Correlation Development for Para-to-Ortho Hydrogen Catalytic Conversion in Vapor-Cooled Shields of Hydrogen Tanks
Abstract
1. Introduction
2. Model Development
3. Results and Discussion
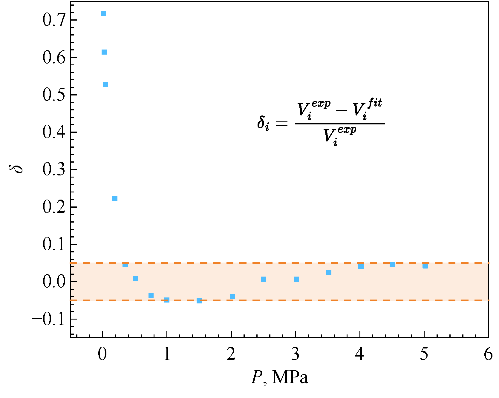
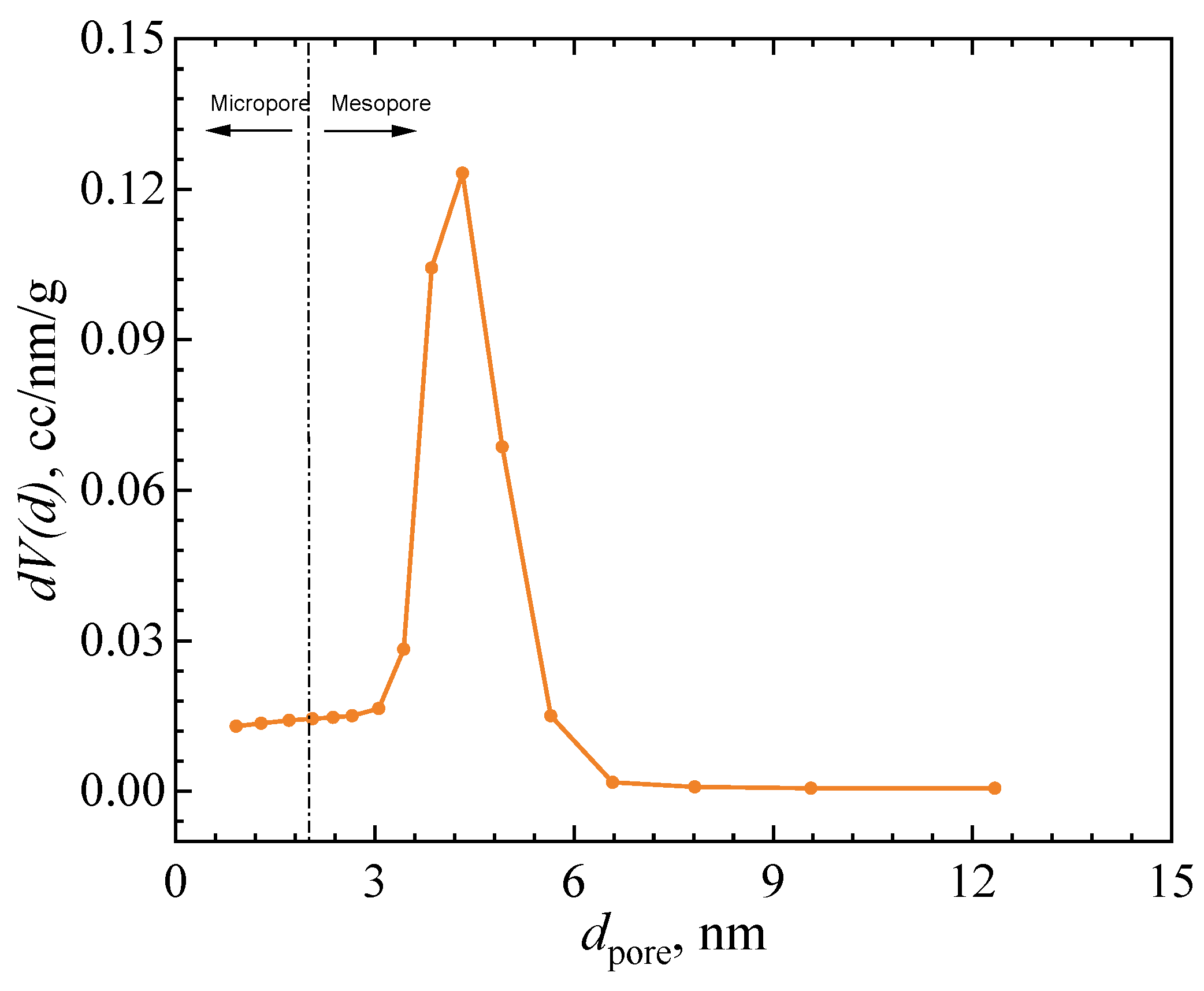
3.1. Validation of Isothermal Hydrogen Adsorption
3.2. Influence of the Flow Rate on the Conversion Efficiency
3.3. Influence of the Temperature and Pressure on the Conversion Efficiency
4. Conclusions
Author Contributions
Funding
Data Availability Statement
Conflicts of Interest
References
- Simonini, A.; Dreyer, M.; Urbano, A.; Sanfedino, F.; Himeno, T.; Behruzi, P.; Avila, M.; Pinho, J.; Peveroni, L.; Gouriet, J.-B. Cryogenic propellant management in space: Open challenges and perspectives. npj Microgravity 2024, 10, 34. [Google Scholar] [CrossRef] [PubMed]
- Zhang, T.; Uratani, J.; Huang, Y.; Xu, L.; Griffiths, S.; Ding, Y. Hydrogen liquefaction and storage: Recent progress and perspectives. Renew. Sustain. Energy Rev. 2023, 176, 113204. [Google Scholar] [CrossRef]
- Morales-Ospino, R.; Celzard, A.; Fierro, V. Strategies to recover and minimize boil-off losses during liquid hydrogen storage. Renew. Sustain. Energy Rev. 2023, 182, 113360. [Google Scholar] [CrossRef]
- Jiang, W.B.; Yang, Z.H.; Zuo, Z.Q.; Sun, P.J.; Li, P.; Huang, Y.H. Experimental investigation on combination of vapor cooled shield (VCS) and multilayer insulation (MLI) for cryogenic application. IOP Conf. Ser. Mater. Sci. Eng. 2020, 755, 012153. [Google Scholar] [CrossRef]
- Jiang, W.; Yang, Y.; Hu, C.; Li, P.; Sun, P.; Huang, Y. Experimental study on composite insulation with foam, multilayer and vapor cooled shield for cryogen storage under different vacuum conditions. Cryogenics 2023, 129, 103604. [Google Scholar] [CrossRef]
- Jiang, W.; Sun, P.; Li, P.; Zuo, Z.; Huang, Y. Transient thermal behavior of multi-layer insulation coupled with vapor cooled shield used for liquid hydrogen storage tank. Energy 2021, 231, 120859. [Google Scholar] [CrossRef]
- Zhou, Z.; Wu, J.; Zhang, S.; Gong, M.; Liu, X. Experimental Investigation on Pressure-Control Characteristics of Liquid Hydrogen Tank Based on Active and Passive Thermodynamic Venting System Technology. Processes 2023, 11, 1831. [Google Scholar] [CrossRef]
