Bedside Neuromodulation of Persistent Pain and Allodynia with Caloric Vestibular Stimulation
Abstract
1. Background

2. Methods
2.1. Participant Recruitment
2.2. Intervention Procedures
2.3. Outcome Measures
2.4. Analyses
3. Results
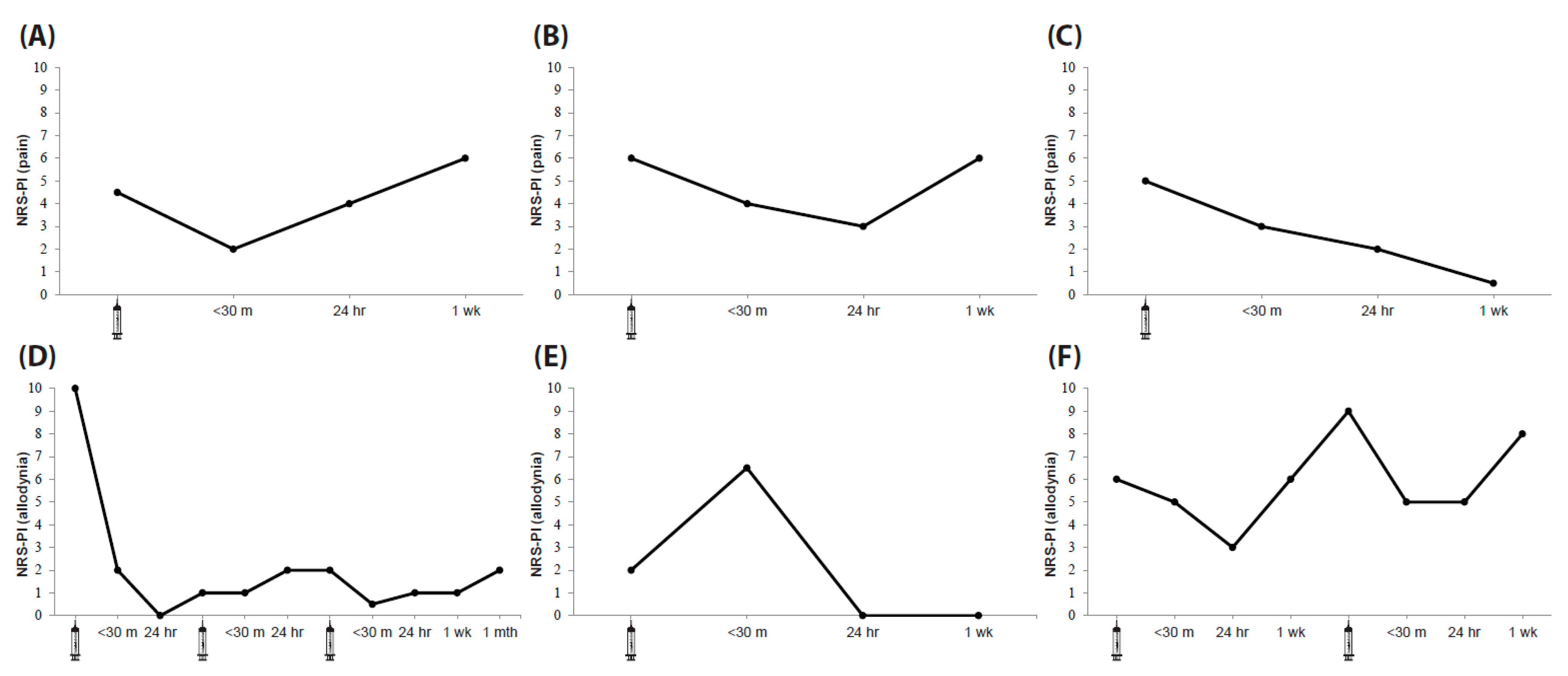
3.1. Short-Term Intervention Effects on Pain
3.2. Short-Term or Delayed Intervention Effects on Pain and the Duration, Repeatability and Laterality of Effects
3.3. Short-Term Intervention Effects on Allodynia
3.4. Short-Term or Delayed Intervention Effects on Allodynia and the Duration, Repeatability and Laterality of Effects
3.5. Tolerability of CVS
4. Discussion
4.1. CVS Modulation of PP and Allodynia
4.2. Tolerability of CVS as an Intervention for PP
5. Future Directions
6. Conclusions
Author Contributions
Funding
Institutional Review Board Statement
Data Availability Statement
Acknowledgments
Conflicts of Interest
Abbreviations
References
- Henschke, N.; Kamper, S.J.; Maher, C.G. The epidemiology and economic consequences of pain. Mayo Clin. Proc. 2015, 90, 139–147. [Google Scholar] [CrossRef] [PubMed]
- Leadley, R.M.; Armstrong, N.; Lee, Y.C.; Allen, A.; Kleijnen, J. Chronic diseases in the European Union: The prevalence and health cost implications of chronic pain. J. Pain Palliat. Care Pharmacother. 2012, 26, 310–325. [Google Scholar] [CrossRef] [PubMed]
- Andersson, G.B.J.; Watkins-Castillo, S.I. The Burden of Musculoskeletal Diseases in the United States, 3rd ed.; United States Bone and Joint Initiative: Rosemont, IL, USA, 2014. [Google Scholar]
- Deloitte Access Economics. The Cost of Pain in Australia; Painaustralia: Deakin, Australia, 2019. [Google Scholar]
- Ärnlöv, J.; Larsson, A. Global, regional, and national incidence, prevalence, and years lived with disability for 301 acute and chronic diseases and injuries in 188 countries, 1990–2013: A systematic analysis for the Global Burden of Disease Study 2013. Lancet 2015, 386, 743–800. [Google Scholar]
- Hartvigsen, J.; Hancock, M.J.; Kongsted, A.; Louw, Q.; Ferreira, M.L.; Genevay, S.; Hoy, D.; Karppinen, J.; Pransky, G.; Sieper, J.; et al. What low back pain is and why we need to pay attention. Lancet 2018, 391, 2356–2367. [Google Scholar] [CrossRef] [PubMed]
- Jones, R.C.W.; Lawson, E.; Backonja, M. Managing neuropathic pain. Med. Clin. N. Am. 2016, 100, 151–167. [Google Scholar] [CrossRef]
- Loeser, J.D.; Cahana, A. Pain medicine versus pain management. Clin. J. Pain 2013, 29, 311–316. [Google Scholar] [CrossRef]
- Kamper, S.J.; Apeldoorn, A.T.; Chiarotto, A.; Smeets, R.J.; Ostelo, R.W.; Guzman, J.; van Tulder, M.W. Multidisciplinary biopsychosocial rehabilitation for chronic low back pain. Cochrane Database Syst. Rev. 2014, 2014, CD000963. [Google Scholar] [CrossRef]
- Chapman, C.R.; Gavrin, J. Suffering: The contributions of persistent pain. Lancet 1999, 353, 2233–2237. [Google Scholar] [CrossRef]
