Cabozantinib Following Immunotherapy in Patients with Advanced Hepatocellular Carcinoma
Abstract
Simple Summary
Abstract
1. Introduction
2. Methods
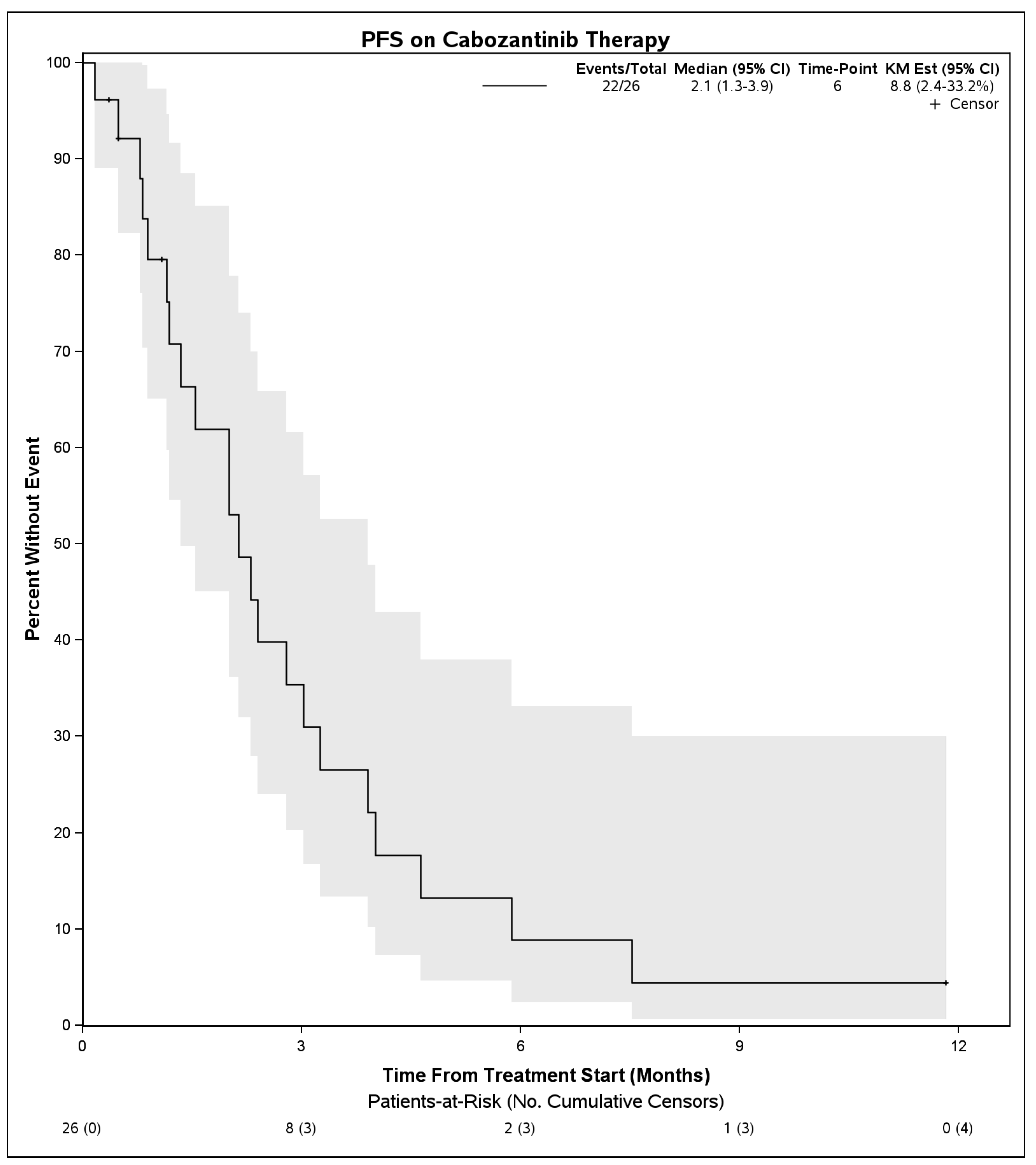
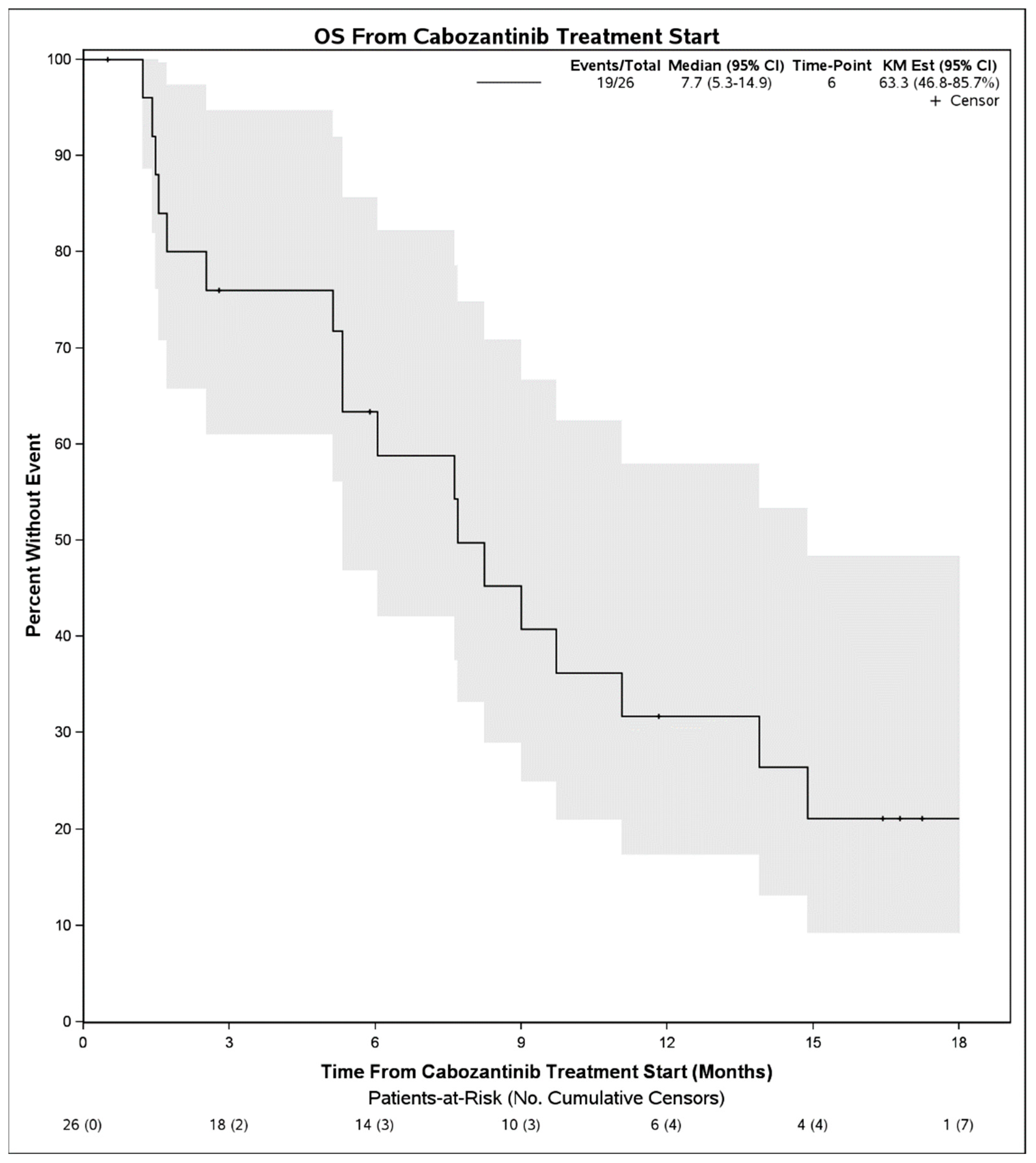
3. Results
4. Discussion
5. Conclusions
Author Contributions
Funding
Institutional Review Board Statement
Informed Consent Statement
Data Availability Statement
Conflicts of Interest
References
- Llovet, J.M.; Ricci, S.; Mazzaferro, V.; Hilgard, P.; Gane, E.; Blanc, J.-F.; de Oliveira, A.C.; Santoro, A.; Raoul, J.-L.; Forner, A.; et al. Sorafenib in Advanced Hepatocellular Carcinoma. New Engl. J. Med. 2008, 359, 378–390. [Google Scholar] [CrossRef] [PubMed]
- Kudo, M.; Finn, R.S.; Qin, S.; Han, K.-H.; Ikeda, K.; Piscaglia, F.; Baron, A.; Park, J.-W.; Han, G.; Jassem, J.; et al. Lenvatinib versus sorafenib in first-line treatment of patients with unresectable hepatocellular carcinoma: A randomised phase 3 non-inferiority trial. Lancet 2018, 391, 1163–1173. [Google Scholar] [CrossRef]
- Farazi, P.A.; DePinho, R.A. Hepatocellular carcinoma pathogenesis: From genes to environment. Nat. Rev. Cancer 2006, 6, 674–687. [Google Scholar] [CrossRef]
- Prieto, J.; Melero, I.; Sangro, B. Immunological landscape and immunotherapy of hepatocellular carcinoma. Nat. Rev. Gastroenterol. Hepatol. 2015, 12, 681–700. [Google Scholar] [CrossRef] [PubMed]
- Finn, R.S.; Qin, S.; Ikeda, M.; Galle, P.R.; Ducreux, M.; Kim, T.-Y.; Kudo, M.; Breder, V.; Merle, P.; Kaseb, A.O.; et al. Atezolizumab plus Bevacizumab in Unresectable Hepatocellular Carcinoma. N. Engl. J. Med. 2020, 382, 1894–1905. [Google Scholar] [CrossRef] [PubMed]
- Abou-Alfa, G.K.; Chan, S.L.; Kudo, M.; Lau, G.; Kelley, R.K.; Furuse, J.; Sukeepaisarnjaroen, W.; Kang, Y.-K.; Dao, T.V.; De Toni, E.N.; et al. Phase 3 randomized, open-label, multicenter study of tremelimumab (T) and durvalumab (D) as first-line therapy in patients (pts) with unresectable hepatocellular carcinoma (uHCC): HIMALAYA. J. Clin. Oncol. 2022, 40, 379. [Google Scholar] [CrossRef]
