Methodology for Assessing Phosphorus Adsorption Kinetics in Novel Constructed Wetland Materials
Abstract
1. Introduction
2. Materials and Methods
3. Results and Discussion
3.1. Pretests
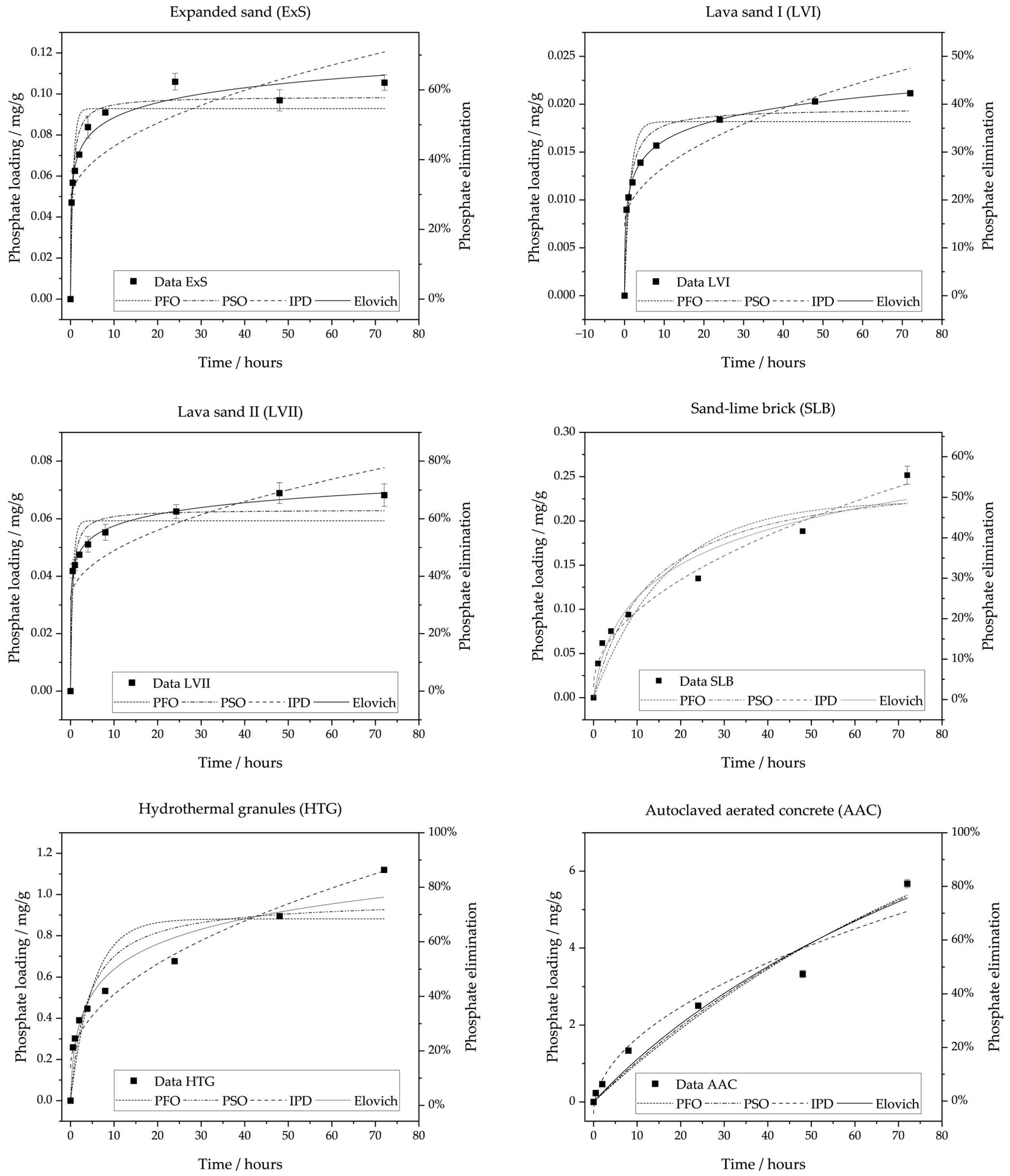
3.2. Kinetics Curves
- At contact with water, AAC starts dissolving calcium components that also contain CSH phases. At this point, phosphate precipitation only occurs in the solution and does not change the BET surface area of the material.