- Wideman, T.H.; Asmundson, G.G.; Smeets, R.J.; Zautra, A.J.; Simmonds, M.J.; Sullivan, M.J.; Haythornthwaite, J.A.; Edwards, R.R. Rethinking the fear avoidance model: Toward a multidimensional framework of pain-related disability. Pain 2013, 154, 2262–2265. [Google Scholar] [CrossRef]
- Franklin, G.M. Opioids for chronic noncancer pain: A position paper of the American Academy of Neurology. Neurology 2014, 83, 1277–1284. [Google Scholar] [CrossRef]
- Garland, E.L.; Froeliger, B.; Zeidan, F.; Partin, K.; Howard, M.O. The downward spiral of chronic pain, prescription opioid misuse, and addiction: Cognitive, affective, and neuropsychopharmacologic pathways. Neurosci. Biobehav. Rev. 2013, 37, 2597–2607. [Google Scholar] [CrossRef] [PubMed]
- Murthy, V.H. Ending the Opioid Epidemic—A Call to Action. N. Engl. J. Med. 2016, 375, 2413–2415. [Google Scholar] [CrossRef] [PubMed]
- Dosenovic, S.; Kadic, A.J.; Miljanovic, M.; Biocic, M.; Boric, K.; Cavar, M.; Markovina, N.; Vucic, K.; Puljak, L. Interventions for neuropathic pain: An overview of systematic reviews. Anesth. Analg. 2017, 125, 643–652. [Google Scholar] [CrossRef] [PubMed]
- Lefaucheur, J.-P.; André-Obadia, N.; Antal, A.; Ayache, S.S.; Baeken, C.; Benninger, D.H.; Cantello, R.M.; Cincotta, M.; de Carvalho, M.; De Ridder, D.; et al. Evidence-based guidelines on the therapeutic use of repetitive transcranial magnetic stimulation (rTMS). Clin. Neurophysiol. 2014, 125, 2150–2206. [Google Scholar] [CrossRef] [PubMed]
- Lefaucheur, J.-P.; Antal, A.; Ayache, S.S.; Benninger, D.H.; Brunelin, J.; Cogiamanian, F.; Cotelli, M.; De Ridder, D.; Ferrucci, R.; Langguth, B.; et al. Evidence-based guidelines on the therapeutic use of transcranial direct current stimulation (tDCS). Clin. Neurophysiol. 2016, 128, 56–92. [Google Scholar] [CrossRef]
- O’Connell, N.E.; Wand, B.M.; Marston, L.; Spencer, S.; DeSouza, L.H. Non-invasive brain stimulation techniques for chronic pain. Cochrane Database Syst. Rev. 2018, 4, CD008208. [Google Scholar] [CrossRef]
- Miller, S.M.; Ngo, T.T. Studies of caloric vestibular stimulation: Implications for the cognitive neurosciences, the clinical neurosciences and neurophilosophy. Acta Neuropsychiatr. 2007, 19, 183–203. [Google Scholar] [CrossRef]
- Been, G.; Ngo, T.T.; Miller, S.M.; Fitzgerald, P.B. The use of tDCS and CVS as methods of non-invasive brain stimulation. Brain Res. Rev. 2007, 56, 346–361. [Google Scholar] [CrossRef]
- Grabherr, L.; Macauda, G.; Lenggenhager, B. The moving history of vestibular stimulation as a therapeutic intervention. Multisensory Res. 2015, 28, 653–687. [Google Scholar] [CrossRef]
- Miller, S.M. Vestibular neuromodulation: Stimulating the neural crossroads of psychiatric illness. Bipolar Disord. 2016, 18, 539–543. [Google Scholar] [CrossRef]
