Synthesis of 2,4,6-Tri-substituted-1,3,5-Triazines
Abstract
:Introduction



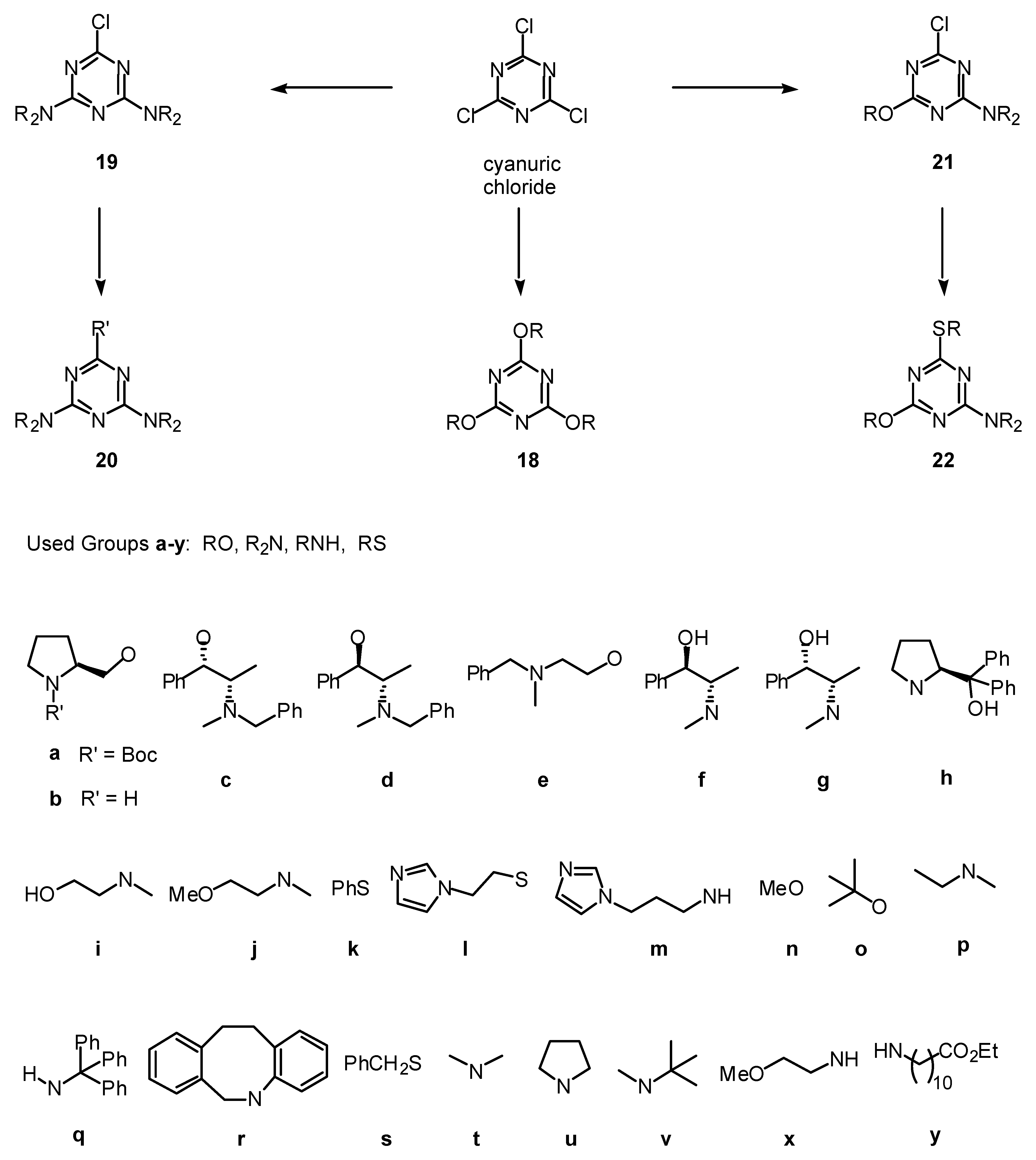
Results and Discussion




Conclusions
Acknowledgments
Experimental
General



































References and Notes
- (a) Hollink, E.; Simanek, E. E.; Bergbreiter, D. E. Tetrahedron Lett. 2005, 46, 2005–2008. and references cited therein; (b) Herrera, A.; Martínez-Alvarez, R. P.; Chioua, M.; Chioua, R. Synthesis 2004, 503–505. and refrences cited therein; (c) Barton, B.; Gouwns, S.; Schaefer, M. C.; Zeelie, B. Org. Process Res. Dev. 2003, 7, 1071–1076. and references cited therein; (d) Azenha, M. E. D. G.; Burrows, H. D.; Canle, M. L.; Coimbra, R.; Fernández, M. I.; García, M. V.; Rodrigues, A. E.; Santaballa, J. A.; Steenken, S. Chem. Comm. 2003, 112–113. (e) Draber, W.; Tietjen, K.; Kluth, J. F.; Trebst, A. Angew. Chem. Int. Ed. 1991, 30, 1621–1633. (f) Quirke, J. M. E. Comprehensive Heterocyclic Chemistry; Katritzky, A. R., Rees, C. W., Eds.; Pergamon Press: London, 1984; Volume 3, pp. 457–530. [Google Scholar]
- (a) Hedayatullah, M.; Lion, C.; Slimane, A. B.; Da Conceição, L.; Nachawati, I. Heterocycles 1999, 51, 1891–1896. and references cited therein. For some other examples of 1,3,5-triazines which present important biological properties see: Antitumor activity: (b) Garaj, V.; Puccetti, L.; Fasolis, G.; Winum, J.-Y.; Montero, J.