Fruit Ripening Development of ‘Valencia’ Orange Trees Grafted on Different ‘Trifoliata’ Hybrid Rootstocks
Abstract
1. Introduction
2. Materials and Methods
2.1. Locations and Plant Material
2.2. Physicochemical Analysis of Fruits
2.3. Statistical Analyses
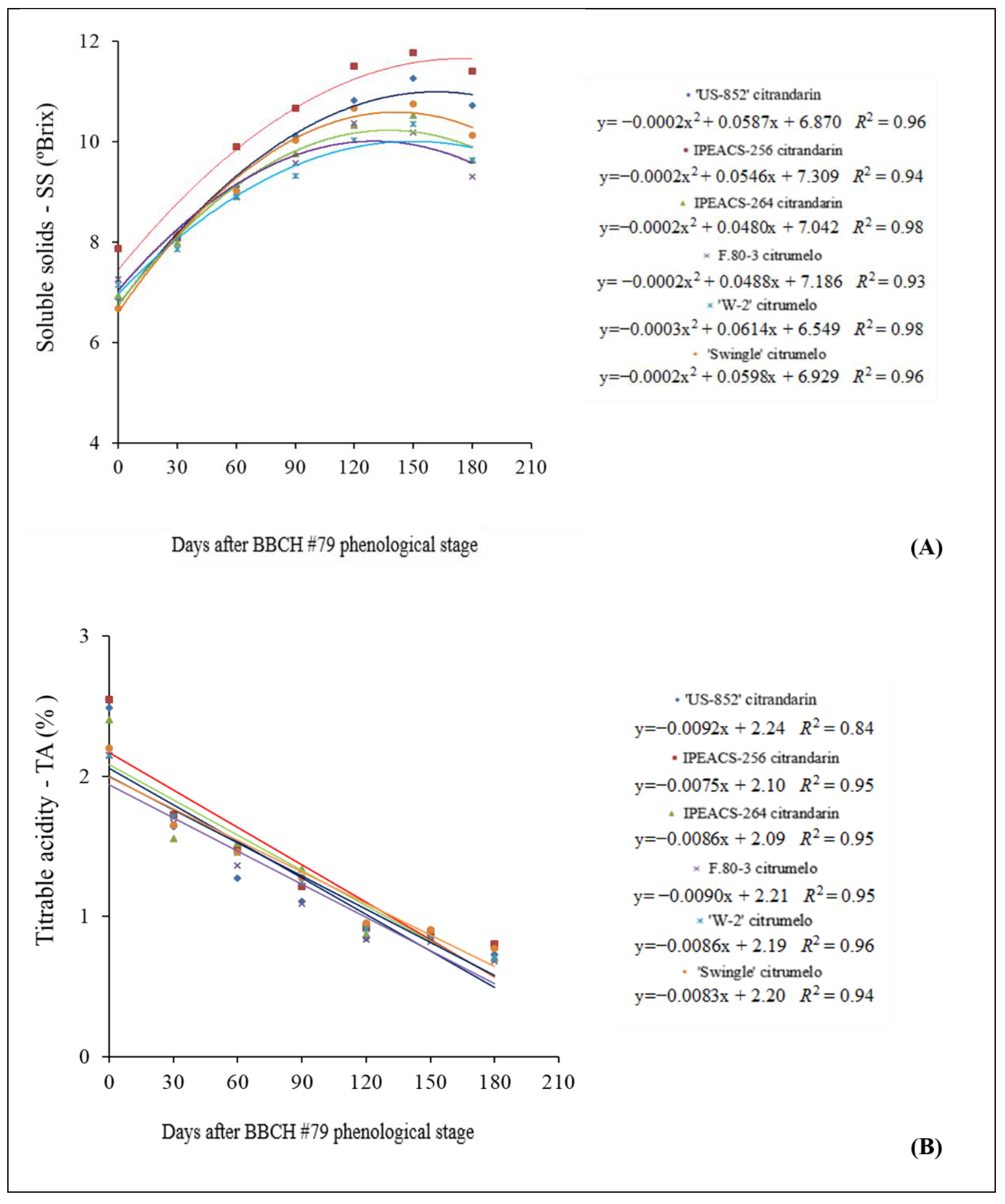
3. Results and Discussion
4. Conclusions
Author Contributions
Funding
Conflicts of Interest
References
- Saunt, J. Citrus varieties of the world. In An Illustrated Guide, 1st ed.; Sinclair International Limited: Norwich, UK, 2000; p. 160. [Google Scholar]
- Spreen, T.H. The word citrus industry. In Soils, Plant Growth and Crop Production, 1st ed.; Verheye, W.H., Ed.; UNESCO/Eolss Publishers: Singapore, 2010; pp. 249–269. [Google Scholar]
- Bastos, D.C.; Ferreira, E.A.; Passos, O.S.; de Sá, J.F.; Ataíde, E.M.; Calgaro, M. Cultivares copa e porta-enxertos para a citricultura brasileira. Inf. Agropec. 2014, 35, 36–45. [Google Scholar]
- Carvalho, S.A.; Girardi, E.A.; Mourão Filho, F.A.A.; Ferrarezi, R.S.; Filho, H.D.C. Advances in citrus propagation in Brazil. Rev. Bras. Frutic. 2019, 41, e-422. [Google Scholar] [CrossRef]
- USDA United States Department of Agriculture. Citrus: Markets and Trade. Foreign Agricultural Service. 2019. Available online: https://apps.fas.usda.gov/psdonline/circulars/citrus.pdf (accessed on 15 June 2019).
- Bermejo, A.; Cano, A. Analysis of nutritional constituents in twenty citrus cultivars from the Mediterranean area at different stages of ripening. Food. Nutr. Sci. 2012, 3, 639–650. [Google Scholar] [CrossRef]
- Lado, J.; Zacarías, L.; Rodrigo, M.J. Maturity indicators and citrus quality. Stewart Postharvest Rev. 2014, 10, 1–6. [Google Scholar]
- Davies, F.S.; Albrigo, L.G. Environmental factors affecting fruit growth, development and quality. In Citrus, 2nd ed.; Davies, F.S., Albrigo, L.G., Eds.; Cab International: Wallingford, SC, USA, 1994; pp. 77–82. [Google Scholar]
- Ladaniya, M.S. Citrus Fruit: Biology, Technology and Evaluation, 2nd ed.; Elsevier Inc.: Amsterdam, The Netherlands, 2008; p. 593. [Google Scholar]
- Sato, A.J.S.; Silva, B.S.J.; Bertolucci, R.; Carielo, M.; Guiraud, M.C.; Fonseca, I.C.B.; Roberto, S.R. Ripening evolution and physico-chemical characteristics of ‘Isabel’ grape on different rootstocks in North of Parana. Semin. Agrar. 2009, 30, 11–20. [Google Scholar] [CrossRef][Green Version]
