Effects of the COVID-19 Pandemic on Early Childhood Development and Mental Health: A Systematic Review and Meta-Analysis of Comparative Studies
Abstract
1. Introduction
2. Materials and Methods
2.1. Search Strategy
2.2. Selection Criteria
2.3. Data Extraction
2.4. Study Quality
2.5. Statistical Data Analyses
3. Results
3.1. Study Characteristics
3.2. Changes in Strengths and Difficulties Questionnaire (SDQ)
3.3. Changes in Ages and Stages Questionnaire (ASQ-3)
3.4. Changes in the Child Behavior Checklist (CBCL)
3.5. Individual Study Findings (Not Eligible for Quantitative Meta-Analyses)
4. Discussion
5. Conclusions
Supplementary Materials
Author Contributions
Funding
Institutional Review Board Statement
Informed Consent Statement
Data Availability Statement
Conflicts of Interest
Appendix A
- “Child, Preschool”.mh. or Preschool*.mp. or pre-school*.mp. or infant*.mp. or baby.mp. or babies.mp. or toddler.mp. or toddlers.mp. or “school aged”.mp. or “early child*”.mp. or “early age*”.mp. or “early life”.mp. or “elementary school*”.mp. or exp Preschool Students/OR exp Nursery school students/OR exp kindergarten students/(342251)
- (“covid 19” or covid or covid19 or “ncov 2019” or “novel coronavirus” or “sars cov 2” or “sars cov-2” or “ncov 2019” or sarscov2 or “corona virus*” or “coronavirus disease 2019” or “coronavirus disease 19” or “2019 ncov” or 2019nCoV or “coronavirus 2”).mp. or “Coronavirus”.mh. or “SARS-CoV-2”.mh. or “COVID-19 Testing”.mh. or “COVID-19”.mh. or “COVID-19 Vaccines”.mh. or “Receptors, Coronavirus”.mh. or “Spike Glycoprotein, Coronavirus”.mh. or “SARS-CoV-2 variants”.mp. or pandemic.mp. or “social isolation”.mp. or quarantin*.mp. or lockdown*.mp. or “social distance”.mp. or exp COVID-19/or exp pandemics/or (wuhan and coronavirus*).mp. (49935)
- attachment.ti,ab. OR “attachment theor*”.mp. OR “life span theor*”.mp. OR “parent child synchrony”.mp. OR “parent child bonding*”.mp. OR “social bonding*”.mp. OR “maternal child bonding*”.mp. OR “mother child bonding*”.mp. OR “father child bonding*”.mp. OR “paternal child bonding*”.mp. OR ((father OR paternal OR mother OR maternal) ADJ4 bond*) OR “family relations”.mh. OR “socioeconomic advers*”.mp. OR adversit*.ti,ab. or exp attachment theory/or exp parent child relations/OR exp separation anxiety/OR exp domestic violence/OR (“child development” or “language development” or “child behavior” or “mental disorders” or “social behavior disorders” or “pediatric obesity” or “mental health” or “child health” or “psychology, child” or “stress, psychological” or “student dropouts” or learning or “underachievement” or “Stress Disorders, Traumatic”).mh. or (neurodevelop* or “psychosocial” or “adverse childhood experience*” or “early life trauma*” or “early life stress” or “domestic violence” or “Intimate Partner Violence”).mp. or exp Childhood Development/or exp Psychosexual Development/or exp Psychosocial Development/or exp Neonatal Development/or exp Intellectual Development/or exp Psychomotor Development/or exp Cognitive Development/or exp Psychological Development/or exp Early Childhood Development/or exp Emotional Development/or exp Infant Development/or exp Language Development/or exp Personality Development/or exp school dropouts/or exp Posttraumatic Stress Disorder/or exp Posttraumatic Stress/or exp “Stress and Trauma Related Disorders”/or exp Psychological Stress/or exp child health/or exp academic underachievement/or exp mental health/or exp mental disorders/or exp behavior disorders/or exp Childhood Adversity/or ((mental.ti,ab. or “motor skills”.mh. or “communication”.mp. or psycho*.ti,ab. or neuro*.ti,ab. or motor.ti,ab. or verbal.ti,ab. or cogniti*.ti,ab. or behavior*.ti,ab. or emotion*.ti,ab. or impact.ti,ab. or academic.mp.) and (development*.mp. or “long term”.ti,ab. or consequence.ti,ab. or sequel*.ti,ab. or “grow”.ti,ab. or growth.ti,ab. or disorder*.mp. or outcome*.ti,ab. or problem*.ti,ab.)) (2373046)