- Qin, S.; Chan, L.; Gu, S.; Bai, Y.; Ren, Z.; Lin, X.; Chen, Z.; Jia, W.; Jin, Y.; Guo, Y.; et al. LBA35 Camrelizumab (C) plus rivoceranib (R) vs. sorafenib (S) as first-line therapy for unresectable hepatocellular carcinoma (uHCC): A randomized, phase III trial. Ann. Oncol. 2022, 33, S1401–S1402. [Google Scholar] [CrossRef]
- Qin, S.; Kudo, M.; Meyer, T.; Finn, R.; Vogel, A.; Bai, Y.; Guo, Y.; Meng, Z.; Zhang, T.; Satoh, T.; et al. LBA36 Final analysis of RATIONALE-301: Randomized, phase III study of tislelizumab versus sorafenib as first-line treatment for unresectable hepatocellular carcinoma. Ann. Oncol. 2022, 33, S1402–S1403. [Google Scholar] [CrossRef]
- Abou-Alfa, G.K.; Meyer, T.; Cheng, A.-L.; El-Khoueiry, A.B.; Rimassa, L.; Ryoo, B.-Y.; Cicin, I.; Merle, P.; Chen, Y.; Park, J.-W.; et al. Cabozantinib in Patients with Advanced and Progressing Hepatocellular Carcinoma. N. Engl. J. Med. 2018, 379, 54–63. [Google Scholar] [CrossRef]
- Bruix, J.; Qin, S.; Merle, P.; Granito, A.; Huang, Y.-H.; Bodoky, G.; Pracht, M.; Yokosuka, O.; Rosmorduc, O.; Breder, V.; et al. Regorafenib for patients with hepatocellular carcinoma who progressed on sorafenib treatment (RESORCE): A randomised, double-blind, placebo-controlled, phase 3 trial. Lancet 2017, 389, 56–66. [Google Scholar] [CrossRef]
- Zhu, A.X.; Kang, Y.-K.; Yen, C.-J.; Finn, R.S.; Galle, P.R.; Llovet, J.M.; Assenat, E.; Brandi, G.; Pracht, M.; Lim, H.Y.; et al. Ramucirumab after sorafenib in patients with advanced hepatocellular carcinoma and increased α-fetoprotein concentrations (REACH-2): A randomised, double-blind, placebo-controlled, phase 3 trial. Lancet Oncol. 2019, 20, 282–296. [Google Scholar] [CrossRef]