- Lopez, C.; Blanke, O.; Mast, F. The human vestibular cortex revealed by coordinate-based activation likelihood estimation meta-analysis. Neuroscience 2012, 212, 159–179. [Google Scholar] [CrossRef] [PubMed]
- zu Eulenburg, P.; Caspers, S.; Roski, C.; Eickhoff, S. Meta-analytical definition and functional connectivity of the human vestibular cortex. NeuroImage 2012, 60, 162–169. [Google Scholar] [CrossRef]
- Wijdicks, E.F.; Varelas, P.N.; Gronseth, G.S.; Greer, D.M. Evidence-based guideline update: Determining brain death in adults. Neurology 2010, 74, 1911–1918. [Google Scholar] [CrossRef] [PubMed]
- Shepard, N.T.; Jacobson, G.P. The caloric irrigation test. In Handbook of Clinical Neurology; Furman, J.M., Lempert, T., Eds.; Elsevier: Oxford, UK, 2016; pp. 119–131. [Google Scholar] [CrossRef]
- Mast, F.W.; Preuss, N.; Hartmann, M.; Grabherr, L. Spatial cognition, body representation and affective processes: The role of vestibular information beyond ocular reflexes and control of posture. Front. Integr. Neurosci. 2014, 8, 44. [Google Scholar] [CrossRef] [PubMed]
- Fraser, S.A. (Monash University, Melbourne, VIC, Australia); Miller, S.M. (Monash University, Melbourne, VIC, Australia). Caloric vestibular stimulation: Examining a new (old) bedside neuromodulation technique. Manuscript in preparation. to be submitted. 2024. [Google Scholar]
- Wilkinson, D.; Zubko, O.; Sakel, M.; Coulton, S.; Higgins, T.; Pullicino, P. Galvanic vestibular stimulation in hemi-spatial neglect. Front. Integr. Neurosci. 2014, 8, 4. [Google Scholar] [CrossRef] [PubMed]
- Wilkinson, D.; Morris, R.; Milberg, W.; Sakel, M. Caloric vestibular stimulation in aphasic syndrome. Front. Integr. Neurosci. 2013, 7, 99. [Google Scholar] [CrossRef][Green Version]
- Wilkinson, D.; Ade, K.K.; Rogers, L.L.; Attix, D.K.; Kuchibhatla, M.; Slade, M.D.; Smith, L.L.; Poynter, K.P.; Laskowitz, D.T.; Freeman, M.C.; et al. Preventing episodic migraine with caloric vestibular stimulation: A randomized controlled trial. Headache J. Head Face Pain 2017, 57, 1065–1087. [Google Scholar] [CrossRef]
- Wilkinson, D.; Podlewska, A.; Banducci, S.E.; Pellat-Higgins, T.; Slade, M.; Bodani, M.; Sakel, M.; Smith, L.; LeWitt, P.; Ade, K.K. Caloric vestibular stimulation for the management of motor and non-motor symptoms in Parkinson’s disease. Park. Relat. Disord. 2019, 65, 261–266. [Google Scholar] [CrossRef]
- Tracey, I. Imaging pain. Br. J. Anaesth. 2008, 101, 32–39. [Google Scholar] [CrossRef]
- Tracey, I.; Mantyh, P.W. The cerebral signature for pain perception and its modulation. Neuron 2007, 55, 377–391. [Google Scholar] [CrossRef]
- Mouraux, A.; Iannetti, G.D. The search for pain biomarkers in the human brain. Brain 2018, 141, 3290–3307. [Google Scholar] [CrossRef] [PubMed]
- Garcia-Larrea, L.; Peyron, R. Pain matrices and neuropathic pain matrices: A review. Pain 2013, 154, S29–S43. [Google Scholar] [CrossRef] [PubMed]
