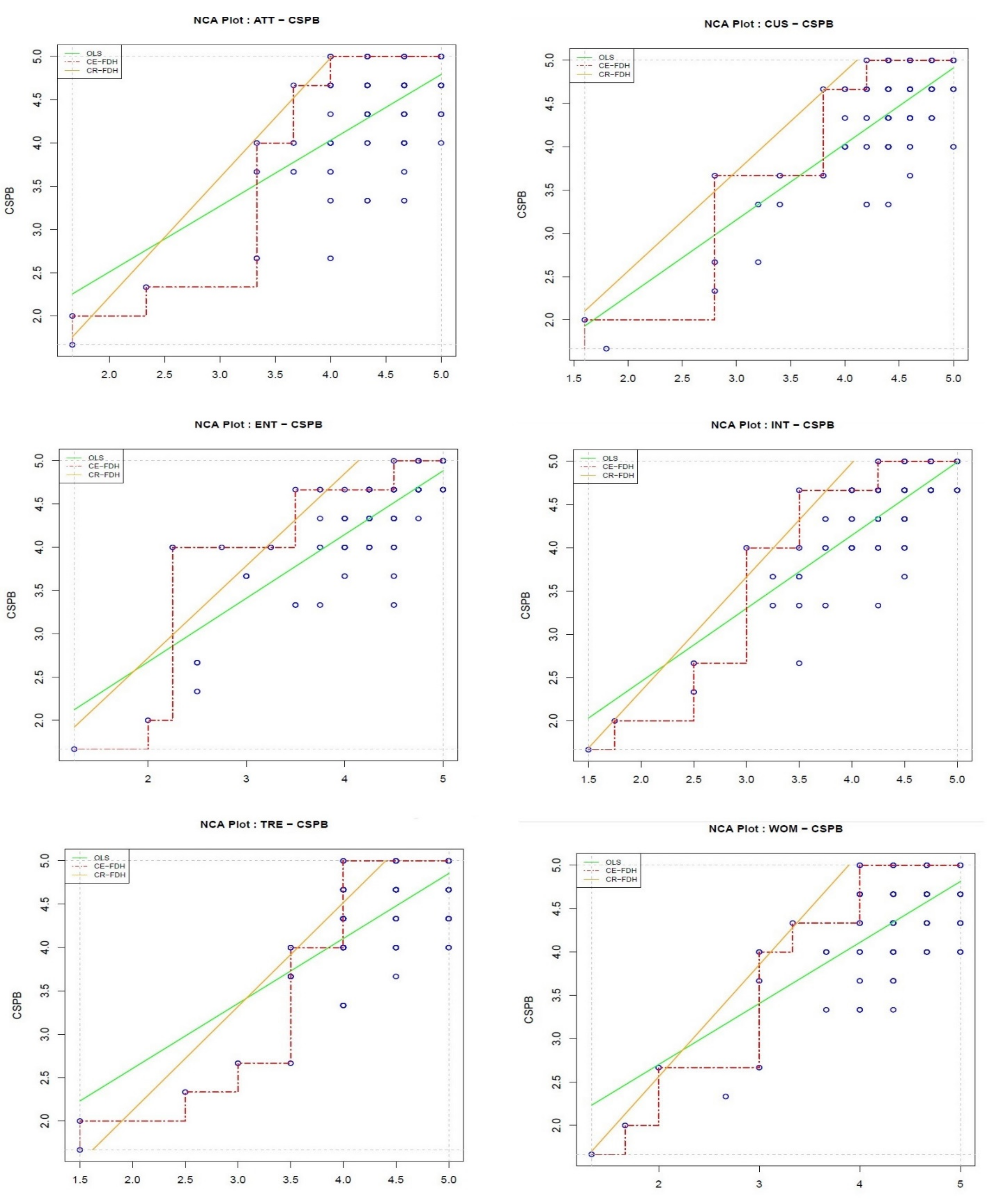
4.3. Necessary Condition Analysis (NCA)
5. Discussion
6. Conclusions
6.1. Managerial Implications
6.2. Limitations and Suggestions
Author Contributions
Funding
Institutional Review Board Statement
Informed Consent Statement
Conflicts of Interest
References
- Ghanbary, S.; Sharifi, S.M.; Momeni, S. OFD Platform: Consumers’ Persuasion Based on Economic, Relational and Enjoyment Values. J. Foodserv. Bus. Res. 2021, 1–24. [Google Scholar] [CrossRef]
- Johnson, J. Global Digital Population as of January 2021. Available online: https://lestatistiche.com/worldwide-digital-population-as-of-january-2021/ (accessed on 12 October 2021).