- Itakura, K.; Saito, Y.; Suzuki, T.; Kondo, N.; Hosoi, F. Estimation of citrus maturity with fluorescence spectroscopy using deep learning. Horticulturae 2019, 5, 2. [Google Scholar] [CrossRef]
- El-Otmani, M.; Ait-Oubahou, A.; Zacarias, L. Citrus spp.: Orange, mandarin, mandarin, clementine, grapefruit, pomelo, lemon and lime. In Postharvest Physiology and Technology: Tropical and Subtropical Fruits, 1st ed.; Yahia, E.M., Ed.; Woodhead publishing: Cambridge, UK, 2011; pp. 437–516. [Google Scholar]
- Tietel, Z.; Srivastava, S.; Fait, A.; Tel-Zur, N.; Carmi, N.; Raveh, E. Impact of scion/rootstock reciprocal effects on metabolomics of fruit juice and phloem sap in grafted Citrus reticulata. PLoS ONE 2020, 15, e0227192. [Google Scholar] [CrossRef]
- Hanana, M.; Hamrouni, L.; Hamed, K.; Abdelly, C. Influence of the rootstock/scion combination on the grapevines behavior under salt stress. J. Plant Biochem. Physiol. 2015, 3. [Google Scholar] [CrossRef]
- Naor, A.; Klein, I.; Doron, I. Stem water potential and apple size. J. Am. Soc. Hortic. Sci. 1995, 120, 577–582. [Google Scholar] [CrossRef]
- Shackel, K.A.; Ahmadi, H.; Biasi, W.; Buchner, R.; Goldhamer, D. Plant water status as an index of irrigation need in deciduous fruit trees. Horttechnology 1997, 7, 23–29. [Google Scholar] [CrossRef]
- Stenzel, N.M.C.; Neves, C.S.V.J.; Marur, C.J.; Scholz, M.B.S.; Gomes, J.C. Maturation curves and degree-days accumulation for fruits of ‘Folha Murcha’ orange trees. Sci. Agric. 2006, 63, 219–225. [Google Scholar] [CrossRef][Green Version]
- Pompeu, J., Jr. Porta-enxertos. In Citros; Mattos, D., Jr., Ed.; Instituto Agronômico/Fundag: Campinas, Brazil, 2005; pp. 63–104. [Google Scholar]
- Castle, W.S. A career perspective on citrus rootstocks, their development, and commercialization. Hortscience 2010, 45, 11–15. [Google Scholar] [CrossRef]
- Castle, W.S.; Baldwin, J.C. Rootstock effects on ‘Hamlin’ and ‘Valencia’ orange trees growing at central ridge and flatwoods locations. Hortscience 2005, 118, 4–14. [Google Scholar]
- Pompeu, J., Jr.; Blumer, S. Citrumelos como porta-enxertos para laranja ‘Valência’. Pesq. Agropec. Bras. 2011, 46, 105–107. [Google Scholar] [CrossRef]