-L.; Scozzafava, A.; Vullo, D.; Innocenti, A.; Supuran, C. T. Bioorg. Med. Chem. Lett. 2005, 15, 3102–3108. (c) Saczewski, F.; Brzozowski, Z. Eur. J. Med. Chem. 2002, 37, 709–720. (d) Saczewski, F.; Brzozowski, Z.; Gdaniec, M. Eur. J. Med. Chem. 2000, 35, 1053–1064. Estrogen receptor: (e) Henke, B. R.; Consler, T. G.; Go, N.; Hale, R. L.; Hohman, D. R.; Jones, S. A.; Lu, A. T.; Moore, L. B.; Moore, J. T.; Orband-Miller, L. A.; Robinett, R. G.; Shearin, J.; Spearing, P. K.; Stewart, E. L.; Turnbull, P. S.; Weaver, S. L.; Williams, S. P.; Wisely, G. B.; Lambert, M. H. J. Med. Chem. 2002, 45, 5492–5505. Cyclin-dependent kinase inhibitors: (f) Kuo, G.-H.; DeAngelis, A.; Emanuel, S.; Wang, A.; Zhang, Y.; Connolly, P. J.; Chen, X.; Gruninger, R. H.; Rugg, C.; Fuentes-Pesquera, A.; Middleton, S. A.; Jolliffe, L.; Murray, W. V. J. Med. Chem. 2005, 48, 5435–4546. Multidrug resistance reversal agent: (g) Robert, J.; Jarry, C. J. Med. Chem. 2003, 46, 4805–4817. (perspective article).
- (a) Matsuno, T.; Kato, M.; Sasahara, H.; Watanabe, T.; Inaba, M.; Takahashi, M.; Yaguchi, S.-I.; Yoshioka, K.; Sakato, M.; Kawashima, S. Chem. Pharm. Bull. 2000, 48, 1778–1781. (b) Matsuno, T.; Kato, M.; Tsuchida, Y.; Takahashi, M.; Yaguchi, S.; Terada, S. Chem. Pharm. Bull. 1997, 45, 291–296. and references cited therein.
- Ramurthy, S.; Miller, M. J. J. Org. Chem. 1996, 61, 4120–4124.
- Whitten, J. P.; Xie, Y. F.; Erickson, P. E.; Webb, T. R.; De Souza, E. B.; Grigoriadis, D. E.; McCarthy, J. R. J. Med. Chem. 1996, 39, 4354–4357.
- Hasegawa, Y.; Yanagisawa, T.; Okui, Y.; Sato, T.; Hosaka, K.; Chin, M.; Mitsuhashi, H. Chem. Pharm. Bull. 1991, 39, 3180–3182.
- He, L.; Gilligan, P. J.; Zaczek, R.; Fitzgerald, L. W.; McElroy, J.; Shen, H-S. L.; Saye, J. A.; Kalin, N. H.; Shelton, S.; Christ, D.; Trainor, G.; Hartig, P. J. Med. Chem. 2000, 43, 449.