- The dissolution leads to an increase in pH, as well as an increase in Ca concentration. The alkaline environment promotes the precipitation of calcium phosphates. For precipitation products to crystallize, first the solution has to be supersaturated [46] (p. 237).
- Crystal seeds in the solution can act as catalysts, reducing the energy barrier for further crystallization [46]. The precipitation products in the solution can serve as precipitation seeds kickstarting the phosphorus uptake after 24 h. The crystallization now takes place on the surface of the material, making it rougher. The increase in roughness correlates with an increase in BET-value.
3.3. Determination of the Contact Time for the Different Kinetics
3.4. Discussion of the Overall Methodology
4. Conclusions
Supplementary Materials
Author Contributions
Funding
Data Availability Statement
Acknowledgments
Conflicts of Interest
Abbreviations
| A | Initial Elovich adsorption rate, in mg/g/h |
| AAC | Autoclaved aerated concrete |
| Al | Aluminium |
| B | Elovich desorption rate constant, in mg/g/h |
| BET | Brunauer–Emmett–Teller model that determines the mass-related specific surface area of a solid. |
| C | IPD Constant, in mg/g |
| c | PO4-P-concentration, in mg/L |
| c0 | PO4-P-concentration at the beginning of the experiment, at t = 0 |
| c24h | PO4-P-concentration at t = 24 h |
| Ca | Calcium |
| CAH | Calcium aluminate hydrate phases |
| CASH | Mixed calcium aluminate silicate hydrate phases |
| CSH | Calcium silicate hydrate phases |
| CT | Cuvette test |
| CW | Constructed wetland(s) |
| EU-UWWTD | European urban wastewater treatment directive |
| ExS | Expanded sand |
| Fe | Iron |
| HTG | Hydrothermal granules |
| IC | Ion chromatography |
| IPD | Intraparticle diffusion (kinetic model) |
| k1 | Pseudo-first-order rate constant, in g/mg/h |
| k2 | Pseudo-second-order rate constant, in g/mg/h |
| kdiff | Intraparticle diffusion coefficient, in mg/g/ |
| LOD | Limit of detection |
| LOQ | Limit of quantification |
| LV | Lava sand |
| m | Material mass, in g |
| Mg | Magnesium |
| P | Phosphorus |
| PE | People equivalent |
| PFO | Pseudo-first-order (kinetic model) |
| PO4-P | Phosphate related to phosphorus |
| PFO | Pseudo-second-order (kinetic model) |
| q | Loading, in mg phosphate/(g material) |
| qe | adsorption capacity at equilibrium, in mg/g |
| Ref. | Reference |
| rvn | Relative loading velocity at time step n, in% |
| SLB | Sand–lime brick |
| SPP | Specific phosphate provided in mg PO4-P per g material |
| TP | Total phosphorus |
| V | Volume, in L |
| vn | Loading velocity at time step n, in mg/g/min |
| WWTP | Wastewater treatment plant |
References
- Urban Wastewater Treatment. European Parliament Legislative Resolution of 10 April 2024 on the Proposal for a Directive of the European Parliament and of the Council Concerning Urban Wastewater Treatment (Recast): P9_TC1-COD(2022)0345. 2024. Available online: https://eur-lex.europa.eu/eli/C/2025/1330/oj/eng (accessed on 28 August 2025).
- DWA. 35. Leistungsnachweis Kommunaler Kläranlagen: Fremdwasser. DWA-Leistungsnachweis 2022, Hennef. 2023. Available online: https://de.dwa.de/files/_media/content/06_SERVICE/ZahlenFaktenUmfragen/Leistungsnachweis/leistungsvergleich_2023_8seiter_A4_2024_Ansicht.pdf (accessed on 28 August 2025).