- english.lg. (4881748)
- 1 AND 2 AND 3 AND 4
- limit 5 to yr = “2018–2023”
Appendix B
| Reference (First Author, Year) | Country, Study Design | Sample Size (n) | Age Range | Clinical Context | Outcomes | Evaluation Methods | Main Findings | Conclusions | Study Quality |
|---|---|---|---|---|---|---|---|---|---|
| Laurie Miller, 2022 [48] | Nepal, Longitudinal study | 368 | 6–66 months | Low-income subsistence farmers in Nepal | ASQ-3 | Mixed-effects regression model | Total ASQ scores did not change. However, communication scores increased, while fine motor and personal–social skills decreased. | Increases in communication may have reflected more exposure to adult language. Decline in other domains may have been due to closure of preschools. | Good (11) |
| Elisa Di Giorgio, 2021 [49] | Italy, Retrospective cohort study | 245 | 2–6 years | Recruited via research websites and social media groups | SDQ | McNemar’s test, repeated-measures ANOVA, Tukey HSD test, Pearson correlations, multiple linear regression, Durbin–Watson test | Emotional symptoms, lack of discipline, and hyperactivity increased from pre-quarantine to during the quarantine. This increase in symptoms was also associated with changes in maternal sleep and stress. | The Italian lockdown and subsequent closure of schools and home confinement were challenging for mothers and their children. | Good (10) |
| Alessandra Frigerio, 2022 [50] | Italy, Longitudinal study | 74 | 1.5–5 years | Recruited from ongoing study | CBCL | Hierarchical linear models | Children’s emotional and behavioral problems increased from pre- to during lockdown. | COVID-19 lockdown negatively impacted children’s psychological well being. | Good (11) |
| Annie Imboden, 2021 [51] | US, Prospective cohort study | 1024 | 6–36 months | Two primary pediatric practices, one rural and one suburban | ASQ-3 | Mann–Whitney U test, Kruskal–Wallis test | There were no significant differences in pre- or post-pandemic total ASQ3 scores. When separated by age and domain, there was a decrease in communication scores in some age groups. | Given the decrease in communication scores, efforts should be directed in making face-to-face interactions safer. | Good (9) |
| Catherine Davies, 2021 [52] | UK, Prospective cohort study | 189 | 8–36 months | Recruited via research websites and social media groups | O-CDI, EEFQ | Structural equation modeling, multiple linear regression analyses | Language and executive function for children from low SES were disproportionately affected by lockdown due to low ECEC access. | During lockdown, ECECs should be kept open, especially to those populations that are less advantaged. | Good (11) |
| Ina Specht, 2021 [53] | Denmark, Prospective cohort study | 40 | 2–4 years | Randomly selected parents from 3 kindergartens | SDQ | Paired t test, general linear models | Increase in total score, hyperactivity, prosocial behavior, and externalizing behavior. | Tendency towards adverse consequences in child emotional–behavioral function in relation to home confinement. | Good (10) |
| Caroline Fitzpatrick, 2022 [54] | Canada, Longitudinal study | 316 | 3–5 years | Recruited in multiple settings | Children’s Behavior Questionnaire–Short form | Cross-lagged panel model | Higher levels of screen time during the pandemic are associated with lower levels of effortful control. | In the context of increasing media use during the pandemic, parents should be encouraged to engage in play and establish a family media plan. | Good (9) |