- Stieglitz, S.; Mirbabaie, M.; Ross, B.; Neuberger, C. Social Media Analytics—Challenges in Topic Discovery, Data Collection, and Data Preparation. Int. J. Inf. Manag. 2018, 39, 156–168. [Google Scholar] [CrossRef]
- Jensen, H.; Sund, K.J. Marketing Challenges and Advertising Partner Selection: Exploring Advertiser-Agency Relationships in the Danish Media Industry. Nord. J. Media Manag. 2020, 1, 297–313. [Google Scholar] [CrossRef]
- Vafaei, S.A.; Fekete-Farkas, M. The Effect of Social Media on Customer Behaviour and Firms’ Activities. In Management and Organization: Concepts, Tools and Applications; Pearson: Harlow, UK, 2017; pp. 221–228. [Google Scholar]
- Ebrahimi, P.; Hamza, K.A.; Gorgenyi-Hegyes, E.; Zarea, H.; Fekete-Farkas, M. Consumer Knowledge Sharing Behavior and Consumer Purchase Behavior: Evidence from E-Commerce and Online Retail in Hungary. Sustainability 2021, 13, 10375. [Google Scholar] [CrossRef]
- Ebrahimi, P.; Salamzadeh, A.; Gholampour, A.; Fekete-Farkas, M. Social Networks Marketing and Hungarian Online Consumer Purchase Behavior: The Microeconomics Strategic View Based on IPMA Matrix. Acad. Strateg. Manag. J. 2021, 20, 1–7. [Google Scholar]
- Tuten, T.L.; Solomon, M.R. Social Media Marketing; Sage: London, UK, 2020; ISBN 978-1526423870. [Google Scholar]
- Fondevila-Gascón, J.F.; Polo-López, M.; Rom-Rodríguez, J.; Mir-Bernal, P. Social Media Influence on Consumer Behavior: The Case of Mobile Telephony Manufacturers. Sustainability 2020, 12, 1506. [Google Scholar] [CrossRef] [Green Version]
- Khajeheian, D.; Ebrahimi, P. Media Branding and Value Co-Creation: Effect of User Participation in Social Media of Newsmedia on Attitudinal and Behavioural Loyalty. Eur. J. Int. Manag. 2021, 16, 499–528. [Google Scholar] [CrossRef]
- Eisape, D. Comparing Platform Business Models: A Balanced Scorecard Approach Based on the Platform Business Model Canvas. Nord. J. Media Manag. 2020, 1, 401–432. [Google Scholar] [CrossRef]
- Ngai, E.W.T.; Tao, S.S.C.; Moon, K.K.L. Social Media Research: Theories, Constructs, and Conceptual Frameworks. Int. J. Inf. Manag. 2015, 35, 33–44. [Google Scholar] [CrossRef]
- Xiang, Z.; Gretzel, U. Role of Social Media in Online Travel Information Search. Tour. Manag. 2010, 31, 179–188. [Google Scholar] [CrossRef]
- Buzzetto-More, N. Social Media and Prosumerism. In Proceedings of the Informing Science and Information Technology Education Conference; Informing Science Institute: Santa Rosa, CA, USA, 2013; pp. 67–80. [Google Scholar]
- Golder, S.A.; Macy, M.W. Diurnal and Seasonal Mood Vary with Work, Sleep, and Daylength across Diverse Cultures. Science 2011, 333, 1878–1881. [Google Scholar] [CrossRef] [Green Version]
- Nemati, S.; Khajeheian, D. Big Data for Competitiveness of SMEs: Use of Consumer Analytic to Identify Niche Markets. In Competitiveness in Emerging Markets; Springer: Berlin/Heidelberg, Germany, 2018; pp. 585–599. [Google Scholar]
- Men, L.R.; Tsai, W.-H.S. Beyond Liking or Following: Understanding Public Engagement on Social Networking Sites in China. Public Relat. Rev. 2013, 39, 13–22. [Google Scholar] [CrossRef]
- Matičič Zver, M.; Vukasović, T. Consumers’ Attitude Towards Eco Friendly Textile Products. Tekstilec 2021, 64, 159–171. [Google Scholar] [CrossRef]
- Crespo, M.; Pinto-Martinho, A.; Foà, C.; Paisana, M.; Pais, P.C. Business Models of Journalistic Startups in Portugal: An Analysis of Product Innovation, Dissemination and Monetization in Media Enterprises. Nord. J. Media Manag. 2020, 1, 261–296. [Google Scholar]
- Wibowo, A.; Chen, S.-C.; Wiangin, U.; Ma, Y.; Ruangkanjanases, A. Customer Behavior as an Outcome of Social Media Marketing: The Role of Social Media Marketing Activity and Customer Experience. Sustainability 2021, 13, 189. [Google Scholar] [CrossRef]
- Vafaei, S.A.; Azmoon, I.; Fekete-Farkas, M. The Impact of Perceived Sustainable Marketing Policies on Green Customer Satisfaction. Pol. J. Manag. Stud. 2019, 19. [Google Scholar] [CrossRef]
- Malmir, A.; Rajabi Farjad, H.; Chegini, M. Conceptualization Intention to Purchase Environmentally Friendly Packaging Products Among Consumers (Arak People). J. Packag. Sci. Tech. 2018, 9, 18–31. [Google Scholar]
- Ruangkanjanases, A.; Hsu, S.-L.; Wu, Y.J.; Chen, S.-C.; Chang, J.-Y. What Drives Continuance Intention towards Social Media? Social Influence and Identity Perspectives. Sustainability 2020, 12, 7081. [Google Scholar] [CrossRef]
- Ko, H.-C. Social Desire or Commercial Desire? The Factors Driving Social Sharing and Shopping Intentions on Social Commerce Platforms. Electron. Commer. Res. Appl. 2018, 28, 1–15. [Google Scholar] [CrossRef]
- Wang, W.Y.C.; Pauleen, D.J.; Zhang, T. How Social Media Applications Affect B2B Communication and Improve Business Performance in SMEs. Ind. Mark. Manag. 2016, 54, 4–14. [Google Scholar] [CrossRef]
- Nielsen, C. The Sustainability Imperative: New Insights on Consumer Expectations; Nielsen Company: New York, NY, USA, 2015. [Google Scholar]
- Saeed, M.A.; Farooq, A.; Kersten, W.; Abdelaziz, S.I. ben Sustainable Product Purchase: Does Information about Product Sustainability on Social Media Affect Purchase Behavior? Asian J. Sustain. Soc. Responsib. 2019, 4, 1–18. [Google Scholar]
- Alwitt, L.F.; Pitts, R.E. Predicting Purchase Intentions for an Environmentally Sensitive Product. J. Consum. Psychol. 1996, 5, 49–64. [Google Scholar] [CrossRef]
- Kong, W.; Harun, A.; Sulong, R.S.; Lily, J. The Influence of Consumers Perception of Green Products on Green Purchase Intention. Int. J. Asian Soc. Sci. 2014, 4, 924–939. [Google Scholar]
- Dabija, D.-C.; Bejan, B.M.; Grant, D.B. The impact of consumer green behaviour on green loyalty among retail formats. Morav. Geogr. Rep. 2018, 26, 173–185. [Google Scholar]
- Dabija, D.-C.; Bejan, B.M.; Dinu, V. How Sustainability Oriented Is Generation Z in Retail? A Literature Review. Transform. Bus. Econ. 2019, 18, 140–155. [Google Scholar]
- Statista Natural and Organic Cosmetics in Europe—Statistics & Facts | Statista. Available online: https://www.statista.com/topics/3318/natural-and-organic-cosmetics-in-europe/ (accessed on 9 December 2021).