- Münch, K.; Angerbauer, F.; Jung, T. Auswertung der Pges-und AFS—Ablaufkonzentrationen von rheinland pfälzischen Belebungsanlagen an p1—Wasserkörpern. KA Korresp. Abwasser Abfall 2020, 67, 954–961. [Google Scholar]
- Priya, G.S.; Brighu, U. Comparison of Different Types of Media for Nutrient Removal Efficiency in Vertical Upflow Constructed Wetlands. Int. J. Environ. Eng. Manag. 2013, 4, 405–416. [Google Scholar]
- Arias, C.A.; Del Bubba, M.; Brix, H. Phosphorus removal by sands for use as media in subsurface flow constructed reed beds. Water Res. 2001, 35, 1159–1168. [Google Scholar] [CrossRef] [PubMed]
- Zeng, Y.; Xu, W.; Wang, H.; Zhao, D.; Ding, H. Nitrogen and Phosphorus Removal Efficiency and Denitrification Kinetics of Different Substrates in Constructed Wetland. Water 2022, 14, 1757. [Google Scholar] [CrossRef]
- Thalla, A.K.; Devatha, C.P.; Anagh, K.; Sony, E. Performance evaluation of horizontal and vertical flow constructed wetlands as tertiary treatment option for secondary effluents. Appl. Water Sci. 2019, 9, 147. [Google Scholar] [CrossRef]
- Brix, H.; Arias, C.A.; Del Bubba, M. Media selection for sustainable phosphorus removal in subsurface flow constructed wetlands. Water Sci. Technol. 2001, 44, 47–54. [Google Scholar] [CrossRef] [PubMed]
- Stefanakis, A.; Akratos, C.S.; Tsihrintzis, V.A. (Eds.) Vertical Flow Constructed Wetlands: Eco-Engineering Systems for Wastewater and Sludge Treatment, 1st ed.; Elsevier: Amsterdam, The Netherlands; Boston, MA, USA; Heidelberg, Germany, 2014; ISBN 978-0-12-404612-2. [Google Scholar]
- Vohla, C.; Kõiv, M.; Bavor, H.J.; Chazarenc, F.; Mander, Ü. Filter materials for phosphorus removal from wastewater in treatment wetlands—A review. Ecol. Eng. 2011, 37, 70–89. [Google Scholar] [CrossRef]
- Cabral, L.L.; Pereira, I.C.; Perretto, F.; Nagalli, A.; Rizzo-Domingues, R.C.P.; Passig, F.H.; Carvalho, K.Q.d. Adsorption and desorption of phosphate onto chemically and thermochemically pre-activated red ceramic waste: Characteristics, batch studies, and mechanisms. J. Environ. Chem. Eng. 2021, 9, 106695. [Google Scholar] [CrossRef]
- Qin, Z.; Shober, A.L.; Scheckel, K.G.; Penn, C.J.; Turner, K.C. Mechanisms of Phosphorus Removal by Phosphorus Sorbing Materials. J. Environ. Qual. 2018, 47, 1232–1241. [Google Scholar] [CrossRef]
- Bolton, L.; Joseph, S.; Greenway, M.; Donne, S.; Munroe, P.; Marjo, C.E. Phosphorus adsorption onto an enriched biochar substrate in constructed wetlands treating wastewater. Ecol. Eng. 2019, 142, 100005. [Google Scholar] [CrossRef]
- Bruch, I.; Fritsche, J.; Bänninger, D.; Alewell, U.; Sendelov, M.; Hürlimann, H.; Hasselbach, R.; Alewell, C. Improving the treatment efficiency of constructed wetlands with zeolite-containing filter sands. Bioresour. Technol. 2011, 102, 937–941. [Google Scholar] [CrossRef]
- Li, H.; Zhang, Y.; Wu, L.; Jin, Y.; Gong, Y.; Li, A.; Li, J.; Li, F. Recycled aggregates from construction and demolition waste as wetland substrates for pollutant removal. J. Clean. Prod. 2021, 311, 127766. [Google Scholar] [CrossRef]
- Patyal, V.; Jaspal, D.; Khare, K. Evaluation of composite matrix in constructed wetland for phosphorus removal. Bioresour. Technol. Rep. 2024, 26, 101870. [Google Scholar] [CrossRef]
- Worch, E. (Ed.) Adsorption Technology in Water Treatment; De Gruyter: Berlin, Germany, 2021; ISBN 9783110715507. [Google Scholar]
- Xu, D.; Xu, J.; Wu, J.; Muhammad, A. Studies on the phosphorus sorption capacity of substrates used in constructed wetland systems. Chemosphere 2006, 63, 344–352. [Google Scholar] [CrossRef]