- Zhang, W.; Zhang, H.; Wang, B.; Jiang, W.; Miao, R.; Huang, Y. Liquefaction and filling of liquid methane and oxygen bipropellant in a common bulkhead tank equipped with a zero boil-off system. Cryogenics 2024, 143, 103943. [Google Scholar] [CrossRef]
- Jiang, W.B.; Zuo, Z.Q.; Huang, Y.H.; Wang, B.; Sun, P.J.; Li, P. Coupling optimization of composite insulation and vapor-cooled shield for on-orbit cryogenic storage tank. Cryogenics 2018, 96, 90–98. [Google Scholar] [CrossRef]
- Stewart, A.T.; Squires, G.L. Analysis of ortho- and para-hydrogen mixtures by the thermal conductivity method. J. Sci. Instrum. 1955, 32, 26. [Google Scholar] [CrossRef]
- Xu, Z.; Tan, H.; Wu, H. Performance comparison of multilayer insulation coupled with vapor cooled shield and different para-ortho hydrogen conversion types. Appl. Therm. Eng. 2023, 234, 121250. [Google Scholar] [CrossRef]
- Milenko, Y.Y.; Sibileva, R.M.; Strzhemechny, M.A. Natural ortho-para conversion rate in liquid and gaseous hydrogen. J. Low Temp. Phys. 1997, 107, 77–92. [Google Scholar] [CrossRef]
- Wigner, E.P. Über die paramagnetische Umwandlung von Para-Orthowasserstoff. III. In Part I: Physical Chemistry. Part II: Solid State Physics; Wightman, A.S., Ed.; Springer: Berlin/Heidelberg, Germany, 1997; pp. 126–130. ISBN 978-3-642-59033-7. [Google Scholar]
- Hutchinson, H.L.; Barrick, P.L.; Brown, L.F. Experimental Study of Reaction Kinetics for Para-Orthohydrogen at 20° to 80°K. In Advances in Cryogenic Engineering; Timmerhaus, K.D., Ed.; Springer: Boston, MA, USA, 1965; pp. 190–196. [Google Scholar]
- Petitpas, G.; Aceves, S.M.; Matthews, M.J.; Smith, J.R. Para-H2 to ortho-H2 conversion in a full-scale automotive cryogenic pressurized hydrogen storage up to 345 bar. Int. J. Hydrogen Energy 2014, 39, 6533–6547. [Google Scholar] [CrossRef]
- Meng, C.; Zhang, J.; Zhang, W.; Zheng, Z.; Huang, Y. Measurement of component concentration and conversion rate from parahydrogen to orthohydrogen in a catalytic converter. Int. J. Hydrogen Energy 2025, 97, 970–980. [Google Scholar] [CrossRef]
- Petzinger, K.G.; Scalapino, D.J. Para- to Ortho-Hydrogen Conversion on Magnetic Surfaces. Phys. Rev. B 1973, 8, 266–279. [Google Scholar] [CrossRef]