- Pompeu, J., Jr.; Blumer, S. Híbridos de trifoliata como porta-enxertos para laranjeira Pêra. Pesq. Agropec. Trop. 2014, 44, 9–14. [Google Scholar] [CrossRef]
- Bowman, K.D.; McCollum, G.; Albrecht, U. Performance of ‘Valencia’ orange [Citrus sinensis (L.) Osbeck] on 17 rootstocks in a trial severely affected by huanglongbing. Sci. Hortic. 2016, 201, 355–361. [Google Scholar] [CrossRef]
- Hutchison, D.J. Swingle citrumelo—a promising rootstock hybrid. Proc. Fla. State Hort. Soc. 1974, 87, 89–91. [Google Scholar]
- Wutscher, H.K.; Hill, L.L. Performance of ‘Hamlin’ orange on 16 rootstocks in East-Central Florida. Hortscience 1995, 30, 41–43. [Google Scholar] [CrossRef]
- Bowman, K.D.; Wutscher, H.K.; Kaplan, D.T.; Chaparro, J.X. A new hybrid citrus rootstock for Florida: US-852. Proc. Fla. State Hortic. Soc. 1999, 112, 54–55. [Google Scholar]
- Castle, W.S.; Baldwin, J.C.; Grosser, J.W. Performance of ‘Washington’ navel orange trees in rootstocks trials located in Lake and St. Lucie counties. Proc. Fla. State Hortic. Soc. 2000, 113, 106–111. [Google Scholar]
- Schinor, E.H.; Cristofani-Yaly, M.; Bastianel, M.; Machado, M.A. Sunki Mandarin vs Poncirus trifoliata hybrids as rootstocks for Pera sweet orange. J. Agric. Sci. 2013, 5, 190–200. [Google Scholar] [CrossRef]
- França, N.O.; Amorim, M.S.; Girardi, E.A.; Passos, O.S.; Soares Filho, W.S. Performance of ‘Tuxpan Valencia’ sweet orange grafted onto 14 rootstocks in northern Bahia, Brazil. Rev. Bras. Frutic. 2016, 38, e-684. [Google Scholar] [CrossRef][Green Version]
- Castle, W.S.; Baldwin, J.C.; Murano, R.P. Performance of ‘Valencia’ sweet orange trees on 12 rootstocks at two locations and an economic interpretation as a basis for rootstock selection. Hortscience 2010, 45, 523–533. [Google Scholar] [CrossRef]
- Castle, W.S.; Baldwin, J.C.; Murano, R.P. Rootstocks and the performance and economic returns of ‘Hamlin’ sweet orange trees. Hortscience 2010, 45, 875–881. [Google Scholar] [CrossRef]
- Cantuarias-Avilés, T.; Mourão Filho, F.A.A.; Stuchi, E.S.; Silva, S.R.; Espinoza-Nuñez, E. Horticultural performance of ‘Folha Murcha’ sweet orange onto twelve rootstocks. Sci. Hortic. 2011, 129, 259–265. [Google Scholar] [CrossRef]