- Li, W.; Zeng, L.; Kang, Y.; Zhang, Q.; Luo, J.; Guo, X. A solid waste, crashed autoclaved aerated concrete, as a crystalline nucleus for the removal of low concentration of phosphate. Desalination Water Treat. 2016, 57, 14169–14177. [Google Scholar] [CrossRef]
- Genetie Abetu, A.; Befekadu Kebede, A. Crushed Concrete as Adsorptive Material for Removal of Phosphate Ions from Aqueous Solutions. Water Conserv. Manag. 2020, 5, 58–64. [Google Scholar] [CrossRef]
- Deng, Y.; Wheatley, A. Mechanisms of Phosphorus Removal by Recycled Crushed Concrete. Int. J. Environ. Res. Public Health 2018, 15, 357. [Google Scholar] [CrossRef]
- Kuhn, D.C.; Cabral, L.L.; Pereira, I.C.; Gonçalves, A.J.; Maciel, G.M.; Haminiuk, C.W.I.; Nagalli, A.; Passig, F.H.; Carvalho, K.Q.d. Development of aerated concrete waste/white cement composite for phosphate adsorption from aqueous solutions: Characterization and modeling studies. Chem. Eng. Process. Process Intensif. 2023, 184, 109284. [Google Scholar] [CrossRef]
- Seher, J.; Rübner, K.; Schnell, A.; Hahn, A.; Bruch, I.; Alewell, U.; Vöge, M.; Shafiei, K.; Schumann, S. Hydrothermalgranulate—Verwertungsmöglichkeit für Mauerwerkbruch; Sitzungsberichte der Leibniz-Sozietät der Wissenschaften zu Berlin: Berlin, Germany, 2023; pp. 79–94. Available online: https://leibnizsozietaet.de/wp-content/uploads/2023/12/01_SB158-0.pdf (accessed on 28 August 2025).
- Zhang, J.; Fu, W. Sponge effect of aerated concrete on phosphorus adsorption-desorption from agricultural drainage water in rainfall. Soil Water Res. 2020, 15, 220–227. [Google Scholar] [CrossRef]
- Scott, I.S.P.C.; Penn, C.J.; Huang, C. Development of a Regeneration Technique for Aluminum-Rich and Iron-Rich Phosphorus Sorption Materials. Water 2020, 12, 1784. [Google Scholar] [CrossRef]
- Zha, Z.; Ren, Y.; Wang, S.; Qian, Z.; Yang, L.; Cheng, P.; Han, Y.; Wang, M. Phosphate adsorption onto thermally dehydrated aluminate cement granules. RSC Adv. 2018, 8, 19326–19334. [Google Scholar] [CrossRef] [PubMed]
- Oguz, E.; Gurses, A.; Yalcin, M. Removal of Phosphate from Waste Waters by Adsorption. Water Air Soil Pollut. 2003, 148, 279–287. [Google Scholar] [CrossRef]
- Cheng, G.; Li, Q.; Su, Z.; Sheng, S.; Fu, J. Preparation, optimization, and application of sustainable ceramsite substrate from coal fly ash/waterworks sludge/oyster shell for phosphorus immobilization in constructed wetlands. J. Clean. Prod. 2018, 175, 572–581. [Google Scholar] [CrossRef]
- White, S.A.; Taylor, M.D.; Albano, J.P.; Whitwell, T.; Klaine, S.J. Phosphorus retention in lab and field-scale subsurface-flow wetlands treating plant nursery runoff. Ecol. Eng. 2011, 37, 1968–1976. [Google Scholar] [CrossRef]
- Özacar, M. Contact time optimization of two-stage batch adsorber design using second-order kinetic model for the adsorption of phosphate onto alunite. J. Hazard. Mater. 2006, 137, 218–225. [Google Scholar] [CrossRef]
- Li, L.; Wang, W.; Jiang, Z.; Luo, A. Phosphate in Aqueous Solution Adsorbs on Limestone Surfaces and Promotes Dissolution. Water 2023, 15, 3230. [Google Scholar] [CrossRef]
- Rübner, K.; Prinz, C.; Adolphs, J.; Hempel, S.; Schnell, A. Microstructural characterisation of lightweight granules made from masonry rubble. Microporous Mesoporous Mater. 2015, 209, 113–121. [Google Scholar] [CrossRef]
- DWA. 36. Leistungsnachweis Kommunaler Kläranlagen: Auswirkung der Neuen EU-Kommunalabwasserrichtlinie (KARL) Auf Die Erforderliche Nährstoffelimination. 2024. Available online: https://de.dwa.de/files/_media/content/06_SERVICE/ZahlenFaktenUmfragen/Leistungsnachweis/leistungsnachweis-2024.pdf (accessed on 28 August 2025).