- Klenke, B.; Stewart, M.; Barrett, M. P.; Brun, R.; Gilbert, I. H. J. Med. Chem. 2001, 44, 3440–3452.
- (a) Khersonsky, S. M.; Jung, D.-W.; Kang, T.-W.; Walsh, D. P.; Moon, H.-S.; Jo, H.; Jacobson, E. M.; Shetty, V.; Neubert, T. A.; Chang, Y.-T. J. Am. Chem. Soc. 2003, 125, 11804–11805. (b) Scharn, D.; Germeroth, L.; Schneider-Mergener, J.; Wenschuh, H. J. Org. Chem. 2001, 66, 507–513. (c) Scharn, D.; Wenschuh, H.; Reineke, U.; Schneider-Mergener, J.; Germeroth, L. J. Comb. Chem. 2000, 2, 361–369. (d) Masquelin, T.; Meunier, N.; Gerber, F.; Rossé, G. Heterocyles 1998, 48, 2489–2505. (e) Falorni, M.; Giacomelli, G.; Mameli, L.; Porcheddu, A. Tetrahedron Lett. 1998, 39, 7607–7610. (f) Stanková, M.; Lebl, M. Mol. Divers. 1996, 2, 75–80. (g) Gustafson, G. R.; Baldino, C. M.; O´Donnell, M.-M. E.; Sheldon, A.; Tarsa, R. J.; Verni, C. J.; Coffen, D. L. Tetrahedron 1998, 54, 4051–4065.
- (a) Hofmeier, H.; Schubert, U. S. Chem. Comm. 2005, 2423–2432. (b) Barberá, J.; Puig, L.; Romero, P.; Serrano, J. L.; Sierra, T. Chem. Mater. 2005, 17, 3763–3771. (c) Vollhardt, D.; Fainerman, V. B.; Liu, F. J. Phys. Chem. B 2005, 109, 11706–11711. (d) Arduini, M.; Crego-Calama, M.; Timmerman, P.; Reinhoudt, D. N. J. Org. Chem. 2003, 68, 1097–1106. (e) Sauriat-Dorizon, H.; Maris, T.; Wuest, J. D.; Enright, G. D. J. Org. Chem. 2003, 68, 240–246. (f) Würthner, F.; Yao. J. Org. Chem. 2003, 68, 8943–8949. (g) Würthner, F.; Yao, S.; Heise, B.; Tschierske, C. Chem. Comm. 2001, 2260–2261. (h) Timmerman, P.; Prins, L. J. Eur. J. Org. Chem. 2001, 3191–3205. review; (i) Goodman, A. J.; Breinlinger, E. C.; McIntosh, C. M.; Grimaldi, L. N.; Rotello, V. M. Org. Lett. 2001, 3, 1531–1534. (j) Löwik, D. W. P. M.; Lowe, C. R. Eur. J. Org. Chem. 2001, 2825–2839. (k) Li, X.; Chin, D. N.; Whitesides, G. M. J. Org. Chem. 1996, 61, 1779–1786.
- (a) Iuliano, A.; Lecci, C.; Salvadori, P. Tetrahedron: Asymmetry 2003, 14, 1345–1353. (b) Iuliano, A.; Uccello-Barretta, G.; Salvadori, P. Tetrahedron: Asymmetry 2000, 11, 1555–1563.
- Iuliano, A.; Voir, I.; Salvadori, P. J. Org. Chem. 1999, 64, 5754–5756.
- (a) Lee, S. J.; Chang, J. Y. Tetrahedron Lett. 2003, 44, 7493–7497. (b) Muzikante, I.; Gerca, L.; Fonavs, E.; Rutkis, M.; Gustina, D.; Markava, E.; Stiller, B.; Brehmer, L.; Knochenhauer, G. Mater. Sci. Eng. 2002, C22, 339–343. (c) Lee, C.-H.; Yamamoto, T. Tetrahedron Lett. 2001, 42, 3993–3996. (d) Selby, T. D.; Stickley, K. R.; Blackstock, S. C. Org. Lett. 2000, 2, 171–174.