- Dangelico, R.M.; Vocalelli, D. “Green Marketing”: An Analysis of Definitions, Strategy Steps, and Tools through a Systematic Review of the Literature. J. Clean. Prod. 2017, 165, 1263–1279. [Google Scholar] [CrossRef]
- Park, B.; Kang, M.Y.; Lee, J. Sustainable Political Social Media Marketing: Effects of Structural Features in Plain Text Messages. Sustainability 2020, 12, 5997. [Google Scholar] [CrossRef]
- Vannucci, A.; Ohannessian, C.M.; Gagnon, S. Use of Multiple Social Media Platforms in Relation to Psychological Functioning in Emerging Adults. Emerg. Adulthood 2019, 7, 501–506. [Google Scholar] [CrossRef]
- Pollák, F.; Markovič, P. Economic Activity as a Determinant for Customer Adoption of Social Media Marketing. Sustainability 2021, 13, 3999. [Google Scholar] [CrossRef]
- Ramsaran-Fowdar, R.R.; Fowdar, S. The Implications of Facebook Marketing for Organizations. Contemp. Manag. Res. 2013, 9. [Google Scholar] [CrossRef] [Green Version]
- Raza, A.; Rather, R.A.; Iqbal, M.K.; Bhutta, U.S. An assessment of corporate social responsibility on customer company identification and loyalty in banking industry: A PLS-SEM analysis. Manag. Res. Rev. 2020, 43, 1337–1370. [Google Scholar] [CrossRef]
- Carr, C.T.; Hayes, R.A. Social Media: Defining, Developing, and Divining. Atl. J. Commun. 2015, 23, 46–65. [Google Scholar] [CrossRef]
- Nabity-Grover, T.; Cheung, C.M.K.; Thatcher, J.B. Inside out and Outside in: How the COVID-19 Pandemic Affects Self-Disclosure on Social Media. Int. J. Inf. Manag. 2020, 55, 102188. [Google Scholar] [CrossRef] [PubMed]
- Mangold, W.G.; Faulds, D.J. Social Media: The New Hybrid Element of the Promotion Mix. Bus. Horiz. 2009, 52, 357–365. [Google Scholar] [CrossRef]
- Kaplan, A.M.; Haenlein, M. Users of the World, Unite! The Challenges and Opportunities of Social Media. Bus. Horiz. 2010, 53, 59–68. [Google Scholar] [CrossRef]
- Chen, L.-C.; Huang, L.-C. The Motivation, Strategies, and Barriers for Adopting Social Media Marketing in the Flower Retailing Business. Horticulturae 2020, 6, 80. [Google Scholar] [CrossRef]
- Jo, H.-H.; Kim, J.-Y. Competitive Targeted Marketing; ISER Discussion Paper, No. 834. 2012. Available online: https://ssrn.com/abstract=2017293 (accessed on 12 October 2021).
- Li, F.; Larimo, J.; Leonidou, L.C. Social Media Marketing Strategy: Definition, Conceptualization, Taxonomy, Validation, and Future Agenda. J. Acad. Mark. Sci. 2021, 49, 51–70. [Google Scholar] [CrossRef]
- Castelló-Martínez, A.; Pino, C. del La Comunicación Publicitaria Con Influencers. Redmarka Rev. Acad. Mark. Apl. 2015, 14, 21–50. [Google Scholar]
- Peighambari, K.; Sattari, S.; Kordestani, A.; Oghazi, P. Consumer Behavior Research: A Synthesis of the Recent Literature. Sage Open 2016, 6, 2158244016645638. [Google Scholar] [CrossRef] [Green Version]
- Armstrong, G.; Adam, S.; Denize, S.; Kotler, P. Principles of Marketing; Pearson: Melbourne, Australia, 2014; ISBN 1486002536. [Google Scholar]
- Brassington, F.; Petitt, S. Principles of Marketing; FT Prentice Hall: London, UK, 2005; ISBN 0273657917. [Google Scholar]
- Boyd, H.W. Marketing Management: A Strategic, Decision-Making Approach; McGraw-Hill: New York, NY, USA, 2002; ISBN 0072315237. [Google Scholar]
- Dibb, S.; Simkin, L.; Pride, W.M.; Ferrell, O.C. Marketing: Concepts and Strategies; Houghton Mifflin: Boston, MA, USA, 2005; ISBN 061853203X. [Google Scholar]
- Bettman, J.R. Information Processing Theory of Consumer Choice; Addison-Wesley Pub. Co.: Boston, MA, USA, 1979; ISBN 0201008343. [Google Scholar]
- Jobber, D. Principles and Practice of Marketing; McGraw-Hill: New York, NY, USA, 2007. [Google Scholar]
- Pritchett, B.; Pritchett, T.K. Test Item File [to Accompany] Marketing Management, by Philip Kotler; Prentice Hall: Hoboken, NJ, USA, 2000; ISBN 0130135968. [Google Scholar]
- Aziz, N.; Yani, A. The Determinant Factors of Green Consumption Behavior. Bus. Econ. Law 2017, 12, 16–22. [Google Scholar]
- Young, W.; Hwang, K.; McDonald, S.; Oates, C.J. Sustainable Consumption: Green Consumer Behaviour When Purchasing Products. Sustain. Dev. 2010, 18, 20–31. [Google Scholar] [CrossRef]
- Barber, N.A.; Bishop, M.; Gruen, T. Who Pays More (or Less) for pro-Environmental Consumer Goods? Using the Auction Method to Assess Actual Willingness-to-Pay. J. Environ. Psychol. 2014, 40, 218–227. [Google Scholar] [CrossRef]
- White, K.; Habib, R.; Hardisty, D.J. How to SHIFT Consumer Behaviors to Be More Sustainable: A Literature Review and Guiding Framework. J. Mark. 2019, 83, 22–49. [Google Scholar] [CrossRef] [Green Version]