- Zhu, A.X.; Finn, R.S.; Edeline, J.; Cattan, S.; Ogasawara, S.; Palmer, D.; Verslype, C.; Zagonel, V.; Fartoux, L.; Vogel, A.; et al. Pembrolizumab in patients with advanced hepatocellular carcinoma previously treated with sorafenib (KEYNOTE-224): A non-randomised, open-label phase 2 trial. Lancet Oncol. 2018, 19, 940–952. [Google Scholar] [CrossRef]
- Finn, R.S.; Ryoo, B.-Y.; Merle, P.; Kudo, M.; Bouattour, M.; Lim, H.Y.; Breder, V.; Edeline, J.; Chao, Y.; Ogasawara, S.; et al. Pembrolizumab As Second-Line Therapy in Patients With Advanced Hepatocellular Carcinoma in KEYNOTE-240: A Randomized, Double-Blind, Phase III Trial. J. Clin. Oncol. 2020, 38, 193–202. [Google Scholar] [CrossRef] [PubMed]
- Qin, S.; Chen, Z.; Fang, W.; Ren, Z.; Xu, R.; Ryoo, B.-Y.; Meng, Z.; Bai, Y.; Chen, X.; Liu, X.; et al. Pembrolizumab plus best supportive care versus placebo plus best supportive care as second-line therapy in patients in Asia with advanced hepatocellular carcinoma (HCC): Phase 3 KEYNOTE-394 study. J. Clin. Oncol. 2022, 40, 383. [Google Scholar] [CrossRef]
- Gordan, J.D.; Kennedy, E.B.; Abou-Alfa, G.K.; Beg, M.S.; Brower, S.T.; Gade, T.P.; Goff, L.; Gupta, S.; Guy, J.; Harris, W.P.; et al. Systemic Therapy for Advanced Hepatocellular Carcinoma: ASCO Guideline. J. Clin. Oncol. 2020, 38, 4317–4345. [Google Scholar] [CrossRef]
- Frenette, C. How to Choose Second-Line Treatment for Hepatocellular Carcinoma. Gastroenterol. Hepatol. 2021, 17, 431–434. [Google Scholar]
- Yakes, F.M.; Chen, J.; Tan, J.; Yamaguchi, K.; Shi, Y.; Yu, P.; Qian, F.; Chu, F.; Bentzien, F.; Cancilla, B.; et al. Cabozantinib (XL184), a Novel MET and VEGFR2 Inhibitor, Simultaneously Suppresses Metastasis, Angiogenesis, and Tumor Growth. Mol. Cancer Ther. 2011, 10, 2298–2308. [Google Scholar] [CrossRef]
- Xiang, Q.; Chen, W.; Ren, M.; Wang, J.; Zhang, H.; Deng, D.Y.; Zhang, L.; Shang, C.; Chen, Y. Cabozantinib Suppresses Tumor Growth and Metastasis in Hepatocellular Carcinoma by a Dual Blockade of VEGFR2 and MET. Clin. Cancer Res. 2014, 20, 2959–2970. [Google Scholar] [CrossRef]