- Donadio, L.C.; Lederman, I.E.; Roberto, S.R.; Stuchi, E.S. Dwarfing-canopy and rootstock cultivars for fruit trees. Rev. Bras. Frutic. 2019, 41, e997. [Google Scholar] [CrossRef]
- Cavalcante, I.H.L.; Martins, A.B.G.; Stuchi, E.S.; Campos, M.C.C. Fruit Maturation as a parameter for selection of sweet orange cultivars in Brazil. J. Food Agric. Environ. 2009, 7, 316–319. [Google Scholar]
- Carlos, E.F.; Stuchi, E.S.; Donadio, L.C. Porta-Enxertos Para a Citricultura Paulista; Funep: Jaboticabal, Brazil, 1997; 47p. [Google Scholar]
- Alvares, C.A.; Stape, J.S.; Gonçalves, J.L.M.; Sparovek, G. Köppen’s climate classification map for Brazil. Meteorol. Zeitschrift 2013, 22, 711–728. [Google Scholar] [CrossRef]
- Nietsche, P.R.; Caramori, P.H.; da Ricce, W.S.; Pinto, L.F.D. Atlas Climático do Estado do Paraná; PR, IAPAR: Londrina, Brazil, 2019. [Google Scholar]
- Rodrigues, M.J.S.; Ledo, C.A.S.; Girardi, E.A.; Almeida, L.A.H.; Soares Filho, W.S. Caracterização de frutos e propagação de porta-enxertos híbridos de citros em ambiente protegido. Rev. Bras. Frutic. 2015, 37, 457–470. [Google Scholar] [CrossRef]
- Castle, W.S.; Wutscher, H.K.; Youtsey, C. Citrumelos as rootstocks for Florida citrus. Proc. Fla. State Hortic. Soc. 1988, 101, 28–33. [Google Scholar]
- Meier, U. Growth Stages of Mono and Dicotyledonous Plants: BBCH Monograph, 2nd ed.; Federal Biological Research Centre for Agriculture and Forestry, Blackwell: Oxford, UK, 2001; p. 158. [Google Scholar]
- AOAC. Association of Official Analytical Chemists. In Official Methods of Analysis, 15th ed.; AOAC: Arlington, VA, USA, 1990; 298p. [Google Scholar]
- Ringblom, U. The Orange Book, 3rd ed.; Tetra Pak Processing Systems AB: Lund, Sweden, 2017; 208p. [Google Scholar]
- Jimenez-Cuesta, M.; Cuquerella Cayuela, J.; Martinez-Javega, J.M. Teoria y Practicca de la Desverdización de Los Cítricos; INIA: Madrid, Spain, 1983; 22p. [Google Scholar]
- Ferreira, D.F. Sisvar: A computer statistical analysis system. Ciência Agrotecnologia (UFLA) Lavras 2011, 35, 1039–1042. [Google Scholar] [CrossRef]
- R Core Team. R: A Language and Environment for Statistical Computing; R Foundation for Statistical Computing: Vienna, Austria, 2017; Available online: http://www.R-project.org/ (accessed on 17 August 2020).