- Ripple, W.J.; Wolf, C.; Newsome, T.M.; Galetti, M.; Alamgir, M.; Crist, E.; Mahmoud, M.I.; Laurance, W.F. 15, 364 Scientist Signatories from 184 Countries World Scientists’ Warning to Humanity: A Second Notice. BioScience 2017, 67, 1026–1028. [Google Scholar] [CrossRef]
- Csikszentmihalyi, M. The Costs and Benefits of Consuming. J. Consum. Res. 2000, 27, 267–272. [Google Scholar] [CrossRef] [Green Version]
- Peattie, K.; Peattie, S. Social Marketing: A Pathway to Consumption Reduction? J. Bus. Res. 2009, 62, 260–268. [Google Scholar] [CrossRef]
- Banerjee, S.B.; Iyer, E.S.; Kashyap, R.K. Corporate Environmentalism: Antecedents and Influence of Industry Type. J. Mark. 2003, 67, 106–122. [Google Scholar] [CrossRef]
- De Pelsmacker, P.; Driesen, L.; Rayp, G. Do Consumers Care about Ethics? Willingness to Pay for Fair-trade Coffee. J. Consum. Aff. 2005, 39, 363–385. [Google Scholar] [CrossRef]
- Biswas, A.; Roy, M. Green Products: An Exploratory Study on the Consumer Behaviour in Emerging Economies of the East. J. Clean. Prod. 2015, 87, 463–468. [Google Scholar] [CrossRef]
- Agichtein, E.; Castillo, C.; Donato, D.; Gionis, A.; Mishne, G. Finding High-Quality Content in Social Media. In Proceedings of the 2008 International Conference on Web Search and Data Mining, Palo Alto, CA, USA, 11–12 February 2008; pp. 183–194. [Google Scholar]
- Wen, D.M.-H.; Chang, D.J.-W.; Lin, Y.-T.; Liang, C.-W.; Yang, S.-Y. Gamification Design for Increasing Customer Purchase Intention in a Mobile Marketing Campaign App. In Proceedings of the International Conference on HCI In business; Springer: Berlin/Heidelberg, Germany, 2014; pp. 440–448. [Google Scholar]
- Yu, N.; Huang, Y.-T. Why Do People Play Games on Mobile Commerce Platforms? An Empirical Study on the Influence of Gamification on Purchase Intention. Comput. Hum. Behav. 2022, 126, 106991. [Google Scholar] [CrossRef]
- Schmenner, R.W. How Can Service Businesses Survive and Prosper? Sloan Manag. Rev. 1986, 27, 21. [Google Scholar]
- Ding, Y.; Keh, H.T. A Re-Examination of Service Standardization versus Customization from the Consumer’s Perspective. J. Serv. Mark. 2016, 30, 16–28. [Google Scholar] [CrossRef]
- Nam, K.; Yeo, J. A Study on Consumers’ Acceptance Process of Mobile Advertising. J. Consum. Stud. 2011, 22, 1–28. [Google Scholar]
- Martin, K.; Todorov, I. How Will Digital Platforms Be Harnessed in 2010, and How Will They Change the Way People Interact with Brands? J. Interact. Advert. 2010, 10, 61–66. [Google Scholar] [CrossRef]
- Wang, Y.; Chowdhury Ahmed, S.; Deng, S.; Wang, H. Success of Social Media Marketing Efforts in Retaining Sustainable Online Consumers: An Empirical Analysis on the Online Fashion Retail Market. Sustainability 2019, 11, 3596. [Google Scholar] [CrossRef] [Green Version]
- Barhemmati, N.; Ahmad, A. Effects of Social Network Marketing (SNM) on Consumer Purchase Behavior ThroughCustomer Engagement. J. Adv. Manag. Sci. 2015, 3, 307–311. [Google Scholar] [CrossRef]
- Muntinga, D.G.; Moorman, M.; Smit, E.G. Introducing COBRAs. Int. J. Advert. 2011, 30, 13–46. [Google Scholar] [CrossRef]
- Daugherty, T.; Eastin, M.S.; Bright, L. Exploring Consumer Motivations for Creating User-Generated Content. J. Interact. Advert. 2008, 8, 16–25. [Google Scholar] [CrossRef]
- Gallaugher, J.; Ransbotham, S. Social Media and Customer Dialog Management at Starbucks. MIS Q. Exec. 2010, 9, 197–212. [Google Scholar]
- Zhao, L.; Lee, S.H.; Copeland, L.R. Social Media and Chinese Consumers’ Environmentally Sustainable Apparel Purchase Intentions. Asia Pac. J. Mark. Logist. 2019, 31, 855–874. [Google Scholar] [CrossRef]
- Xhema, J. Effect of Social Networks on Consumer Behaviour: Complex Buying. IFAC-PapersOnLine 2019, 52, 504–508. [Google Scholar] [CrossRef]
- Nasir, S.; Vel, P.; Mateen, H. Social Media and Buying Behaviour of Women in Pakistan towards the Purchase of Textile Garments; University of Wollongong in Dubai: Dubai, United Arab Emirates, 2012. [Google Scholar]
- Pop, R.-A.; Săplăcan, Z.; Alt, M.-A. Social Media Goes Green—The Impact of Social Media on Green Cosmetics Purchase Motivation and Intention. Information 2020, 11, 447. [Google Scholar] [CrossRef]
- Erdem, T.; Swait, J.; Valenzuela, A. Brands as Signals: A Cross-Country Validation Study. J. Mark. 2006, 70, 34–49. [Google Scholar] [CrossRef]
- Ghafourian Shagerdi, A.; Daneshmand, B.; Behboodi, O. The Impact of Social Networks Marketing toward Purchase Intention and Brand Loyalty. New Mark. Res. J. 2017, 7, 175–190. [Google Scholar]