| Chiara Cantiani, 2021 [55] | Italy, Longitudinal study | 188 | 2–6 years | Recruited from general population | CBCL, | Independent-sample t test, Welch test, Pearson chi-squared | There was an increase in anxiety, depression, and externalizing problems during the COVID-19 pandemic across neurotypical children and those at high risk for neurodevelopmental delay. | The COVID-19 pandemic had a negative impact on the emotional and behavioral profiles of Italian preschoolers, irrespective of neurodevelopmental delay risk factors. | Good (11) |
| Keyser Kolcakoglu, 2021 [56] | Turkey, Prospective cohort study | 405 | 3–7 years | Snowball sampling via WhatsApp distribution | Spence Preschool Anxiety Scale | McNemar–Bowker test, one-sample t test analysis, post hoc Šídák pairwise comparison test | The total SPAS anxiety scores and emotional and behavioral changes were higher during COVID compared to pre-COVID. | Tantrums and crying attacks increased in children during Turkey’s curfew. | Good (9) |
| Xiuxiu Ding, 2022 [57] | China, Longitudinal study | 1595 | 3–6 years | Convenience sampling of children in preschools | SDQ | Pearson’s chi-squared test, paired-sample t test, multivariable linear regressions | Those who experienced severe impact of COVID-19 had more sleep problems, increased anxiety, and problematic behaviors. | The severe impact of COVID-19 increased the risk for anxiety symptoms and problematic behaviors in preschool children. | Good (13) |
| Kim Hyunshik, 2021 [58] | Japan, Longitudinal study | 301 | 3–5 years | Convenience sampling of childcare centers | SDQ | Paired t test | Prosocial behavior decreased and hyperactivity increased during the pandemic. Physical activity decreased and sedentary behavior increased. | The adverse effects of COVID-19 on mental health suggest the need for strategies to improve physical activity and prevent long-term health risks. | Good (9) |
| Avigail Gordon-Hacker, 2022 [59] | Israel, Prospective cohort study | 230 | 2–5 years | Recruited via online research platform | SDQ | MCAR test, multilevel models | Increase in maternal and child symptomatology during the lockdowns and a decrease at the end of lockdown. | Lockdowns had adverse effects on mothers and children. | Good (11 |
| Alicia Alonso-Martínez, 2021 [60] | Spain, Prospective cohort study | 268 | 4–6 years | Recruited from among preschoolers | CSBQ | Analysis of covariance, Shapiro–Wilk test, and Levene’s test | Preschoolers showed a significant increase in internalizing and externalizing problems during the lockdown. | Covid-19 negatively affected physical activity, sedentary behavior, sleep, and self regulation of preschoolers. | Good (10) |
| Anna Wenter, 2022 [61] | Austria, Italy, Retro- and prospective cohort study | 951 | 3–6 years | Schools in Tyrolean COVID hotspots | CBCL | Regression model, Bonferroni correlation, multilevel modeling | There was an increase in internalizing problems pre- and post-lockdown in preschool children. | Targeted support for vulnerable children may prevent the longer-term development of psychopathologies and contribute to psychosocial resilience in society. | Good (11) |
| Noa Gueron-Sela, 2023 [62] | Israel, Longitudinal study | 313 | 2–5 years | Recruited via online research platform | SDQ | MANOVA, Bayesian regression analyses | Children’s conduct and emotional problems increased from pre- to post-lockdown. Media use was positively correlated with emotional and conduct problems. | Media use may be meeting important needs for parents and children in the short term, and children’s behavior changes may return to more typical patterns. | Good (12) |