- Starr, C.J.; Sawaki, L.; Wittenberg, G.F.; Burdette, J.H.; Oshiro, Y.; Quevedo, A.S.; McHaffie, J.G.; Coghill, R.C. The contribution of the putamen to sensory aspects of pain: Insights from structural connectivity and brain lesions. Brain 2011, 134, 1987–2004. [Google Scholar] [CrossRef] [PubMed]
- Kolev, O. How Caloric Vestibular irritation influences migraine attacks. Cephalalgia 1990, 10, 167–169. [Google Scholar] [CrossRef]
- Le Chapelain, L.; Beis, J.-M.; Paysant, J.; André, J.-M. Vestibular caloric stimulation evokes phantom limb illusions in patients with paraplegia. Spinal Cord 2001, 39, 85–87. [Google Scholar] [CrossRef]
- André, J.M.; Martinet, N.; Paysant, J.; Beis, J.M.; Le Chapelain, L. Temporary phantom limbs evoked by vestibular caloric stimulation in amputees. Neuropsychiatry Neuropsychol. Behav. Neurol. 2001, 14, 190–196. [Google Scholar]
- Ramachandran, V.S.; McGeoch, P.D.; Williams, L.; Arcilla, G. Rapid relief of thalamic pain syndrome induced by vestibular caloric stimulation. Neurocase 2007, 13, 185–188. [Google Scholar] [CrossRef]
- McGeoch, P.D.; E Williams, L.; Lee, R.R.; Ramachandran, V.S. Behavioural evidence for vestibular stimulation as a treatment for central post-stroke pain. J. Neurol. Neurosurg. Psychiatry 2008, 79, 1298–1301. [Google Scholar] [CrossRef]
- McGeoch, P.D.; Williams, L.E.; Song, T.; Lee, R.R.; Huang, M.; Ramachandran, V.S. Post-stroke tactile allodynia and its modulation by vestibular stimulation: A MEG case study. Acta Neurol. Scand. 2009, 119, 404–409. [Google Scholar] [CrossRef]
- McGeoch, P.D.; Ramachandran, V.S. Vestibular stimulation can relieve central pain of spinal origin. Spinal Cord 2008, 46, 756–757. [Google Scholar] [CrossRef]
- Ferrè, E.R.; Bottini, G.; Iannetti, G.D.; Haggard, P. The balance of feelings: Vestibular modulation of bodily sensations. Cortex 2013, 49, 748–758. [Google Scholar] [CrossRef] [PubMed]
- Ferrè, E.R.; Haggard, P.; Bottini, G.; Iannetti, G.D. Caloric vestibular stimulation modulates nociceptive evoked potentials. Exp. Brain Res. 2015, 233, 3393–3401. [Google Scholar] [CrossRef] [PubMed]
- Ngo, T.T.; Barsdell, W.N.; Law, P.C.; Arnold, C.A.; Chou, M.J.; Nunn, A.K.; Brown, D.J.; Fitzgerald, P.B.; Gibson, S.J.; Miller, S.M. Tolerability of caloric vestibular stimulation in a persistent pain cohort. Brain Stimul. 2020, 13, 1446–1448. [Google Scholar] [CrossRef]
- Harden, N.R.; Bruehl, S.; Perez, R.S.; Birklein, F.; Marinus, J.; Maihofner, C.; Lubenow, T.; Buvanendran, A.; Mackey, S.; Graciosa, J.; et al. Validation of proposed diagnostic criteria (the “Budapest Criteria”) for Complex Regional Pain Syndrome. Pain 2010, 150, 268–274. [Google Scholar] [CrossRef] [PubMed]
- Oldfield, R.C. The assessment and analysis of handedness: The Edinburgh inventory. Neuropsychologia 1971, 9, 97–113. [Google Scholar] [CrossRef]