- Godey, B.; Manthiou, A.; Pederzoli, D.; Rokka, J.; Aiello, G.; Donvito, R.; Singh, R. Social Media Marketing Efforts of Luxury Brands: Influence on Brand Equity and Consumer Behavior. J. Bus. Res. 2016, 69, 5833–5841. [Google Scholar] [CrossRef]
- Naaman, M.; Becker, H.; Gravano, L. Hip and Trendy: Characterizing Emerging Trends on Twitter. J. Am. Soc. Inf. Sci. Technol. 2011, 62, 902–918. [Google Scholar] [CrossRef] [Green Version]
- Madni, G.R. Consumer’s Behavior and Effectiveness of Social Media. Glob. J. Manag. Bus. Res. E Mark. 2014, 14, 56–62. [Google Scholar]
- Biswas, A.; Licata, J.W.; McKee, D.; Pullig, C.; Daughtridge, C. The Recycling Cycle: An Empirical Examination of Consumer Waste Recycling and Recycling Shopping Behaviors. J. Public Policy Mark. 2000, 19, 93–105. [Google Scholar] [CrossRef]
- Abdul-Muhmin, A.G. Explaining Consumers’ Willingness to Be Environmentally Friendly. Int. J. Consum. Stud. 2007, 31, 237–247. [Google Scholar] [CrossRef]
- Prakash, G.; Choudhary, S.; Kumar, A.; Garza-Reyes, J.A.; Khan, S.A.R.; Panda, T.K. Do Altruistic and Egoistic Values Influence Consumers’ Attitudes and Purchase Intentions towards Eco-Friendly Packaged Products? An Empirical Investigation. J. Retail. Consum. Serv. 2019, 50, 163–169. [Google Scholar] [CrossRef]
- Malik, C.; Singhal, N. Consumer Environmental Attitude and Willingness to Purchase Environmentally Friendly Products: An SEM Approach. Vision 2017, 21, 152–161. [Google Scholar] [CrossRef]
- Seo, S.; Ahn, H.-K.; Jeong, J.; Moon, J. Consumers’ Attitude toward Sustainable Food Products: Ingredients vs. Packaging. Sustainability 2016, 8, 1073. [Google Scholar] [CrossRef] [Green Version]
- Ophuis, P.A.M.O.; van Trijp, H.C.M. Perceived Quality: A Market Driven and Consumer Oriented Approach. Food Qual. Prefer. 1995, 6, 177–183. [Google Scholar] [CrossRef]
- Ampuero, O.; Vila, N. Consumer perceptions of product packaging. J. Consum. Mark. 2006, 23, 100–112. [Google Scholar] [CrossRef]
- Zelezny, L.C.; Schultz, P.W. Promoting Environmentalism. J. Soc. Issues 2000, 56, 365–372. [Google Scholar] [CrossRef]
- Chen, T.B.; Chai, L.T. Attitude towards the Environment and Green Products: Consumers’ Perspective. Manag. Sci. Eng. 2010, 4, 27–39. [Google Scholar]
- Ajzen, I. The Theory of Planned Behavior. Organ. Behav. Hum. Decis. Process. 1991, 50, 179–211. [Google Scholar] [CrossRef]
- Ajzen, I. From Intentions to Actions: A Theory of Planned Behavior. In Action Control; Springer: Berlin/Heidelberg, Germany, 1985; pp. 11–39. [Google Scholar]
- Mansaray, A.; Abijoye, J.O. Environmental Knowledge, Attitudes and Behavior in Dutch Secondary School. J. Environ. Educ. 1998, 30, 4–11. [Google Scholar]
- Tsen, C.-H.; Phang, G.; Hasan, H.; Buncha, M.R. Going green: A study of consumers’willingness to pay for green products in kota kinabalu. Int. J. Bus. Soc. 2006, 7, 40. [Google Scholar]
- Amirshahi, M.; Yazdani, H.R.; Aulipour, E. Investigation of Green Marketing Tools’ Effect on Consumers’ Behavior among Members of Social Networks in Iran. New Mark. Res. J. 2014, 3, 67–84. [Google Scholar]
- Jacobs, K.; Petersen, L.; Hörisch, J.; Battenfeld, D. Green Thinking but Thoughtless Buying? An Empirical Extension of the Value-Attitude-Behaviour Hierarchy in Sustainable Clothing. J. Clean. Prod. 2018, 203, 1155–1169. [Google Scholar] [CrossRef]
- McCarty, J.A.; Shrum, L.J. The Recycling of Solid Wastes: Personal Values, Value Orientations, and Attitudes about Recycling as Antecedents of Recycling Behavior. J. Bus. Res. 1994, 30, 53–62. [Google Scholar] [CrossRef]
- Nam, C.; Dong, H.; Lee, Y.-A. Factors Influencing Consumers’ Purchase Intention of Green Sportswear. Fash. Text. 2017, 4, 1–17. [Google Scholar] [CrossRef] [Green Version]
- Kim, A.J.; Ko, E. Do Social Media Marketing Activities Enhance Customer Equity? An Empirical Study of Luxury Fashion Brand. J. Bus. Res. 2012, 65, 1480–1486. [Google Scholar] [CrossRef]
- Han, H.; Yoon, H.J. Hotel Customers’ Environmentally Responsible Behavioral Intention: Impact of Key Constructs on Decision in Green Consumerism. Int. J. Hosp. Manag. 2015, 45, 22–33. [Google Scholar] [CrossRef]
- Wee, C.S.; Ariff, M.S.B.M.; Zakuan, N.; Tajudin, M.N.M.; Ismail, K.; Ishak, N. Consumers Perception, Purchase Intention and Actual Purchase Behavior of Organic Food Products. Rev. Integr. Bus. Econ. Res. 2014, 3, 378. [Google Scholar]
- Tabnak the Extent Use of Social Medias in Iranian People. Available online: https://www.tabnak.ir/fa/news/1035326 (accessed on 9 December 2021).