| Chen Huan Ma, 2022 [63] | China, Cross-sectional comparison | 2110 | 3–6 years | Cluster sampling method utilizing random selection from seven districts | SDQ | Chi-squared test, t test, logistic regression analyses | When compared to 2019, children experiencing the COVID lockdown had fewer emotional symptoms, but higher levels of conduct problems, total SDQ, peer problem scores, and prosocial behavior scores. | There was an increase in the frequency of emotional and behavioral problems, especially regarding conduct problems and peer problems, in preschool children during the lockdown. | Good (10) |
| Joseph Murray, 2023 [64] | Brazil, Prospective cohort study | 2083 | 1–4 years | Mothers recruited at birth as part of the Pelotas Birth Cohort Study | SDQ, | Dependent t tests, linear regression modeling | Child conduct problems and hyperactivity decreased. However, mean levels of emotional problems were similar before and during the pandemic. Children in families with lower income before the pandemic showed increases in all types of mental health problems during the pandemic. | The impact of the COVID-19 pandemic on mental health presented a mixed picture, but for families in poverty, material and interpersonal difficulties were associated with increases in mental health problems among children. | Good (12) |
| Manuela Gulde, 2022 [65] | Germany, Longitudinal study | 158 | 3–36 months | Mother–child dyads recruited from maternity unit | SDQ, | Multiple linear regressions | Harmful parental behavior also correlated significantly with lack of coping strategies, hyperactivity, emotional problems, and externalizing problems. | Maternal attachment and the associated coping skills and corresponding parental behavior significantly influenced children’s mental health during the pandemic. | Good (10) |
| Hiromichi Hagihara, 2022 [66] | Japan, Prospective cohort study | 253 | 0–6 years | Randomly selected from an online database | SDQ | Linear mixed modeling | Preschoolers seemed to exhibit more problematic social behaviors during lockdown, as opposed to when schools were open at T3. | Changes in children’s perceived proximity to others can negatively influence their social development and well-being, even if this is not serious enough to increase problematic behavior. | Good (9) |
| Eugenia Conti, 2020 [67] | Italy, Longitudinal study | 61 | 1.5–5 years | Recruited from a specialized hospital for care for neurologic and psychologic disorders | CBCL | T score comparison, multiple linear regression analyses | There was a significant worsening in somatic complaints and DSM-oriented anxiety in children under 5 years of age. Regression models did not show any specific patterns in effects of finances, hours of treatment prior, or age. | Younger children may be more sensitive to spillover stress from parents. Young children seemed less affected by financial hardship, age, and treatment prior to lockdown. | Good (10) |
| Stephanie Thompson, 2022 [68] | US, Longitudinal study | 147 | 6–36 months | Recruited from hospitals, clinics, and charitable agencies | CBCL | Repeated-measures ANOVA | Child internalizing and externalizing problems did not increase significantly on average pre- or during lockdown. | COVID-19 contextual hardships predicted changes in maternal mental health symptoms and child adjustment. | Good (12) |
| Eleonora Ferrari, 2022 [69] | Italy, Prospective cohort study | 104 | 3–36 months | Enrolled in a second-level university hospital | GSCD | Chi--squared, Mann–Whitney U test | 6-month-old infants showed worsening in the communication and personal–social domains from pre- to during COVID-19. GDS scrores downtrended during the pandemic in infants. | The severity of the restrictions negatively affects infants’ scores, as shown in the results of the linear regression: the more the degree of restriction increases, the more the GDS decreases. | Good (12) |