- Eisenhauer, E.A.; Therasse, P.; Bogaerts, J.; Schwartz, L.H.; Sargent, D.; Ford, R.; Dancey, J.; Arbuck, S.; Gwyther, S.; Mooney, M.; et al. New response evaluation criteria in solid tumours: Revised RECIST guideline (version 1.1). Eur. J. Cancer 2009, 45, 228–247. [Google Scholar] [CrossRef]
- Tovoli, F.; Dadduzio, V.; De Lorenzo, S.; Rimassa, L.; Masi, G.; Iavarone, M.; Marra, F.; Garajova, I.; Brizzi, M.P.; Daniele, B.; et al. Real-Life Clinical Data of Cabozantinib for Unresectable Hepatocellular Carcinoma. Liver Cancer 2021, 10, 370–379. [Google Scholar] [CrossRef]
- Finkelmeier, F.; Scheiner, B.; Leyh, C.; Best, J.; Fründt, T.W.; Czauderna, C.; Beutel, A.; Bettinger, D.; Weiß, J.; Meischl, T.; et al. Cabozantinib in Advanced Hepatocellular Carcinoma: Efficacy and Safety Data from an International Multicenter Real-Life Cohort. Liver Cancer 2021, 10, 360–369. [Google Scholar] [CrossRef] [PubMed]
- Kelley, R.K.; Rimassa, L.; Cheng, A.-L.; Kaseb, A.; Qin, S.; Zhu, A.X.; Chan, S.L.; Melkadze, T.; Sukeepaisarnjaroen, W.; Breder, V.; et al. Cabozantinib plus atezolizumab versus sorafenib for advanced hepatocellular carcinoma (COSMIC-312): A multicentre, open-label, randomised, phase 3 trial. Lancet Oncol. 2022, 23, 995–1008. [Google Scholar] [CrossRef]
- Motzer, R.J.; Powles, T.; Burotto, M.; Escudier, B.; Bourlon, M.T.; Shah, A.Y.; Suárez, C.; Hamzaj, A.; Porta, C.; Hocking, C.M.; et al. Nivolumab plus cabozantinib versus sunitinib in first-line treatment for advanced renal cell carcinoma (CheckMate 9ER): Long-term follow-up results from an open-label, randomised, phase 3 trial. Lancet Oncol. 2022, 23, 888–898. [Google Scholar] [CrossRef]



| Characteristic | Patients N = 26 |
|---|---|
| Median age, years (range) | 61 (39–81) |