- Alshurideh, M.; al Kurdi, B.; Salloum, S.A.; Arpaci, I.; Al-Emran, M. Predicting the Actual Use of M-Learning Systems: A Comparative Approach Using PLS-SEM and Machine Learning Algorithms. Interact. Learn. Environ. 2020, 1–15. [Google Scholar] [CrossRef]
- Podsakoff, N.P. Common Method Biases in Behavioral Research: A Critical Review of the Literature and Recommended Remedies. J. Appl. Psychol. 2003, 88, 879. [Google Scholar] [CrossRef] [PubMed]
- Ringle, C.M.; Wende, S.; Becker, J.-M. SmartPLS 3. Bönningstedt: SmartPLS. 2015. Available online: http://www.smartpls.com (accessed on 12 October 2021).
- Hair, J.F., Jr.; Hult, G.T.M.; Ringle, C.M.; Sarstedt, M. A Primer on Partial Least Squares Structural Equation Modeling (PLS-SEM); Sage publications: London, UK, 2021; ISBN 1544396333. [Google Scholar]
- Hair, J.F.; Risher, J.J.; Sarstedt, M.; Ringle, C.M. When to use and how to report the results of PLS-SEM. Eur. Bus. Rev. 2019, 31, 2–24. [Google Scholar] [CrossRef]
- Shmueli, G.; Ray, S.; Estrada, J.M.V.; Chatla, S.B. The Elephant in the Room: Predictive Performance of PLS Models. J. Bus. Res. 2016, 69, 4552–4564. [Google Scholar] [CrossRef]
- Ebrahimi, P.; Ahmadi, M.; Gholampour, A.; Alipour, H. CRM performance and development of media entrepreneurship in digital, social media and mobile commerce. Int. J. Emerg. Mark. 2021, 16, 25–50. [Google Scholar] [CrossRef]
- Janavi, E.; Soleimani, M.; Gholampour, A.; Friedrichsen, M.; Ebrahimi, P. Effect of Social Media Adoption and Media Needs on Online Purchase Behavior: The Moderator Roles of Media Type, Gender, Age. J. Inf. Technol. Manag. 2021, 13, 1–24. [Google Scholar]
- Gholampour, A.; Jamshidi, M.H.M.; Habibi, A.; Motamedi Dehkordi, N.; Ebrahimi, P. The Impact of Hospital Information System on Nurses’ Satisfaction in Iranian Public Hospitals: The Moderating Role of Computer Literacy. J. Inf. Technol. Manag. 2020, 12, 141–159. [Google Scholar]
- Rehman Khan, S.A.; Yu, Z. Assessing the Eco-Environmental Performance: An PLS-SEM Approach with Practice-Based View. Int. J. Logist. Res. Appl. 2021, 24, 303–321. [Google Scholar] [CrossRef]
- Sarstedt, M.; Hair, J.F., Jr.; Cheah, J.-H.; Becker, J.-M.; Ringle, C.M. How to Specify, Estimate, and Validate Higher-Order Constructs in PLS-SEM. Australas. Mark. J. (AMJ) 2019, 27, 197–211. [Google Scholar] [CrossRef]
- Moghadamzadeh, A.; Ebrahimi, P.; Radfard, S.; Salamzadeh, A.; Khajeheian, D. Investigating the Role of Customer Co-Creation Behavior on Social Media Platforms in Rendering Innovative Services. Sustainability 2020, 12, 6926. [Google Scholar] [CrossRef]
- Fornell, C.; Larcker, D.F. Evaluating Structural Equation Models with Unobservable Variables and Measurement Error. J. Mark. Res. 1981, 18, 39–50. [Google Scholar] [CrossRef]
- Kock, N. Common Method Bias in PLS-SEM: A Full Collinearity Assessment Approach. Int. J. e-Collab. (IJEC) 2015, 11, 1–10. [Google Scholar] [CrossRef] [Green Version]
- Manfrin, A.; Bugewa, A.; Prabha, P. A conceptual model for students’ satisfaction with team-based learning using partial least squares structural equation modelling in a faculty of life sciences, in the United Kingdom. J. Educ. Eval. Health Prof. 2019, 16, 36. [Google Scholar] [CrossRef]
- Shmueli, G.; Sarstedt, M.; Hair, J.F.; Cheah, J.-H.; Ting, H.; Vaithilingam, S.; Ringle, C.M. Predictive model assessment in PLS-SEM: Guidelines for using PLSpredict. Eur. J. Mark. 2019, 53, 2322–2347. [Google Scholar] [CrossRef]
- Henseler, J. Partial Least Squares Path Modeling: Quo Vadis? Qual. Quant. 2018, 52, 1–8. [Google Scholar] [CrossRef] [Green Version]
- Dul, J. Necessary Condition Analysis (NCA) Logic and Methodology of “Necessary but Not Sufficient” Causality. Organ. Res. Methods 2016, 19, 10–52. [Google Scholar] [CrossRef]
- Dul, J. Conducting Necessary Condition Analysis for Business and Management Students; Sage: London, UK, 2019; ISBN 1526481154. [Google Scholar]
- Richter, N.F.; Schubring, S.; Hauff, S.; Ringle, C.M.; Sarstedt, M. When predictors of outcomes are necessary: Guidelines for the combined use of PLS-SEM and NCA. Ind. Manag. Data Syst. 2020, 120, 2243–2267. [Google Scholar] [CrossRef]
- Hyun, S.S.; Kim, W.; Lee, M.J. The Impact of Advertising on Patrons’ Emotional Responses, Perceived Value, and Behavioral Intentions in the Chain Restaurant Industry: The Moderating Role of Advertising-Induced Arousal. Int. J. Hosp. Manag. 2011, 30, 689–700. [Google Scholar] [CrossRef]
- Omidi, F.; SadrHashemi, M.M.; Adinehhfar, A.; Zeynali, S. The effects of commercial advertising on the attitude and intention of consumers to buy green products. Appl. Stud. Manag. Dev. Sci. 2018, 7, 60–77. [Google Scholar]