- (a) Ren, S.; Fang, Q.; Lei, Y.; Chen, X.; Du, J.; Cao, A. Macromol. Rapid Commun. 2005, 26, 998–1001. (b) Glaser, T.; Lügger, T.; Fröhlich, R. Eur. J. Inorg. Chem. 2004, 394–400. (c) Holst, H. C.; Pakula, T.; Meier, H. Tetrahedron 2004, 60, 6765–6775. (d) Steffensen, M. B.; Simanek, E. E. Org. Lett. 2003, 5, 2359–2361. (e) Meier, H.; Holst, H. C.; Oehlhof, A. Eur. J. Org. Chem. 2003, 4173–4180. (f) Yang, X.; Lowe, C. R. Tetrahedron Lett. 2003, 44, 1359–1362. (g) Xing, B.; Choi, M.-F.; Xu, B. Chem. Eur. J. 2002, 8, 5028–5031. (h) Hoog, P.; Gamez, P.; Driessen, W. L.; Reedijk, J. Tetrahedron Lett. 2002, 43, 6783–6786. (i) Verheyde, B.; Maes, W.; Dehaen, W. Mater. Sci. Eng. 2001, C18, 243–245. (j) Cook, S. Green Chem. 1999, G138–G141.
- Thurston, J. T.; Dudley, J. R.; Kaiser, D. W.; Hechenbleikner, I.; Schaefer, F. C.; Holm-Hansen, D. J. Am. Chem. Soc. 1951, 73, 2981-2983; 2984-2986; 2986-2990.
- (a) Pattarawarapan, M.; Reyes, S.; Xia, Z.; Zaccaro, M. C.; Saragovi, H. U.; Burgess, K. J. Med. Chem. 2003, 46, 3565–3567. (b) Bork, J. T.; Lee, H.-S.; Chang, Y.-T. Tetrahedron. Lett. 2003, 44, 6141–6144. (c) Bork, J. T.; Lee, J. W.; Khersonsky, S. M.; Moon, H.-S.; Chang, Y.-T. Org. Lett. 2003, 5, 117–120. (d) Luo, G.; Xu, L.; Poindexter, G. S. Tetrahedron Lett. 2002, 43, 8909–8912. (e) Idem. Tetrahedron Lett. 2001, 42, 493–496. (f) Marsh, A.; Carlisle, S. J.; Smith, S. C. Tetrahedron Lett. 2001, 42, 493–496. (g) Falchi, A.; Taddei, M. Org. Lett. 2000, 2, 3429–3431. (h) Masala, S.; Taddei, M. Org. Lett. 1999, 1, 1355–1357. (i) Dijksman, A.; Arends, I. W. C. E.; Sheldon, R. A. Synlett 2001, 102–104. (j) Bigi, F.; Moroni, L.; Maggi, R.; Sartori, G. Chem. Comm. 2002, 716–717.
- (a) De Luca, L.; Giacomelli, G.; Porcheddu, A. J. Org. Chem. 2002, 67, 5152–5155. (b) De Luca, L.; Giacomelli, G.; Porcheddu, A. Org. Lett. 2002, 4, 553–555. (c) Sandler, S. R. J. Org. Chem. 1970, 35, 3967–3968.
- (a) Giacomelli, G.; Porcheddu, A.; Salaris, M. Organic Lett. 2003, 5, 2715–2717. (b) Bandgar, B. P.; Pandit, S. S. Tetrahedron Lett. 2003, 44, 2331–2333. (c) Venkataraman, K.; Wagle, D. R. Tetrahedron Lett. 1979, 3037–3040.
- Falorni, M.; Porcheddu, A.; Taddei, M. Tetrahedron Lett. 1999, 40, 4395–4396.
- De Luca, L.; Giacomelli, G.; Porcheddu, A. J. Org. Chem. 2001, 66, 7907–7909.
- (a) Rosenau, T.; Hofinger, A.; Potthast, A.; Kosma, P. Org. Lett. 2004, 6, 541–544. (b) De Luca, L.; Giacomelli, G.; Porcheddu, A. J. Org. Chem. 2002, 67, 6272–6274.
- Kaminska, J. E.; Kaminski, Z. J.; Góra, J. Synthesis 1999, 593–596.
- Kaminski, Z. J.; Kolesinska, B.; Kaminska, J. E.; Góra, J. J. Org. Chem. 2001, 66, 6276–6281.
- (a) Díaz-Ortiz, A.; Elguero, J.; Foces-Foces, C.; Hoz, A.; Moreno, A.; Moreno, S.; Sánchez-Migallón, Valiente, G. Org. Biomol. Chem. 2003, 1, 4451–4457. (b) Brewer, S. A.; Burnell, H. T.; Holden, I.; Jones, B. G.; Willis, C. R. J. Chem. Soc., Perkin Trans 2 1999, 1231–1234. and references cited therein.