- Bier, A.W. pH Measurement in Low-ionic Strength (Pure) Samples. 2009. Available online: https://cdn.hach.com/7FYZVWYB/at/r6tzhzjkgh6pwjkgthjnvs4/LIT2073.pdf (accessed on 15 April 2025).
- Jüptner, G. 111 Rechenübungen zum Gebiet Chemische Technologie; Springer Spektrum: Berlin/Heidelberg, Germay, 2020; ISBN 9783662611173. [Google Scholar]
- Scholz, F.; Kahlert, H. Chemische Gleichgewichte in der Analytischen Chemie; Springer: Berlin/Heidelberg, Germany, 2020; ISBN 978-3-662-61106-7. [Google Scholar]
- Lagergren, S. About the Theory of So-Called Adsorption of Soluble Substances. K. Sven. Vetenskapsakademiens Handl. 1898, 24, 1–39. [Google Scholar]
- Wang, J.; Guo, X. Adsorption kinetic models: Physical meanings, applications, and solving methods. J. Hazard. Mater. 2020, 390, 122156. [Google Scholar] [CrossRef] [PubMed]
- Ho, Y.S.; Wase, D.; Forster, C.F. Removal of lead ions from aqueous solution using sphagnum moss peat as adsorbent. Water SA 1996, 22, 219–224. [Google Scholar]
- Weber, W.J.; Morris, J.H. Kinetics of adsorption on carbon from solution. J. Sanit. Eng. Div. 1963, 89, 31–59. [Google Scholar] [CrossRef]
- Elovich, S.Y.; Larionov, O.G. Theory of adsorption from nonelectrolyte solutions on solid adsorbents: 1. Simplified analysis of the equation of the adsorption isotherm from solutions. Russ. Chem. Bull. 1962, 11, 191–197. [Google Scholar] [CrossRef]
- Brandani, S. Kinetics of liquid phase batch adsorption experiments. Adsorption 2021, 27, 353–368. [Google Scholar] [CrossRef]
- Marquardt, D.W. An Algorithm for Least-Squares Estimation of Nonlinear Parameters. J. Soc. Ind. Appl. Math. 1963, 11, 431–441. [Google Scholar] [CrossRef]
- Levenberg, K. A method for the solution of certain non-linear problems in least squares. Quart. Appl. Math. 1944, 2, 164–168. [Google Scholar] [CrossRef]
- Alewell, C.; Huang, J.-H.; McLaren, T.I.; Huber, L.; Bünemann, E.K. Phosphorus retention in constructed wetlands enhanced by zeolite- and clinopyroxene-dominated lava sand. Hydrol. Process. 2021, 35, 2. [Google Scholar] [CrossRef]
- Song, Y.; Weidler, P.G.; Berg, U.; Nüesch, R.; Donnert, D. Calcite-seeded crystallization of calcium phosphate for phosphorus recovery. Chemosphere 2006, 63, 236–243. [Google Scholar] [CrossRef]
- Li, C.; Yu, Y.; Li, Q.; Zhong, H.; Wang, S. Kinetics and equilibrium studies of phosphate removal from aqueous solution by calcium silicate hydrate synthesized from electrolytic manganese residue. Adsorpt. Sci. Technol. 2019, 37, 547–565. [Google Scholar] [CrossRef]
- Ernest, T.R. Sand-Lime Brick. Ph.D. Thesis, University of Illinois, Urbana, IL, USA, 1910. [Google Scholar]
- Wang, X.; Xu, K.; Li, Y.; Guo, S. Dissolution and leaching mechanisms of calcium ions in cement based materials. Constr. Build. Mater. 2018, 180, 103–108. [Google Scholar] [CrossRef]
- Okano, K.; Uemoto, M.; Kagami, J.; Miura, K.; Aketo, T.; Toda, M.; Honda, K.; Ohtake, H. Novel technique for phosphorus recovery from aqueous solutions using amorphous calcium silicate hydrates (A-CSHs). Water Res. 2013, 47, 2251–2259. [Google Scholar] [CrossRef] [PubMed]
- Lee, C.-G.; Alvarez, P.J.J.; Kim, H.-G.; Jeong, S.; Lee, S.; Lee, K.B.; Lee, S.-H.; Choi, J.-W. Phosphorous recovery from sewage sludge using calcium silicate hydrates. Chemosphere 2018, 193, 1087–1093. [Google Scholar] [CrossRef] [PubMed]
- Berg, U.; Donnert, D.; Weidler, P.G.; Kaschka, E.; Knoll, G.; Nüesch, R. Phosphorus removal and recovery from wastewater by tobermorite-seeded crystallisation of calcium phosphate. Water Sci. Technol. 2006, 53, 131–138. [Google Scholar] [CrossRef] [PubMed]
- Ehbrecht, A.; Ritter, H.-J.; Schmidt, S.-O.; Schönauer, S.; Schuhmann, R.; Weber, N. Entwicklung Eines Kombinierten Kristallisationsverfahrens zur Gewinnung von Phosphatdünger aus dem Abwasserreinigungsprozess mit Vollständiger Verwertung der Restphasen in der Zementindustrie. Abschlussbericht AiF-Nr. 17899 N. 2016. Available online: https://fg-kalk-moertel.de/files/02_2016_Forschungsbericht_Phosphatrecycling.pdf (accessed on 5 September 2024).