- Kim, A.J.; Ko, E. Impacts of Luxury Fashion Brand’s Social Media Marketing on Customer Relationship and Purchase Intention. J. Glob. Fash. Mark. 2010, 1, 164–171. [Google Scholar] [CrossRef]
- Hasan, M.; Sohail, M.S. The Influence of Social Media Marketing on Consumers’ Purchase Decision: Investigating the Effects of Local and Nonlocal Brands. J. Int. Consum. Mark. 2021, 33, 350–367. [Google Scholar] [CrossRef]
- Chen, S.-C.; Lin, C.-P. Understanding the Effect of Social Media Marketing Activities: The Mediation of Social Identification, Perceived Value, and Satisfaction. Technol. Forecast. Soc. Chang. 2019, 140, 22–32. [Google Scholar] [CrossRef]
- Abbas, J.; Mahmood, S.; Ali, H.; Ali Raza, M.; Ali, G.; Aman, J.; Bano, S.; Nurunnabi, M. The Effects of Corporate Social Responsibility Practices and Environmental Factors through a Moderating Role of Social Media Marketing on Sustainable Performance of Business Firms. Sustainability 2019, 11, 3434. [Google Scholar] [CrossRef] [Green Version]
- Cetina, I.; Dumitrescu, L.; Fuciu, M.; Orzan, G.; Stoicescu, C. modelling the influences of online social networks on consumers’ buying behaviour. Econ. Comput. Econ. Cybern. Stud. Res. 2018, 52, 5–20. [Google Scholar]
- Khodadad Hosseini, H.; Samiei, N.; Ahmadi, P. The Effect of Social Media Marketing on Consumer Behavior; Investigating the Role of Brand Equity, Brand Relationship Quality and Attitude towards Brand. Consum. Behav. Stud. J. 2018, 5, 37–59. [Google Scholar]
- Madani, K. Have International Sanctions Impacted Iran’s Environment? World 2021, 2, 231–252. [Google Scholar] [CrossRef]
- Ioanas, E. Social Media and Its Impact on Consumers Behavior. J. Anal. Kesehat. 2020, 1, 295–303. [Google Scholar]
- Fagerstrøm, A.; Ghinea, G. Co-Creation of Value in Higher Education: Using Social Network Marketing in the Recruitment of Students. J. High. Educ. Policy Manag. 2013, 35, 45–53. [Google Scholar] [CrossRef]





| Variables and Items | Outer Loadings | VIF |
|---|---|---|
| Entertainment [103] (Mean = 4.27, SD = 0.67, AVE = 0.707, C. alpha = 0.862, Rho_A = 0.869, CR = 0.906) | ||
| ENT 1: The contents on social networks are believed to be thought-provoking in using sustainable products. | 0.871 | 2.615 |
| ENT 2: Using social networks is exciting. | 0.881 | 2.452 |
| ENT 3: Gathering data on sustainable services and sustainable products through social networks is fun. | 0.819 | 2.047 |
| ENT 4: Using social networks saves time in identifying sustainable products easily. | 0.790 | 1.619 |
| Customization [103] (Mean = 4.36, SD = 0.58, AVE = 0.597, C. alpha = 0.828, Rho_A = 0.839, CR = 0.879) | ||
| CUS 1: Looking for tailored data related to sustainable products and services on social networks is possible. | 0.701 | 1.507 |
| CUS 2: Customized services are offered by social networks. | 0.751 | 1.618 |
| CUS 3: Social networks offer exciting feed data that users are interested in. | 0.766 | 1.709 |
| CUS 4: Using Social networks makes it easy to find sustainable products. | 0.792 | 1.787 |
| CUS 5: Social networks are everywhere. | 0.848 | 2.231 |
| Interaction [103] (Mean = 4.24, SD = 0.63, AVE = 0.666, C. alpha = 0.829, Rho_A = 0.859, CR = 0.887) | ||
| INT 1: Conveying opinions between buyers/sellers through social networks is easy. | 0.894 | 2.891 |
| INT 2: Exchange of opinions or conversations related to sustainable products and services with buyers/sellers through social networks. | 0.859 | 2.552 |
| INT 3: Two-way interaction through social networks is easy. | 0.849 | 1.899 |
| INT 4: Sharing data with buyers/sellers through social networks is easy. | 0.637 | 1.293 |
| Word of mouth [103] (Mean = 4.34, SD = 0.67, AVE = 0.728, C. alpha = 0.813, Rho_A = 0.821, CR = 0.889) | ||
| WOM 1: I like to share information about sustainable products or services from social networks with my friends. | 0.890 | 2.056 |
| WOM 2: I like uploading content from social networks on my page, blog, or microblog. | 0.824 | 1.746 |
| WOM 3: I like sharing thoughts on items or services acquired from social networks with my friends. | 0.843 | 1.702 |
| Trend [103] (Mean = 4.32, SD = 0.65, AVE = 0.771, C. alpha = 0.705, Rho_A = 0.724, CR = 0.871) | ||
| TRE 1: It is a leading brand and supports sustainable products/services by using social networks. | 0.903 | 1.422 |
| TRE 2: Contents related to sustainable products/services on social networks are fresh. | 0.852 | 1.422 |
| eco-friendly consumers’ attitude [112] (Mean = 4.42, SD = 0.60, AVE = 0.700, C. alpha = 0.786, Rho_A = 0.802, CR = 0.875) | ||
| ATT1: I would prefer to buy products that use biodegradable material in packaging. | 0.782 | 1.513 |
| ATT2: I would wish to buy those products that are picked up and recycled for other use.rend | 0.852 | 1.716 |