- Kurteva, V. B.; Afonso, C. A. M. Green Chem. 2004, 6, 183–187.
- Mathias, J. P.; Seto, C. T.; Simanek, E. E.; Whitesides, G. M. J. Am. Chem. Soc. 1994, 116, 1725–1736.
- Hiroi, K.; Abe, J. Chem. Pharm. Bull. 1991, 39, 616–621.
- Triethylamine was used instead of diisopropylethylamine.
- Preparation of 2-imidazol-1-yl-ethanethiol (l): To a reflux solution of imidazole (9.002 g, 132.2 mmol) in anhydrous toluene (120 mL) was added a solution of ethylene sulfide (2.6 mL, 44.0 mmol) in anhydrous toluene (50 mL) during 21 hr and was refluxed for more 2 hr. The solvent was evaporated in vacuo and the residue was diluted with diethyl ether (50 mL) and cooled to -6 °C (formation of solid). The mixture was filtered, washed the solid with Et2O (20 mL) and the combined liquid fractions were evaporated to dryness and purified by distillation; b.p. 90 - 94 °C/ 0.04 mmHg, to give 7.381 g of a 1.3:1.0 mixture (by 1H-NMR) of 2-imidazol-1-yl-ethanethiol (l) and imidazole as a clear colourless oil; νmax (film)/cm−1 3110, 3037, 2940, 2840, 2701, 2616, 1509, 1446, 1327, 1293, 1225, 1111, 1072, 1066, 929, 907, 827, 748, 663; δH (400 MHz; CDCl3) 1.36 (1H, br s, SH), 2.87 (2H, t J 6.6, CH2S), 4.15 (2H, t J 6.6), 6.96 (1H, s), 7.11 (1H, s), 7.55 (1H, s); m/z (EI) 128 (M+), 101, 81, 69, 61; HRMS calcd. for C5H8N2S: 128.0408, found: 128.0410.
- Ethyl 11-aminoundecanoate [31] (1 eq), triethylamine (1 eq) in 1,2-dichloroethane (reflux, 24 hr) was used.
- Preparation of ethyl 11-aminoundecanoate (y): To a suspension of 11-aminoundecanoic acid (0,017 mol, 3.5g ) in absolute ethanol (60 mL) was added concentrated sulphuric acid (0.020 mol, 1.12 mL). The resulting white solution was heated at reflux overnight, cooled 0°C and neutralized with aqueous saturated bicarbonate solution. The precipitated product was then collected by filtration, washed with cold water, and recrystallized from aqueous ethanol to give ethyl 11- aminoundecanoate (y, 2.4g, 58 %), m. p. 65 °C; νmax (NaCl)/cm−1; 3332, 2924, 2854, 1736, 1566, 1473, 1180; δH (400 MHz; DMSO-d6) 1.15 (3H, t, J= 7.1 CO2CH2CH3), 1.22 (12H, s, NH2CH2CH2(CH2)6CH2CH2CO2Et), 1.31 (2H, br, CH2CH2CO2Et), 1.48 (2H, br, NH2CH2CH2), 2.24 (2H, br, CH2CO2Et), 2.86 (2H, d, J= 4.04, NH2CH2), 4.02 (2H, q, J= 7.1, -COOCH2CH3); δH (400 MHz; CDCl3) 1.20-1.24 (15H, m, NH2CH2CH2(CH2)6CH2CH2CO2CH2CH3), 1.45 (2H, br, CH2CH2CO2Et), 1.58 (2H, br, NH2CH2CH2), 2.25 (2H, t, J= 8, CH2CO2Et), 2.67 (2H, t, J= 8, NH2CH2), 4.09 (2H, q, J= 8, CO2CH2CH3); δC (CDCl3) 14.18, 24.90, 26.77, 29.06, 29.17, 29.31, 29.44, 34.30, 41.34, 60.05, 173.78; m/z (CI) 230 (MH+), 228, 184 ; EIMS calcd. for C13H28NO2: 230.211, found: 230.212.
- In the case of the preparation of 1,3,5-triazines containing the dimethylamino group dimethylammonium chloride (1.0 mol eq.) and diisopropylethylamine (3.2 mol eq.) were used.