- Miller, S.M. (Monash University, Melbourne, VIC, Australia); Law, P.C.F. (Monash University, Melbourne, VIC, Australia); Fraser, S.A. (Monash University, Melbourne, VIC, Australia); Taverner, M.G. (Monash University, Melbourne, VIC, Australia). Caloric vestibular stimulation induced lasting reductions of pain and allodynia in a patient awaiting trial of spinal cord stimulation. Manuscript in preparation. to be submitted. 2024. [Google Scholar]
- Cohen, J. Statistical Power Analysis for the Behavioral Sciences, 2nd ed.; Routledge: New York, NY, USA, 1988. [Google Scholar] [CrossRef]
- Dworkin, R.H.; Turk, D.C.; Wyrwich, K.W.; Beaton, D.; Cleeland, C.S.; Farrar, J.T.; Haythornthwaite, J.A.; Jensen, M.P.; Kerns, R.D.; Ader, D.N.; et al. Interpreting the clinical importance of treatment outcomes in chronic pain clinical trials: IMMPACT recommendations. J. Pain 2008, 9, 105–121. [Google Scholar] [CrossRef]
- Arnold, M.H.; Finniss, D.G.; Kerridge, I. Medicine’s inconvenient truth: The placebo and nocebo effect. Intern. Med. J. 2014, 44, 398–405. [Google Scholar] [CrossRef]
- Aranda-Moreno, C.; Jáuregui-Renaud, K.; Reyes-Espinosa, J.; Andrade-Galicia, A.; Bastida-Segura, A.E.; Carrazco, L.G.G. Stimulation of the semicircular canals or the utricles by clinical tests can modify the intensity of phantom limb pain. Front. Neurol. 2019, 10, 117. [Google Scholar] [CrossRef]
- Spitoni, G.F.; Pireddu, G.; Galati, G.; Sulpizio, V.; Paolucci, S.; Pizzamiglio, L. Caloric vestibular stimulation reduces pain and somatoparaphrenia in a severe chronic central post-stroke pain patient: A case study. PLoS ONE 2016, 11, e0151213. [Google Scholar] [CrossRef]
- Rode, G.; Vallar, G.; Revol, P.; Tilikete, C.; Jacquin-Courtois, S.; Rossetti, Y.; Farnè, A. Facial macrosomatognosia and pain in a case of Wallenberg’s syndrome: Selective effects of vestibular and transcutaneous stimulations. Neuropsychologia 2012, 50, 245–253. [Google Scholar] [CrossRef]
- Hagiwara, K.; Perchet, C.; Frot, M.; Bastuji, H.; Garcia-Larrea, L. Cortical modulation of nociception by galvanic vestibular stimulation: A potential clinical tool? Brain Stimul. 2019, 13, 60–68. [Google Scholar] [CrossRef] [PubMed]
- Kelly, E.A.; Stocker, C.; Kempton, C.M.; Dierking, D.M.; Fehlberg, H.E.; Adams, M.E. Vestibular testing: Patient perceptions, morbidity, and opportunity costs. Otol. Neurotol. 2018, 39, 1222–1228. [Google Scholar] [CrossRef] [PubMed]
- Miller, S.M. Fluctuations of consciousness, mood, and science: The interhemispheric switch and sticky switch models two decades on. J. Comp. Neurol. 2020, 528, 3171–3197. [Google Scholar] [CrossRef] [PubMed]
- Kaplan, M.H.; Zhou, C.H.; Carroll, E.; Weinberg, A.D.; Clauw, D.J.; Ngô, T.T.; Tassiulas, I. Pain relief in refractory fibromyalgia after vestibulocortical stimulation: An open-label pilot trial. Pain Med. 2023, 25, 252–254. [Google Scholar] [CrossRef] [PubMed]