- Iglesias, D.J.; Cercós, M.; Colmenero-Flores, J.M.; Naranjo, M.A.; Ríos, G.; Carrera, E.; Ruiz-Rivero, O.; Lliso, I.; Morillon, R.; Tadeo, F.R.; et al. Physiology of citrus fruiting. Braz. J. Plant Physiol. 2007, 19, 333–362. [Google Scholar] [CrossRef]
- Perez-Perez, J.G.; Robles, J.M.; Botia, P. Influence of deficit irrigation in phase 3 of fruit growth on fruit quality in ‘Lane late’ sweet orange. Agric. Water Manag. 2009, 96, 969–974. [Google Scholar] [CrossRef]
- Kallsen, C.E.; Sanden, B. Early navel orange fruit yield, quality, and maturity in response to late-season water stress. Hortscience 2011, 46, 1163–1169. [Google Scholar] [CrossRef]
- Susanto, S.; Abdila, A.; Sulistyningrum, D. Growth and postharvest quality of mandarin (Citrus reticulata ‘Fremont’) fruit harvested from different altitudes. Acta. Hortic. 2013, 975, 421–426. [Google Scholar] [CrossRef]
- Lee, H.S.; Castle, W.S. Seasonal changes of carotenoid pigments and colour in Hamlin, Earlygold, and Budd Blood orange juices. J. Agric. Food Chem. 2001, 49, 877–882. [Google Scholar] [CrossRef]
- Rodrigo, M.J.; Alquezar, B.; Alos, E.; Lado, J.; Zacarias, L. Biochemical bases and molecular regulation of pigmentation in the skin of citrus fruit. Sci. Hortic. 2013, 163, 42–62. [Google Scholar] [CrossRef]
- Mesejo, C.; Gambetta, G.; Gravina, A.; Martinez-Fuentes, A.; Reig, C.; Agusti, M. Relationship between soil temperature and fruit color development of ‘Clemenpons’ Clementine mandarin (Citrus clementina Hort. ex. Tan). J. Sci. Food Agric. 2012, 92, 520–525. [Google Scholar] [CrossRef]
- Porras, I.; Brotons, J.M.; Conesa, A.; Manera, F.J. Influence of temperature and net radiation on the natural degreening process of grapefruit (Citrus paradisi Macf.) cultivars ‘Rio Red’ and ‘Star Ruby’. Sci. Hortic. 2014, 173, 45–53. [Google Scholar] [CrossRef]
- Legua, P.; Forner, J.B.; Hernandez, F.; Forner-Giner, M.A. Physicochemical properties of orange juice from ten rootstocks using multivariate analysis. Sci. Hortic. 2013, 160, 268–273. [Google Scholar] [CrossRef]
- Forner-Giner, M.A.; Rodriguez-Gamir, J.; Martinez-Alcantara, B.; Quinones, A.; Iglesias, D.J.; Primo-Millo, E.; Forner, J. Performance of ‘Navel’ orange trees grafted onto two new dwarfing rootstocks (Forner-Alcaide 517 and Forner-Alcaide 418). Sci. Hortic. 2014, 179, 376–387. [Google Scholar] [CrossRef]
- Continella, A.; Panniteri, C.; La Malfa, S.; Legua, P.; Distefano, G.; Nicolosi, E.; Gentile, A. Influence of different rootstocks on yield precocity and fruit quality of ‘Tarocco Scirè’ pigmented sweet orange. Sci. Hortic. 2018, 230, 62–67. [Google Scholar] [CrossRef]
- Alam-Eldein, S.; Albrigo, G.; Etxeberria, E.; Burns, J.; Rouseff, R.; Tubeileh, A. Characterization of ‘Valencia’ orange skin maturation: Effect of water stress and growth regulators. Acta Hortic. 2017, 1150, 355–362. [Google Scholar] [CrossRef]