| Gender, N (%) | |
| Female | 4 (15) |
| Male | 22 (85) |
| Race, N (%) | |
| Caucasian | 20 (77) |
| Asian | 2 (8) |
| African American | 4 (15) |
| Median BMI (range) | 26.3 (19.7–42.3) |
| Median AFP at diagnosis (range) | 29 IU/mL (1–71,929) |
| Received Prior Embolization, N (%) | 17 (65) |
| Received Prior Ablation, N (%) | 9 (35) |
| Received Prior Radiation Therapy, N (%) | 8 (31) |
| Received Prior Systemic Therapy, N (%) | 10 (39) |
| Cirrhosis Present, N (%) | 19 (73) |
| Type II Diabetes Mellitus, N (%) | 11 (42) |
| Hyperlipidemia, N (%) | 10 (39) |
| Alcohol use, N (%) | 8 (31) |
| Hepatitis C, N (%) | 11 (42) |
| Non-Alcoholic Steatohepatitis, N (%) | 2 (8) |
| Child Pugh Score at Diagnosis, N (%) | |
| Missing | 1 |
| A5 | 16 (64) |
| A6 | 7 (28) |
| B7 | 1 (4) |
| B8 | 1 (4) |
| Child Pugh Score at start of Cabozantinib Therapy, N (%) | |
| Missing | 1 |
| A5 | 11 (44) |
| A6 | 7 (28) |
| B7 | 3 (12) |
| B8 | 1 (4) |
| B9 | 3 (12) |
| Total Lines of Therapy Received, N (%) | |
| 2 | 3 (12) |
| 3 | 13 (50) |
| 4 | 6 (23) |
| 5 | 4 (15) |
| Line of Therapy Cabozantinib Received, N (%) | |
| 2 | 4 (15) |
| 3 | 18 (69) |
| 4 | 4 (15) |
| Line of Therapy IO Received, N (%) | |
| 1 | 10 (38) |
| 2 | 15 (58) |
| 3 | 1 (4) |
| Adverse Event | Any Grade N (%) | Grade 3 or 4 N (%) |
|---|---|---|
| Fatigue | 13 (50) | 0 (0) |
| Anorexia | 9 (35) | 1 (4) |
| AST elevation | 9 (35) | 0 (0) |
| Diarrhea | 8 (31) | 1 (4) |
| Hypertension | 7 (27) | 1 (4) |
| Abdominal discomfort | 6 (23) | 0 (0) |
| Dyspepsia | 6 (23) | 0 (0) |
| ALT elevation | 6 (23) | 0 (0) |
| Stomatitis | 4 (15) | 1 (4) |
| Weight loss | 4 (15) | 0 (0) |
| Rash | 4 (15) | 0 (0) |
| Peripheral edema | 4 (15) | 0 (0) |
| Constipation | 3 (12) | 0 (0) |
| Low Platelets | 2 (8) | 1 (4) |
| Dyspnea | 2 (8) | 0 (0) |
| Bowel obstruction | 1 (4) | 1 (4) |
| Palmar-Plantar erythrodysesthesia | 1 (4) | 1 (4) |