- Liu, Y.; Latremoliere, A.; Li, X.; Zhang, Z.; Chen, M.; Wang, X.; Fang, C.; Zhu, J.; Alexandre, C.; Gao, Z.; et al. Touch and tactile neuropathic pain sensitivity are set by corticospinal projections. Nature 2018, 561, 547–550. [Google Scholar] [CrossRef] [PubMed]
- Baier, B.; Bense, S.; Birklein, F.; Buchholz, H.; Mischke, A.; Schreckenberger, M.; Dieterich, M. Evidence for modulation of opioidergic activity in central vestibular processing: A [18F] diprenorphine PET study. Hum. Brain Mapp. 2010, 31, 550–555. [Google Scholar] [CrossRef]
- Pettigrew, J.D.; Miller, S.M. A ‘sticky’ interhemispheric switch in bipolar disorder? Proc. R. Soc. B Biol. Sci. 1998, 265, 2141–2148. [Google Scholar] [CrossRef]
- Wade, N.J.; Norrsell, U.; Presly, A. Cox’s chair: ‘a moral and a medical mean in the treatment of maniacs’. Hist. Psychiatry 2005, 16, 73–88. [Google Scholar] [CrossRef]
- Perrault, A.A.; Khani, A.; Quairiaux, C.; Kompotis, K.; Franken, P.; Muhlethaler, M.; Schwartz, S.; Bayer, L. Whole-night continuous rocking entrains spontaneous neural oscillations with benefits for sleep and memory. Curr. Biol. 2019, 29, 402–411.e3. [Google Scholar] [CrossRef]
- Kompotis, K.; Hubbard, J.; Emmenegger, Y.; Perrault, A.; Mühlethaler, M.; Schwartz, S.; Bayer, L.; Franken, P. Rocking promotes sleep in mice through rhythmic stimulation of the vestibular system. Curr. Biol. 2019, 29, 392–401.e4. [Google Scholar] [CrossRef]
- Kelly, G.A.; Blake, C.; Power, C.K.; O’Keeffe, D.; Fullen, B.M. The association between chronic low back pain and sleep: A systematic review. Clin. J. Pain 2011, 27, 169–181. [Google Scholar] [CrossRef] [PubMed]
- Sivertsen, B.; Lallukka, T.; Petrie, K.J.; Steingrímsdóttir, A.; Stubhaug, A.; Nielsen, C.S. Sleep and pain sensitivity in adults. Pain 2015, 156, 1433–1439. [Google Scholar] [CrossRef] [PubMed]
- Krause, A.J.; Ben Simon, E.; Mander, B.A.; Greer, S.M.; Saletin, J.M.; Goldstein-Piekarski, A.N.; Walker, M.P. The sleep-deprived human brain. Nat. Rev. Neurosci. 2017, 18, 404–418. [Google Scholar] [CrossRef] [PubMed]



| Case | Handedness (EHI Score) | Region (Lat., Aetiology, Yrs Since Pain Onset) CRPS Type | Pain Descriptor | Medication | Session: Intervention (Days between Sessions) |
|---|---|---|---|---|---|
| CRPS-1 | R(100) | Knee(R, In, 9) CRPS II | Aching Crushing | Codeine Opioids Paracetamol Tricyclic AD | 1: CVS |
| CRPS-2 A | R(100) | Hand(R, In, 1) CRPS II | Burning Tight | Paracetamol Tricyclic AD | 1: CVS(1) 2: ice pack, CVS(1) 3: ice pack, CVS |
| CRPS-3 A | R(44.4) | Wrist/thumb(L, T, 2) CRPS II | Aching | Paracetamol Tricyclic AD | 1: ice pack, CVS |
| CRPS-4 A | R(100) | Leg(L, T, 2) CRPS II | Gnawing | Tricyclic AD | 1: ice pack, CVS |
| CRPS-5 A | R(80.95) | Foot(R, In, 10 months) CRPS I | Burning Throbbing | Codeine | 1: ice pack, CVS(14) 2: CVS |
| CRPS-6 A | R(83.33) | Shoulder(In, 3) CRPS I | Aching Burning Dull | Paracetamol Tricyclic AD Gabapentin Ibuprofen | 1: ice pack, CVS |