- Harrison, L.G.; McDowell, C.A.; Bawn, C.E.H. The catalysis of the para-hydrogen conversion by the solid free radical αα-diphenyl-β-picryl hydrazyl. Proc. R. Soc. London. Ser. A Math. Phys. Sci. 1997, 220, 77–90. [Google Scholar] [CrossRef]
- Ishii, Y. Theory of non-dissociative ortho-para conversion on magnetic surfaces. Prog. Surf. Sci. 1986, 21, 163–208. [Google Scholar] [CrossRef]
- Meng, C.; Qin, X.; Jiang, W.; Pu, L.; Liu, W.; Huang, Y. Cooling effect analysis on para-ortho hydrogen conversion coupled in vapor-cooled shield. Int. J. Hydrog. Energy 2023, 48, 15600–15611. [Google Scholar] [CrossRef]
- Lv, H.; Zhang, Z.; Chen, L.; Zhang, Z.; Chen, S.; Hou, Y. Thermodynamic analysis of vapor-cooled shield with para-to-ortho hydrogen conversion in composite multilayer insulation structure for liquid hydrogen tank. Int. J. Hydrogen Energy 2024, 50, 1448–1462. [Google Scholar] [CrossRef]
- Hutchinson, H.L.; Brown, L.F.; Barrick, P.L. A comparison of rate expressions for the low-temperature para-orthohydrogen shift. In Advances in Cryogenic Engineering; Timmerhaus, K.D., Ed.; Springer: Boston, MA, USA, 1971; pp. 96–103. ISBN 978-1-4757-0244-6. [Google Scholar]
- Hutchinson, H.L. Analysis of Catalytic Ortho-Parahydrogen Reaction Mechanisms; University of Colorado: Boulder, CO, USA, 1966. [Google Scholar]
- Wilhelmsen, Ø.; Berstad, D.; Aasen, A.; Nekså, P.; Skaugen, G. Reducing the exergy destruction in the cryogenic heat exchangers of hydrogen liquefaction processes. Int. J. Hydrogen Energy 2018, 43, 5033–5047. [Google Scholar] [CrossRef]
- Karlsson, E. Catalytic Ortho- to Parahydrogen Conversion in Liquid Hydrogen. Master’s Thesis, Lund University, Lund, Sweden, 2017. [Google Scholar]
- Thommes, M.; Kaneko, K.; Neimark, A.V.; Olivier, J.P.; Rodriguez-Reinoso, F.; Rouquerol, J.; Sing, K.S.W. Physisorption of gases, with special reference to the evaluation of surface area and pore size distribution (IUPAC Technical Report). Pure Appl. Chem. 2015, 87, 1051–1069. [Google Scholar] [CrossRef]
- Pang, J.; Hampsey, J.E.; Wu, Z.; Hu, Q.; Lu, Y. Hydrogen adsorption in mesoporous carbons. Appl. Phys. Lett. 2004, 85, 4887–4889. [Google Scholar] [CrossRef]