- Preparation of (2-methoxyethyl)methylamine (j): A stirred solution of anhydrous triethylamine (5.0 mL, 53.63 mmol), 2-(methylamino)ethanol (4.028 g, 53.63 mmol), tetrabutylammonium bromide (432 mg, 1.34 mmol) and benzyl chloride (4.1 mL, 53.63 mmol) in anhydrous benzene (40 mL) was refluxed for 2 days under argon. The mixture was partitioned between Et2O (70 mL) and aqueous sodium carbonate (50 mL). The aqueous phase was extracted with diethyl ether (2 x 70 mL), the combined organic layers were dried (MgSO4), filtered, evaporated to dryness and purified by distillation; b.p. 86 - 90 °C/0.05 mmHg, to give 2-(benzylmethylamino)ethanol (e, 4.654 g, 79 %) as an colorless liquid; νmax (film)/cm−1 3406 (OH), 3099, 3076, 3042, 2957, 2889, 2855, 2804, 1503, 1458, 1372, 1077, 1032, 742, 702; δH (400 MHz; CDCl3) 2.22 (3H, s, NMe), 2.59 (2H, t J 5.2, 2-H), 2.86 (1H, br s, OH), 3.56 (2H, s, CH2Ph), 3.62 (2H, t J 5.2, 1-H), 7.28- 7.34 (5H, m, Ph); m/z (FAB) 166 (MH+), 134, 120, 107; HRMS calcd. for C10H16NO: 166.1232, found: 166.1240. To a solution of the above amino-alcohol (1.364 g, 8.25 mmol) in anhydrous THF (60 mL) at room temperature under argon was added sodium hydride (396 mg, 50 % oil dispersion, 8.25 mmol). After 15 hr was added iodomethane (0.51 ml, 8.25 mmol), stirred for 8 hr and refluxed for 1.5 hr. The mixture was partitioned between Et2O (50 mL) and saturated aqueous ammonium chloride (70 mL). The aqueous phase was extracted with Et2O (2 x 70 mL), the combined organic layers were dried (MgSO4), filtered, evaporated to dryness and chromatographed on a silica gel column (1:0 to 6:4 hexane/ethyl acetate) to afford benzyl-(2- methoxyethyl)methylamine (1.159 g, 78 %) as a slightly yellow liquid; νmax (film)/cm−1 3076, 3042, 2985, 2940, 2883, 2849, 2815, 2798, 1503, 1458, 1372, 1123, 1077, 1054, 742, 702; δH (400 MHz; CDCl3) 2.26 (3H, s, NMe), 2.60 (2H, t J 5.8, 2-H), 3.34 (3H, s, OMe), 3.51 (2H, t J 5.8, 2-H), 3.55 (2H, s, CH2Ph), 7.26-7.32 (5H, m, Ph); m/z (FAB) 180 (MH+), 166, 154, 138, 134, 120; HRMS calcd. for C11H18NO: 180.1388, found: 180.1380. A mixture of the above compound (198.9 mg, 1.11 mmol) and Pd/C (10 %) (73 mg) in ethanol (6 mL) under hydrogen atmosphere (balloon) was strongly stirred at room temperature during 1.5 hr (complete reaction by TLC). Argon atmosphere was introduced and the mixture was used directly to the next step.
- In the other examples, pure amines were added to the reaction mixture.
- Sample Availability: Available from the authors.
© 2006 by MDPI (http:www.mdpi.org). Reproduction is permitted for noncommercial purposes.
Share and Cite
Afonso, C.A.M.; Lourenco, N.M.T.; Rosatella, A.D.A. Synthesis of 2,4,6-Tri-substituted-1,3,5-Triazines. Molecules 2006, 11, 81-102. https://doi.org/10.3390/11010081
Afonso CAM, Lourenco NMT, Rosatella ADA. Synthesis of 2,4,6-Tri-substituted-1,3,5-Triazines. Molecules. 2006; 11(1):81-102. https://doi.org/10.3390/11010081
Chicago/Turabian StyleAfonso, Carlos A. M., Nuno M. T. Lourenco, and Andreia De A. Rosatella. 2006. "Synthesis of 2,4,6-Tri-substituted-1,3,5-Triazines" Molecules 11, no. 1: 81-102. https://doi.org/10.3390/11010081
APA StyleAfonso, C. A. M., Lourenco, N. M. T., & Rosatella, A. D. A. (2006). Synthesis of 2,4,6-Tri-substituted-1,3,5-Triazines. Molecules, 11(1), 81-102. https://doi.org/10.3390/11010081