| CRPS-7 | R(+100) | Ankle(L, T, 28) CRPS II | Aching | Opioids Tricyclic AD Benzodiazepine | 1: ice pack, CVS |
| CRPS-8 A | R(+83) | Ankle(L, T, 10 months) CRPS II | Aching | Codeine Opioids Paracetamol SNRI | 1: ice pack, CVS(6) 2: CVS(6) 3: CVS |
| CRPS-9 A | R(+79.16) | Ankle(L, T, 7 months) CRPS I | Burning Throbbing | Nil | 1: ice pack, CVS |
| CRPS-10 | R(+67.19) | Foot(R, T, 1) CRPS II | Aching Burning Dull Throbbing | Opioids Tricyclic AD NSAID Pregabalin | 1: ice pack, CVS(21) 2: CVS(7) 3: CVS |
| CRPS-11 A | R(+58.33) | Wrist(R, T, 7 months) CRPS I | Burning Shock-like Throbbing Sharp | Paracetamol Tricyclic AD | 1: ice pack, CVS(13) 2: CVS(12) 3: CVS |
| CRPS-12 | R(+100) | Foot(L, In, 7 months) CRPS I | Shooting Sore | Tricyclic AD | 1: CVS(108) 2: ice pack |
| CRPS-13 A | L(−100) | Hand(L, Rand, 2) CRPS I | Aching Dull Stabbing | Paracetamol Tricyclic AD | 1: CVS(94) 2: ice pack |
| CRPS-14 | R(+100) | Ankle(L)/Hand(R, 6) CRPS I | Radiating Shock-like Throbbing Sharp | Tricyclic AD | 1: CVS(7) 2: ice pack |
| PLP-1 | R(+88.89) | TH(R, T, 7) | Pulsing Shooting | Opioids Paracetamol Pregabalin | 1: ice pack, CVS |
| PLP-2 | R(+80) | TF(L, I, 9) | Shooting | Codeine Opioids Paracetamol Benzodiazepine NSAID | 1: CVS(1) 2: CVS(1) 3: CVS |
| PLP-3 | R(+85) | TF(L, V, 4) | Shock-like Throbbing | Codeine Opioids Paracetamol | 1: ice pack, CVS(21) 2: CVS(1) 3: CVS |
| PLP-4 | R(+83.33) | HD(Bi, T, 29) | Sharp Stabbing | Nil | 1: CVS(1) 2: CVS(1) 3: CVS(1300) 4: ice pack |
| PLP-5 | R(+100) | TT(R, T, 5) | Sharp Stabbing | Nil | 1: CVS(7) 2: CVS(373) 3: ice pack |
| PLP-6 | L(−74) | TH(R, T, 4) | Cramping Burning Sharp | Nil | 1: ice pack, CVS(3) 2: CVS(7) 3: CVS |
| PLP-7 | R(+100) | TT(R)/TR(L, T, 38) | Sharp Cutting | Codeine Gabapentin Paracetamol | 1: CVS |
| PLP-8 | R(+100) | Toes(Bi, V, 11) | Burning | Opioids Gabapentin | 1: ice pack (7) 2: CVS |
| SCIP-1 | R(+91.67) | Tupper(T, 16) | Burning Shock-like | Pregabalin | 1: ice pack, CVS |
| SCIP-2 | R(+91.67) | C5/C6(T, 20) | Throbbing Tight Cramping | Gabapentin | 1: ice pack (6) 2: CVS |
| SCIP-3 | R(+75) | T6(T, 3 months) | Throbbing | Opioids Paracetamol Pregabalin | 1: CVS(1) 2: ice pack |
| SCIP-4 | R(+80.95) | T6(T, 5) | Sharp Throbbing | Pregabalin | 1: ice pack, CVS(6) 2: CVS |
| SCIP-5 | R(+75) | T12(T, 15) | Burning Shock-like | Nil | 1: ice pack (37) 2: ice pack (20) 3: CVS |
| SCIP-6 | R(+60) | C5/C6(T, 9) | Dull | Paracetamol Pregabalin | 1: ice pack, CVS(30) 2: CVS |
| SCIP-7 | A(+33.33) | C4(T, 8) | Burning Sharp | Opioids Tricyclic AD | 1: ice pack, CVS(31) 2: CVS |
| SCIP-8 | R(+91.67) | T12(T, 18.5) | Burning Pulsing Stabbing | Pregabalin | 1: ice pack, CVS |
| SCIP-9 | R(+80) | T10(T, 2) | Tight | Pregabalin | 1: CVS(137) 2: ice pack |
| SCIP-10 | L(−100) | C4(T, 47) | Dull Shock-like Stingy | Pregabalin | 1: CVS |