- Zhang, Z.; Wang, X.; Zhao, J. Phosphate recovery from wastewater using calcium silicate hydrate (C-S-H): Sonochemical synthesis and properties. Environ. Sci. Water Res. Technol. 2019, 5, 131–139. [Google Scholar] [CrossRef]
- Hsu, P.H. Precipitation of phosphate from solution using aluminium salt. Water Res. 1975, 9, 1155–1161. [Google Scholar] [CrossRef]
- Morris, J.H.; Perkins, P.G.; Rose, A.E.A.; Smith, W.E. The Chemistry and Binding Properties of Aluminium Phosphates. Chem. Soc. Rev. 1977, 6, 173–194. [Google Scholar] [CrossRef]





| Material | Particle Size | Phosphate Source | Start Conc. c0 | Adjustment of pH of Start Solution | T | Volume of Batch | Mass of Material | Exp. Duration | Ref. |
|---|---|---|---|---|---|---|---|---|---|
| mm | - | mg/L P | - | °C | L | g | - | ||
| Pre-activated red ceramic | 0.3–6.3 | KH2PO4; KCl | 57 * | no | n.d. | 0.045 | 3 | 96 h | [11] |
| Aerated concrete | Blocks: 13.8 × 13.8 × 10 cm3 | n.d. | 1–3 | adjusted to 7 | n.d. | 3 | 300 | 120 h | [24] |
| Aerated concrete | 0.063–2 | KH2PO4 | 100 | various | 20; 55 | 0.05 | n.d. | 1 h | [27] |
| Ceramsite | 6–8 | KH2PO4 | 50 | adjusted to 7 | 30 | 0.05 | 1 | 24 h | [28] |
| Calcined Clay | 0.8–4.78; 0.25–0.85 | KH2PO4; KCl | 500 | no | ca. 25 | 0.045 | 2 | 192 h | [29] |
| Brick | 0.8–4.57 | KH2PO4; KCl | 250 | no | ca. 25 | 0.045 | 2 | 192 h | [29] |
| Calcinated alunite | 0.09–0.15 | K2HPO4 | 25–150 | adjusted to 5 | ca. 25 | 1 | 1 | 2 h | [30] |
| Limestone | <0.1 | KH2PO4 | 2; 100 | no | ca. 23 | 0.05 | 1 | 12 d | [31] |
| Material | Abbreviation | Type | Grain Size | BET Surface Area | BET Surface Area After Grinding to <0.1 mm | Moisture Content of Material <0.1 mm |
|---|---|---|---|---|---|---|
| Lava sand I | LVI | Lava sand | 0–2 mm | 39 | 27 | 1.3% |
| Lava sand II | LVII | Lava sand | 0–4 mm | 55 | 43 | 1.6% |
| Expanded sand | ExS | Expanded sand | 0–2 mm | 1 | 1 | 0.4% |
| Autoclaved aerated concrete | AAC | Construction waste | 0.5–2 mm | 48 | 38 | 2.4% |
| Hydrothermal granules | HTG | Hydrothermal granules | 0.5–2 mm | 27 | 24 | 2.8% |
| Sand–lime brick | SLB | Construction waste | 0.5–2 mm | 13 | 12 | 0.9% |
| Sampling n | Sampling Time t in Hours | Time Slot Start in Hours | Time Slot End in Hours | |
|---|---|---|---|---|
| 0 | 0 | |||
| 1 | 0.5 | 0 | - | 0.5 |
| 2 | 1 | 0.5 | - | 1 |
| 3 | 2 | 1 | - | 2 |
| 4 | 4 | 2 | - | 4 |
| 5 | 8 | 4 | - | 8 |
| 6 | 24 | 8 | - | 24 |
| 7 | 48 | 24 | - | 48 |
| 8 | 72 | 48 | - | 72 |
| Material Quantity in g | Volume in L | c0 in mg/L | SPP in mg/g | |
|---|---|---|---|---|
| LVI | 1.0 | 0.05 | 1 | 0.05 |
| LVII | 0.5 | 0.05 | 1 | 0.10 |