- Cinquanta, L.; Di Matteo, M. The Quality of Orange Juice. In Diet Quality Nutrition and Health; Preedy, V., Hunter, L.A., Patel, V., Eds.; Humana Press: New York, NY, USA, 2013. [Google Scholar] [CrossRef]
- Goboulev, V.N.; Salem, B. Traitement a‘l’électrodialyse du jus d’orange. Ind. Aliment. Agric. 1989, 106, 175–177. [Google Scholar]
- Barry, G.H.; Castle, W.S.; Davies, F.S. Soluble Solids Accumulation in ‘Valencia’ Sweet Orange as Related to Rootstock Selection and Fruit Size. J. Amer. Soc. Hortic. Sci. 2004, 129, 594–598. [Google Scholar] [CrossRef]
- Bisi, R.B.; Albrecht, U.; Bowman, K.D. Seed and Seedling Nursery Characteristics for 10 USDA Citrus Rootstocks. Hortscience 2020, 55, 528–532. [Google Scholar] [CrossRef]
- Carvalho, H.W.L.; Teodoro, A.V.; Barros, I.; Carvalho, L.M.; Soares Filho, W.S.; Girardi, E.A.; Passos, O.S.; Pinto-Zevallos, D.M. Rootstock-related improved performance of ‘Pera’ sweet orange under rainfed conditions of Northeast Brazil. Sci. Hortic. 2020, 263, 109–148. [Google Scholar] [CrossRef]
- Bowman, K.D.; Joubert, J. Citrus rootstocks. In The Genus Citrus; Talon, M., Caruso, M., Gmitter, F.G., Eds.; Woodhead Publishing: Cambridge, UK, 2020; pp. 105–127. [Google Scholar] [CrossRef]







| Sources of Variance | Df z | SS | TA | MI | CCI y |
|---|---|---|---|---|---|
| Blocks | 3 | 0.2766 | 0.0343 | 1.64 | 3.47 |
| Rootstocks (R) | 5 | 5.11 **x | 0.0114 | 4.86 ** | 8.82 ** |
| Error A | 15 | 0.364 | 0.032 | 0.95 | 1.28 |
| Days (D) | 6 | 45.43 ** | 7.69 ** | 415.07 ** | 925.67 ** |
| R × D | 30 | 0.3587 ** | 0.0409 | 0.72 ** | 2.81 ** |
| Error B | 108 | 0.1519 | 0.0353 | 0.57 | 1.23 |
| CV 1 (%) w | 6.4 | 12.6 | 11.1 | 4.3 | |
| CV 2 (%) | 4.1 | 13.2 | 8.6 | 4.2 |
| Rootstocks | Soluble Solids–SS (°Brix) | ||||||
|---|---|---|---|---|---|---|---|
| Days after the Phenological Stage BBCH #79 z | |||||||
| 0 | 30 | 60 | 90 | 120 | 150 | 180 | |
| ‘US–852’ citrandarin | 6.9b y | 8.1a | 9.1ab | 10.1ab | 10.8ab | 11.3ab | 10.7ab |
| IPEACS–256 citrandarin | 7.9a | 8.1a | 9.9a | 10.7a | 11.5a | 11.8a | 11.4a |
| IPEACS–264 citrandarin | 6.9b | 8.0a | 8.9b | 9.8b | 10.3b | 10.5bc | 9.6c |
| F.80–3 citrumelo | 7.2ab | 8.1a | 8.9b | 9.6b | 10.4b | 10.2c | 9.3c |
| ‘W–2’ citrumelo | 7.1ab | 7.8a | 8.9b | 9.3b | 10.0b | 10.3c | 9.6c |
| ‘Swingle’ citrumelo | 6.7b | 8.1a | 9.2b | 10.0ab | 10.6ab | 10.7bc | 10.1bc |
| Maturation index–MI or ratio | |||||||
| 0 | 30 | 60 | 90 | 120 | 150 | 180 | |
| ‘US–852’ citrandarin | 2.8a | 4.9a | 7.1a | 9.2a | 12.9a | 13.3ab | 14.8a |
| IPEACS–256 citrandarin | 3.1a | 4.7a | 6.7a | 8.9ab | 12.6ab | 13.3a | 14.4ab |
| IPEACS–264 citrandarin | 2.9a | 5.1a | 5.8a | 7.3b | 11.9ab | 11.7b | 13.7ab |
| F.80–3 citrumelo | 3.4a | 4.9a | 6.6a | 8.8ab | 12.4ab | 12.4ab | 13.7ab |
| ‘W–2’ citrumelo | 3.4a | 4.7a | 6.8a | 7.5ab | 11.0b | 12.3ab | 13.8ab |