| SCIP-11 B | L(−100) | T4(T, 1 month) | Shock-like Pulsing Sharp | Pregabalin | 1: ice pack (73) 2: CVS |
| SCIP-12 B | R(+100) | T6(T, 1.2 months) | Tight Sharp | Paracetamol Tricyclic AD | 1: ice pack (7) 2: CVS(7) 3: CVS |
| NPP-1 | A(+8.33) | Groin(L, T, 18) | Aching Dull | n/a | 1: ice pack, CVS |
| NPP-2 | R(+100) | Lumbar spine(Bi, In, 5) | Aching Dull | Opioids | 1: ice pack, CVS |
| NPP-3 | R(+67) | Lower back(Bi, T, 37) | Aching Dull | Codeine Paracetamol | 1: ice pack, CVS(1) 2: CVS(14) 3: CVS |
| NPP-4 | R(+100) | Ankle(R, In, 4) | Throbbing Sharp | Opioids Tricyclic AD | 1: CVS(3) 2: ice pack |
| Degree of Response | CRPS (n = 14) | PLP (n = 8) | SCIP (n = 12) | NPP (n = 4) | CRPS Allodynia (n = 9) |
|---|---|---|---|---|---|
| ≥50% reduction | n = 4 a | n = 2 c | n = 2 e | n = 1 | n = 3 f |
| ≥30–49% reduction | n = 3 | n = 2 d | n = 1 | n = 1 | n = 0 |
| <30% reduction | n = 5 | n = 0 | n = 3 | n = 1 | n = 2 |
| No response | n = 2 b | n = 4 | n = 6 | n = 1 | n = 4 |
Disclaimer/Publisher’s Note: The statements, opinions and data contained in all publications are solely those of the individual author(s) and contributor(s) and not of MDPI and/or the editor(s). MDPI and/or the editor(s) disclaim responsibility for any injury to people or property resulting from any ideas, methods, instructions or products referred to in the content. |
© 2024 by the authors. Licensee MDPI, Basel, Switzerland. This article is an open access article distributed under the terms and conditions of the Creative Commons Attribution (CC BY) license (https://creativecommons.org/licenses/by/4.0/).
Share and Cite
Ngo, T.T.; Barsdell, W.N.; Law, P.C.F.; Arnold, C.A.; Chou, M.J.; Nunn, A.K.; Brown, D.J.; Fitzgerald, P.B.; Gibson, S.J.; Miller, S.M. Bedside Neuromodulation of Persistent Pain and Allodynia with Caloric Vestibular Stimulation. Biomedicines 2024, 12, 2365. https://doi.org/10.3390/biomedicines12102365
Ngo TT, Barsdell WN, Law PCF, Arnold CA, Chou MJ, Nunn AK, Brown DJ, Fitzgerald PB, Gibson SJ, Miller SM. Bedside Neuromodulation of Persistent Pain and Allodynia with Caloric Vestibular Stimulation. Biomedicines. 2024; 12(10):2365. https://doi.org/10.3390/biomedicines12102365
Chicago/Turabian StyleNgo, Trung T., Wendy N. Barsdell, Phillip C. F. Law, Carolyn A. Arnold, Michael J. Chou, Andrew K. Nunn, Douglas J. Brown, Paul B. Fitzgerald, Stephen J. Gibson, and Steven M. Miller. 2024. "Bedside Neuromodulation of Persistent Pain and Allodynia with Caloric Vestibular Stimulation" Biomedicines 12, no. 10: 2365. https://doi.org/10.3390/biomedicines12102365
APA StyleNgo, T. T., Barsdell, W. N., Law, P. C. F., Arnold, C. A., Chou, M. J., Nunn, A. K., Brown, D. J., Fitzgerald, P. B., Gibson, S. J., & Miller, S. M. (2024). Bedside Neuromodulation of Persistent Pain and Allodynia with Caloric Vestibular Stimulation. Biomedicines, 12(10), 2365. https://doi.org/10.3390/biomedicines12102365