| ExS | 0.3 | 0.05 | 1 | 0.17 |
| AAC | 0.15 | 0.5 | 2 | 6.67 |
| HTG | 0.15 | 0.25 | 1 | 1.68 |
| SLB | 0.2 | 0.1 | 1 | 0.51 |
| Pseudo-First-Order (PFO) | Pseudo-Second-Order (PSO) | Intraparticle Diffusion (IPD) | Elovich | |||||
|---|---|---|---|---|---|---|---|---|
| R2 | R2 adj. | R2 | R2 adj. | R2 | R2 adj. | R2 | R2 adj. | |
| ExS | 87.26% | 85.66% | 95.17% | 94.57% | 60.39% | 60.39% | 97.82% | 97.82% |
| LVI | 86.52% | 84.60% | 94.67% | 93.91% | 76.25% | 72.85% | 99.94% | 99.93% |
| LVII | 87.16% | 85.33% | 94.05% | 93.20% | 59.63% | 53.86% | 99.67% | 99.62% |
| AAC | 96.14% | 95.37% | 96.27% | 95.52% | 95.54% | 94.65% | 96.44% | 95.72% |
| AAC—adapted * | 99.54% | 99.42% | 99.80% | 99.75% | 99.40% | 99.25% | 99.89% | 99.86% |
| HTG | 80.45% | 77.65% | 87.90% | 86.18% | 95.48% | 94.84% | 95.47% | 94.82% |
| SLB | 88.29% | 86.33% | 92.12% | 90.81% | 98.52% | 98.27% | 95.64% | 94.91% |
| Material | Contact Time for Adsorption Isotherm Experiment |
|---|---|
| LVI | 48 h |
| LVII | 48 h |
| ExS | 24 h |
| AAC | 24 h |
| HTG | 48 h |
| SLB | 48 h |
Disclaimer/Publisher’s Note: The statements, opinions and data contained in all publications are solely those of the individual author(s) and contributor(s) and not of MDPI and/or the editor(s). MDPI and/or the editor(s) disclaim responsibility for any injury to people or property resulting from any ideas, methods, instructions or products referred to in the content. |
© 2025 by the authors. Licensee MDPI, Basel, Switzerland. This article is an open access article distributed under the terms and conditions of the Creative Commons Attribution (CC BY) license (https://creativecommons.org/licenses/by/4.0/).
Share and Cite
Hilgenfeldt, V.; Rübner, K.; Hahn, A.; Steinmetz, H. Methodology for Assessing Phosphorus Adsorption Kinetics in Novel Constructed Wetland Materials. Purification 2025, 1, 7. https://doi.org/10.3390/purification1020007
Hilgenfeldt V, Rübner K, Hahn A, Steinmetz H. Methodology for Assessing Phosphorus Adsorption Kinetics in Novel Constructed Wetland Materials. Purification. 2025; 1(2):7. https://doi.org/10.3390/purification1020007
Chicago/Turabian StyleHilgenfeldt, Verena, Katrin Rübner, Andreas Hahn, and Heidrun Steinmetz. 2025. "Methodology for Assessing Phosphorus Adsorption Kinetics in Novel Constructed Wetland Materials" Purification 1, no. 2: 7. https://doi.org/10.3390/purification1020007
APA StyleHilgenfeldt, V., Rübner, K., Hahn, A., & Steinmetz, H. (2025). Methodology for Assessing Phosphorus Adsorption Kinetics in Novel Constructed Wetland Materials. Purification, 1(2), 7. https://doi.org/10.3390/purification1020007