| ATT3: I would buy biodegradable products even if they belong to a less well-known company. | 0.874 | 1.787 |
| CSPB [88,105] (Mean = 4.35, SD = 0.63, AVE = 0.701, C. alpha = 0.787, Rho_A = 0.788, CR = 0.875) | ||
| CSPB1: I would buy products with eco-friendly packaging in the near future. | 0.853 | 1.708 |
| CSPB2: I plan to buy eco-friendly packaged products regularly. | 0.821 | 1.599 |
| CSPB3: I intend to buy products with eco-friendly packaging due to my environmental concerns. | 0.838 | 1.641 |
| Constructs | CSPB | CUS | ENT | INT | TRE | WOM | ATT |
|---|---|---|---|---|---|---|---|
| CSPM | 0.837 | ||||||
| CUS | 0.723 | 0.773 | |||||
| ENT | 0.747 | 0.683 | 0.841 | ||||
| INT | 0.750 | 0.664 | 0.722 | 0.816 | |||
| TRE | 0.730 | 0.756 | 0.726 | 0.755 | 0.878 | ||
| WOM | 0.750 | 0.748 | 0.698 | 0.759 | 0.657 | 0.853 | |
| ATT | 0.744 | 0.646 | 0.692 | 0.658 | 0.624 | 0.658 | 0.837 |
| Hypotheses | Direct Effect | Standard Deviation (SD) | T-Statistics | p Value | Low CI (Confidence Interval) | High CI (Confidence Interval) | Moderation | Decision |
|---|---|---|---|---|---|---|---|---|
| H1 | 0.354 | 0.036 | 9.921 *** | 0.000 | 0.286 | 0.451 | Supported | |
| H2 | 0.121 | 0.045 | 2.707 ** | 0.007 | 0.463 | 0.612 | Supported | |
| H3 | 0.414 | 0.036 | 11.400 *** | 0.000 | 0.782 | 0.869 | Supported | |
| H4 | 0.011 | 0.029 | 0.376 | 0.707 | 0.767 | 0.885 | Not Supported | |
| H5 | 0.014 | 0.032 | 0.431 | 0.667 | 0.644 | 0.802 | Not Supported | |
| H6a | 0.070 | 0.048 | 1.472 | 0.142 | 0.315 | 0.478 | No | Not Supported |
| H6b | 0.043 | 0.043 | 1.000 | 0.318 | 0.141 | 0.325 | No | Not Supported |
| H6c | 0.188 | 0.070 | 2.667 ** | 0.008 | 0.285 | 0.410 | Yes | Supported |
| H6d | 0.138 | 0.040 | 3.462 *** | 0.001 | Yes | Supported | ||
| H6e | 0.063 | 0.046 | 1.370 | 0.171 | No | Not Supported | ||
| Model fit | R2 | R2 Adjusted | Q2 predict | |||||
| CSPB | 85.9% | 85.6% | 0.576 |
| Items | RMSEPLS-SEM | RMSELM | ∆RMSE |
|---|---|---|---|
| CSPB1 | 0.423 | 0.447 | −0.024 |
| CSPB2 | 0.529 | 0.534 | −0.005 |
| CSPB3 | 0.483 | 0.492 | −0.009 |
| Bottleneck CSPB | ENT | CUS | INT | WOM | TRE | ATT |
|---|---|---|---|---|---|---|
| 0 | NN | NN | NN | NN | NN | NN |
| 10 | 20.0 | NN | 7.1 | 9.1 | NN | NN |
| 20 | 26.7 | 35.3 | 28.6 | 18.2 | 28.6 | 20.0 |
| 30 | 26.7 | 35.3 | 28.6 | 18.2 | 42.9 | 50.0 |
| 40 | 26.7 | 35.3 | 42.9 | 45.5 | 57.1 | 50.0 |
| 50 | 26.7 | 35.3 | 42.9 | 45.5 | 57.1 | 50.0 |
| 60 | 26.7 | 35.3 | 42.9 | 45.5 | 57.1 | 50.0 |
| 70 | 26.7 | 64.7 | 42.9 | 45.5 | 57.1 | 50.0 |
| 80 | 60.0 | 64.7 | 57.1 | 54.5 | 71.4 | 60.0 |
| 90 | 60.0 | 64.7 | 57.1 | 72.7 | 71.4 | 60.0 |
| 100 | 86.7 | 76.5 | 78.6 | 72.7 | 71.4 | 70.0 |
| NCA effect sizes (Accuracy and fit are 100%) | ||||||
| Construct | CE-FDH | Slope | ||||
| ENT (Entertainment) | 0.387 * | 1.066 | ||||
| CUS (Customization) | 0.447 * | 1.155 | ||||
| INT (Interaction) | 0.429 * | 1.318 | ||||
| WOM (Word of Mouth) | 0.427 * | 1.291 | ||||
| TRE (Trend) | 0.514 * | 1.198 | ||||
| ATT (Eco-friendly Attitude) | 0.460 * | 1.382 | ||||
Publisher’s Note: MDPI stays neutral with regard to jurisdictional claims in published maps and institutional affiliations. |
© 2021 by the authors. Licensee MDPI, Basel, Switzerland. This article is an open access article distributed under the terms and conditions of the Creative Commons Attribution (CC BY) license (https://creativecommons.org/licenses/by/4.0/).
Share and Cite
Ebrahimi, P.; Khajeheian, D.; Fekete-Farkas, M. A SEM-NCA Approach towards Social Networks Marketing: Evaluating Consumers’ Sustainable Purchase Behavior with the Moderating Role of Eco-Friendly Attitude. Int. J. Environ. Res. Public Health 2021, 18, 13276. https://doi.org/10.3390/ijerph182413276
Ebrahimi P, Khajeheian D, Fekete-Farkas M. A SEM-NCA Approach towards Social Networks Marketing: Evaluating Consumers’ Sustainable Purchase Behavior with the Moderating Role of Eco-Friendly Attitude. International Journal of Environmental Research and Public Health. 2021; 18(24):13276. https://doi.org/10.3390/ijerph182413276
Chicago/Turabian StyleEbrahimi, Pejman, Datis Khajeheian, and Maria Fekete-Farkas. 2021. "A SEM-NCA Approach towards Social Networks Marketing: Evaluating Consumers’ Sustainable Purchase Behavior with the Moderating Role of Eco-Friendly Attitude" International Journal of Environmental Research and Public Health 18, no. 24: 13276. https://doi.org/10.3390/ijerph182413276
APA StyleEbrahimi, P., Khajeheian, D., & Fekete-Farkas, M. (2021). A SEM-NCA Approach towards Social Networks Marketing: Evaluating Consumers’ Sustainable Purchase Behavior with the Moderating Role of Eco-Friendly Attitude. International Journal of Environmental Research and Public Health, 18(24), 13276. https://doi.org/10.3390/ijerph182413276