| ‘Swingle’ citrumelo | 3.1a | 5.0a | 6.2a | 7.9ab | 11.2b | 11.9ab | 13.1b |
| Citrus color index–CCI | |||||||
| 0 | 30 | 60 | 90 | 120 | 150 | 180 | |
| ‘US–852’ citrandarin | −11.8a | −11.3a | −5.2ab | −0.8ab | 1.8a | 3.2a | 3.4ab |
| IPEACS–256 citrandarin | −12.5a | −12.5a | −3.9a | 0.4a | 0.8ab | 3.8a | 4.0a |
| IPEACS–264 citrandarin | −12.5a | −10.7a | −6.2b | −1.3ab | 0.1ab | 1.9ab | 3.6ab |
| F.80–3 citrumelo | −10.7a | −10.9a | −4.5ab | −1.2ab | −0.4ab | 1.0b | 1.1c |
| ‘W–2’ citrumelo | −12.2a | −11.0a | −6.5b | −2.2b | −0.7b | 2.1ab | 2.3bc |
| ‘Swingle’ citrumelo | −12.5a | 17.5a | −5.8ab | −2.2b | −0.1ab | 1.6ab | 1.7bc |
| Sources of Variance | df z | SS | TA | MI | CCI y |
|---|---|---|---|---|---|
| Blocks | 3 | 0.2887 | 0.0343 | 1.28 | 0.20 |
| Rootstocks (R) | 5 | 2.7578 **x | 0.01114 | 1.77 ** | 14.20 ** |
| Error A | 15 | 0.3239 | 0.032 | 0.84 | 2.11 |
| Days (D) | 6 | 42.37 ** | 7.69 ** | 345.07 ** | 948.43 ** |
| R × D | 30 | 0.3597 ** | 0.0409 | 0.94 | 1.72 |
| Error B | 108 | 0.2270 | 0.0353 | 0.74 | 1.96 |
| CV 1 (%) w | 6.0 | 12.6 | 11.4 | 5.2 | |
| CV 2 (%) | 5.0 | 13.2 | 10.7 | 5.0 |
| Rootstocks | Soluble Solids–SS (°Brix) | ||||||
|---|---|---|---|---|---|---|---|
| Days after the Phenological Stage BBCH #79 z | |||||||
| 0 | 30 | 60 | 90 | 120 | 150 | 180 | |
| ‘US–852’ citrandarin | 7.1a y | 8.0a | 9.7a | 10.4ab | 10.9a | 10.9ab | 10.3a |
| IPEACS–256 citrandarin | 7.5a | 8.4a | 10.0a | 10.7a | 10.9a | 11.1ab | 10.6a |
| IPEACS–264 citrandarin | 7.1a | 8.2a | 9.1a | 10.3ab | 10.5a | 10.1b | 10.3a |
| F.80–3 citrumelo | 7.4a | 8.0a | 9.4a | 9.9ab | 10.3a | 10.3b | 9.3bc |
| ‘W–2’ citrumelo | 6.8a | 7.8a | 9.4a | 9.6b | 10.2a | 10.6ab | 8.7c |
| ‘Swingle’ citrumelo | 7.2a | 8.2a | 9.6a | 10.3ab | 10.8a | 11.3a | 9.5bc |
| Maturation index–MI or ratio | |||||||
| 0 | 30 | 60 | 90 | 120 | 150 | 180 | |
| ‘US–852’ citrandarin | 2.7a | 5.2a | 6.5a | 7.9a | 10.5a | 12.6a | 14.9a |
| IPEACS–256 citrandarin | 3.5a | 4.9a | 5.4b | 7.8a | 11.1a | 11.2b | 13.0b |
| IPEACS–264 citrandarin | 3.1a | 4.4a | 5.3b | 8.0a | 10.7a | 11.8b | 12.5b |
| F.80–3 citrumelo | 3.1a | 4.5a | 5.5b | 8.0a | 9.4a | 11.1b | 13.2b |
| ‘W–2’ citrumelo | 3.0a | 4.4a | 5.2b | 7.1a | 10.0a | 11.5b | 12.4b |
| ‘Swingle’ citrumelo | 3.0a | 4.7a | 5.3b | 7.6a | 10.9a | 10.8b | 12.9b |
| Citrus color index–CCI | |||||||
| 0 | 30 | 60 | 90 | 120 | 150 | 180 | |
| ‘US–852’ citrandarin | −12.0a | 11.4a | −3.0ab | 0.7a | 2.3a | 3.7a | 4.6a |
| IPEACS–256 citrandarin | −9.8a | −9.8a | −1.2a | 0.9a | 2.8a | 4.0a | 4.4a |
| IPEACS–264 citrandarin | −11.2a | −10.8a | −1.4a | 1.5a | 2.0a | 3.2a | 4.0ab |
| F.80–3 citrumelo | −10.7a | −10.5a | −1.6a | 0.8a | 1.8a | 3.1a | 4.1ab |
| ‘W–2’ citrumelo | −10.9a | −9.1a | −2.2a | 0.1a | 1.3a | 2.7a | 3.4bc |
| ‘Swingle’ citrumelo | −12.0a | −10.9a | −5.5b | −0.2a | 1.0a | 1.8a | 2.2c |