- Murialdo, M.; Weadock, N.J.; Liu, Y.; Ahn, C.C.; Baker, S.E.; Landskron, K.; Fultz, B. High-pressure hydrogen adsorption on a porous electron-rich covalent organonitridic framework. ACS Omega 2019, 4, 444–448. [Google Scholar] [CrossRef]
- Nast, T.C. Investigation of a Para-Ortho Hydrogen Reactor for Application to Spacecraft Sensor Cooling; Lockheed Missiles and Space Company: Palo Alto, CA, USA, 1983. [Google Scholar]







| a | b | c |
|---|---|---|
| a0 = 0.699275 | b0 = 28655.1 | c0 = −2.18359 |
| a1 = 0.198916 | b1 = −12443.8 | c1 = 2.44477 |
| a2 = 1.23312 | b2 = −7189.99 | c2 = −7.92667 |
| a3 = −0.0199750 | b3 = 1430.80 | c3 = −0.138070 |
| a4 = −1.35488 | b4 = 11173.9 | c4 = 10.4418 |
| a5 = −0.053015 | b5 = 9.18711 | c5 = 0.0330730 |
Disclaimer/Publisher’s Note: The statements, opinions and data contained in all publications are solely those of the individual author(s) and contributor(s) and not of MDPI and/or the editor(s). MDPI and/or the editor(s) disclaim responsibility for any injury to people or property resulting from any ideas, methods, instructions or products referred to in the content. |
© 2025 by the authors. Licensee MDPI, Basel, Switzerland. This article is an open access article distributed under the terms and conditions of the Creative Commons Attribution (CC BY) license (https://creativecommons.org/licenses/by/4.0/).
Share and Cite
Zhao, Y.; Meng, C.; Huang, Y. Correlation Development for Para-to-Ortho Hydrogen Catalytic Conversion in Vapor-Cooled Shields of Hydrogen Tanks. Cryo 2025, 1, 14. https://doi.org/10.3390/cryo1040014
Zhao Y, Meng C, Huang Y. Correlation Development for Para-to-Ortho Hydrogen Catalytic Conversion in Vapor-Cooled Shields of Hydrogen Tanks. Cryo. 2025; 1(4):14. https://doi.org/10.3390/cryo1040014
Chicago/Turabian StyleZhao, Yiqi, Chuiju Meng, and Yonghua Huang. 2025. "Correlation Development for Para-to-Ortho Hydrogen Catalytic Conversion in Vapor-Cooled Shields of Hydrogen Tanks" Cryo 1, no. 4: 14. https://doi.org/10.3390/cryo1040014
APA StyleZhao, Y., Meng, C., & Huang, Y. (2025). Correlation Development for Para-to-Ortho Hydrogen Catalytic Conversion in Vapor-Cooled Shields of Hydrogen Tanks. Cryo, 1(4), 14. https://doi.org/10.3390/cryo1040014