| Peiyuan Huang, 2021 [70] | China, Prospective cohort study | 2500 | 6–12 months | Recruited from medical center at time of birth | ASQ3 | Chi-squared test, log-binomial regression | Experiencing COVID-19 in 2020 was associated with a higher risk of neurodevelopmental delay in the fine motor and communication domains in 1-year-old children, while no associations are observed for those at 6 months of age. | The COVID-19 pandemic might potentially have a negative impact on child neurodevelopment in specific domains at specific ages, which raises concerns about the development of young children under the COVID-19 pandemic | Good (11) |
| Sumayya Saleem, 2022 [71] | Canada, Longitudinal study | 179 | 1–4 years | Recruited from City of Toronto subsidy waitlist | SDQ | Chi-squared test of independence, latent profile analyses with gamma distribution | Children with pre-existing high hyperactivity scores showed significant increases in emotional problems, while other groups showed stable or improving mental status. | A substantial proportion of children experienced improvements in mental health following the onset of the COVID-19 pandemic. | Good (11) |
| Stephanie Wermelinger, 2022 [72] | Switzerland, Cross-sectional study | 30 | 4–6 years | Recruited from database of the research unit at the University of Zurich | The Child Faces Task, Children’s Social Understanding Scale | Mixed model | The results of our study indicate no evidence for pandemic-related differences in social interactions in children’s emotion labeling. Children during the pandemic recognized fare better than children before the pandemic in adult faces. | The COVID-19 pandemic and the according changes in social interactions, such as meeting fewer people, or seeing more people wearing masks, do not substantially relate to preschoolers’ emotion labeling | Fair (7) |
| Karel Kostev, 2021 [73] | Germany, Retrospective cross-sectional study | 200,600 | 2–5 years | Medical record data from the Disease Analyzer database (IQVIA) | New anxiety/depression diagnoses | Chi-squared test | The number of children and adolescents with depression and anxiety diagnoses per practice increased in April 2020–December 2020 compared to the same period in 2019. Prevalence of depression and anxiety increased during the pandemic. | It is important to develop more targeted interventions to mitigate the negative impact of the pandemic on child and adolescent mental health. | Fair (7) |
| Emily Hanno, 2021 [74] | US, Longitudinal study | 2880 | 3–8 years | Data from the Early Learning Study at Harvard (ELS@H) | Behavior Assessment System for Children Behavioral and Emotional Screening System; BRIEF-P | Fixed-effect analyses | Mixed-effects analyses showed children’s externalizing, internalizing, and dysregulated behaviors increased after the shutdown, whereas children’s adaptive behaviors declined. | Children experienced declines in behavioral health and families experienced declines in well-being in the early months of the public health crisis, suggesting the need for family-focused and child-focused policies to mitigate these changes. | Good (10) |