| Rectal abscess | 1 (4) | 1 (4) |
| Dry Skin | 1 (4) | 0 (0) |
| Hair loss | 1 (4) | 0 (0) |
| Dysgeusia | 1 (4) | 0 (0) |
| Headache | 1 (4) | 0 (0) |
| Back Pain | 1 (4) | 0 (0) |
| Insomnia | 1 (4) | 0 (0) |
| Flatulence | 1 (4) | 0 (0) |
| Confusion | 1 (4) | 0 (0) |
| Bilirubin elevation | 1 (4) | 0 (0) |
| Anemia | 1 (4) | 0 (0) |
Publisher’s Note: MDPI stays neutral with regard to jurisdictional claims in published maps and institutional affiliations. |
© 2022 by the authors. Licensee MDPI, Basel, Switzerland. This article is an open access article distributed under the terms and conditions of the Creative Commons Attribution (CC BY) license (https://creativecommons.org/licenses/by/4.0/).
Share and Cite
Storandt, M.H.; Gile, J.J.; Palmer, M.E.; Zemla, T.J.; Ahn, D.H.; Bekaii-Saab, T.S.; Jin, Z.; Tran, N.H.; Mahipal, A. Cabozantinib Following Immunotherapy in Patients with Advanced Hepatocellular Carcinoma. Cancers 2022, 14, 5173. https://doi.org/10.3390/cancers14215173
Storandt MH, Gile JJ, Palmer ME, Zemla TJ, Ahn DH, Bekaii-Saab TS, Jin Z, Tran NH, Mahipal A. Cabozantinib Following Immunotherapy in Patients with Advanced Hepatocellular Carcinoma. Cancers. 2022; 14(21):5173. https://doi.org/10.3390/cancers14215173
Chicago/Turabian StyleStorandt, Michael H., Jennifer J. Gile, Mathias E. Palmer, Tyler J. Zemla, Daniel H. Ahn, Tanios S. Bekaii-Saab, Zhaohui Jin, Nguyen H. Tran, and Amit Mahipal. 2022. "Cabozantinib Following Immunotherapy in Patients with Advanced Hepatocellular Carcinoma" Cancers 14, no. 21: 5173. https://doi.org/10.3390/cancers14215173
APA StyleStorandt, M. H., Gile, J. J., Palmer, M. E., Zemla, T. J., Ahn, D. H., Bekaii-Saab, T. S., Jin, Z., Tran, N. H., & Mahipal, A. (2022). Cabozantinib Following Immunotherapy in Patients with Advanced Hepatocellular Carcinoma. Cancers, 14(21), 5173. https://doi.org/10.3390/cancers14215173