| Sources of Variance | df z | SS | TA | MI | CCI y |
|---|---|---|---|---|---|
| Blocks | 3 | 0.2196 | 0.1178 | 1.1933 | 2.70 |
| Rootstocks (R) | 1 | 0.0460 | 0.0240 | 0.3600 | 2.89 |
| Error A | 3 | 0.213 | 0.0393 | 0.4400 | 3.01 |
| Days (D) | 6 | 19.32 **x | 2.0653 ** | 67.49 ** | 284.25 ** |
| R × D | 6 | 0.405 | 0.1057 | 0.35 | 1.63 |
| Error B | 36 | 0.3193 | 0.0651 | 0.76 | 2.38 |
| CV 1 (%) w | 4.6 | 11.9 | 9.8 | 8.9 | |
| CV 2 (%) | 5.7 | 15.3 | 12.8 | 7.9 |
| Rootstocks | Soluble Solids–SS (°Brix) | ||||||
|---|---|---|---|---|---|---|---|
| Days after the Phenological Stage BBCH #79 z | |||||||
| 0 | 30 | 60 | 90 | 120 | 150 | 180 | |
| ‘W–2’ citrumelo | 7.5a y | 7.8a | 9.7a | 10.4a | 11.2a | 11.8a | 10.9a |
| ‘Swingle’ citrumelo | 7.7a | 8.0a | 10.0a | 10.7a | 11.6a | 11.1a | 10.4a |
| Maturation index–MI or ratio | |||||||
| 0 | 30 | 60 | 90 | 120 | 150 | 180 | |
| ‘W–2’ citrumelo | 3.7a | 3.6a | 5.0a | 6.0a | 8.4a | 9.6a | 10.6a |
| ‘Swingle’ citrumelo | 3.4a | 3.7a | 4.9a | 7.0a | 8.7a | 9.8a | 10.7a |
| Citrus color index–CCI | |||||||
| 0 | 30 | 60 | 90 | 120 | 150 | 180 | |
| ‘W–2’ citrumelo | −10.4a | −9.4a | −0.4a | 3.4a | 3.5a | 4.0a | 4.1a |
| ‘Swingle’ citrumelo | −10.1a | −8.7a | −0.8a | 2.4a | 3.4a | 3.8a | 4.0a |
Publisher’s Note: MDPI stays neutral with regard to jurisdictional claims in published maps and institutional affiliations. |
© 2020 by the authors. Licensee MDPI, Basel, Switzerland. This article is an open access article distributed under the terms and conditions of the Creative Commons Attribution (CC BY) license (http://creativecommons.org/licenses/by/4.0/).
Share and Cite
Domingues, A.R.; Marcolini, C.D.M.; Gonçalves, C.H.d.S.; Gonçalves, L.S.A.; Roberto, S.R.; Carlos, E.F. Fruit Ripening Development of ‘Valencia’ Orange Trees Grafted on Different ‘Trifoliata’ Hybrid Rootstocks. Horticulturae 2021, 7, 3. https://doi.org/10.3390/horticulturae7010003
Domingues AR, Marcolini CDM, Gonçalves CHdS, Gonçalves LSA, Roberto SR, Carlos EF. Fruit Ripening Development of ‘Valencia’ Orange Trees Grafted on Different ‘Trifoliata’ Hybrid Rootstocks. Horticulturae. 2021; 7(1):3. https://doi.org/10.3390/horticulturae7010003
Chicago/Turabian StyleDomingues, Allan Ricardo, Ciro Daniel Marques Marcolini, Carlos Henrique da Silva Gonçalves, Leandro Simões Azeredo Gonçalves, Sergio Ruffo Roberto, and Eduardo Fermino Carlos. 2021. "Fruit Ripening Development of ‘Valencia’ Orange Trees Grafted on Different ‘Trifoliata’ Hybrid Rootstocks" Horticulturae 7, no. 1: 3. https://doi.org/10.3390/horticulturae7010003
APA StyleDomingues, A. R., Marcolini, C. D. M., Gonçalves, C. H. d. S., Gonçalves, L. S. A., Roberto, S. R., & Carlos, E. F. (2021). Fruit Ripening Development of ‘Valencia’ Orange Trees Grafted on Different ‘Trifoliata’ Hybrid Rootstocks. Horticulturae, 7(1), 3. https://doi.org/10.3390/horticulturae7010003