| Seyma Çiçek, 2021 [75] | Turkey, Two-period descriptive study | 346 | 2–6 years | Children enrolled during admission to hospital setting | SDQ | Chi-squared test, independent-sample t test | Total ERC and Emotion Regulation Subscale scores were significantly higher and Lability–Negativity Subscale scores, conduct problems, peer relationship problems, internalizing scores, and total SDQ scores were significantly lower in the pandemic period group than in the pre-pandemic group | ERC and peer relationship problems were lower during the pandemic, regardless of maternal occupation status. The interaction between the pandemic period and the mother’s working status was detected in the prosocial behavior internalization and total difficulties scale. | Good (9) |
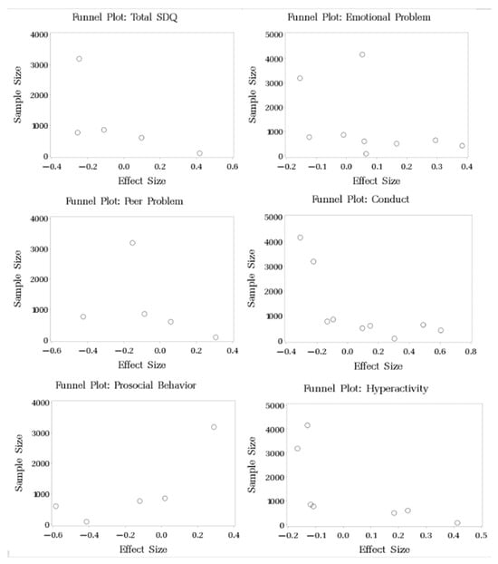
| Egger Regression | Begg Rank Correlation | Funnel Plot Regression | Publication Bias Present | ||||||
|---|---|---|---|---|---|---|---|---|---|
| Subscale | t Statistic | p Value | t Statistic | p Value | t Statistic | p Value | Left Tail | Right Tail | Both Tails |
| Emotional Problem | 0.747 | 0.479 | −2.502 | 0.012 | −1.245 | 0.253 | No | No | No |
| Peer Problem | 1.609 | 0.206 | −1.445 | 0.148 | −0.609 | 0.586 | No | No | No |
| Conduct | 1.289 | 0.239 | −3.335 | 0.001 | −2.172 | 0.066 | No | No | No |
| Hyperactivity | 2.31 | 0.069 | −3.224 | 0.001 | −1.989 | 0.103 | No | No | No |
| Prosocial Behavior | −0.882 | 0.443 | −2.119 | 0.01 | 1.494 | 0.232 | No | No | No |
| Total SDQ | 2.111 | 0.125 | −2.779 | 0.01 | −1.499 | 0.231 | No | No | No |

| Subscale | χ2 Homogeneity Test | p-Value | Between-Study Variance |
|---|---|---|---|
| Emotional | 56.817 | <0.0001 | 0.027 |
| Peer Problem | 25.289 | <0.0001 | 0.026 |
| Conduct | 171.196 | <0.0001 | 0.078 |
| Hyperactivity | 35.644 | <0.0001 | 0.017 |
| Prosocial Behavior | 109.692 | <0.0001 | 0.13 |
| Total SDQ | 24.003 | 0.0001 | 0.024 |
| Egger Regression | Begg Rank Correlation | Funnel Plot Regression | Publication Bias Present | ||||||
|---|---|---|---|---|---|---|---|---|---|
| Subscale | t Statistic | p Value | t Statistic | p Value | t Statistic | p Value | Left Tail | Right Tail | Both Tails |
| Communication | 1.666 | 0.344 | −0.439 | 0.661 | −1.149 | 0.456 | No | No | No |
| Gross Motor | 1.613 | 0.353 | 5 | <0.0001 | −1.247 | 0.43 | No | No | No |
| Fine Motor | −1.535 | 0.368 | 5 | <0.0001 | 1.4 | 0.395 | No | No | No |
| Personal–Social | −1.503 | 0.374 | 6 | <0.0002 | 1.344 | 0.407 | No | No | No |
| Problem-Solving | n/a | n/a | n/a | n/a | n/a | n/a | n/a | n/a | n/a |
| Total | n/a | n/a | n/a | n/a | n/a | n/a | n/a | n/a | n/a |

| Subscale | χ2 Homogeneity Test | p-Value | Between-Study Variance |
|---|---|---|---|
| Communication | 38.186 | <0.0001 | 0.092 |
| Gross Motor | 17.452 | 0.0002 | 0.039 |
| Fine Motor | 37.272 | 0.3676 | 0.089 |
| Personal–Social | 9.832 | 0.007 | 0.02 |
| Problem-Solving | 1.074 | 0.3 | 0.0005 |
| Total | 0.111 | 0.739 | 0 |
| Egger Regression | Begg Rank Correlation | Funnel Plot Regression | Publication Bias Present | ||||||
|---|---|---|---|---|---|---|---|---|---|
| Subscale | t Statistic | p Value | t Statistic | p Value | t Statistic | p Value | Left Tail | Right Tail | Both Tails |
| Emotionally reactive | n/a | n/a | n/a | n/a | n/a | n/a | n/a | n/a | n/a |
| Anxious/Depressed | n/a | n/a | n/a | n/a | n/a | n/a | n/a | n/a | n/a |
| Somatic complaints | n/a | n/a | n/a | n/a | n/a | n/a | n/a | n/a | n/a |
| Withdrawn | n/a | n/a | n/a | n/a | n/a | n/a | n/a | n/a | n/a |
| Sleep problems | n/a | n/a | n/a | n/a | n/a | n/a | n/a | n/a | n/a |
| Attention problems | n/a | n/a | n/a | n/a | n/a | n/a | n/a | n/a | n/a |
| Aggressive behavior | 1.235 | 0.433 | 5 | 0 | −1.22 | 0.437 | No | No | No |
| Internalizing problems | −1 | 0.5 | 0.439 | 0.661 | 1.201 | 0.442 | No | No | No |
| Externalizing problems | n/a | n/a | n/a | n/a | n/a | n/a | n/a | n/a | n/a |

| Subscale | χ2 Homogeneity Test | p-Value | Between-Study Variance |
|---|---|---|---|
| Emotionally reactive | 0.068 | 0.794 | 0 |
| Anxious/Depressed | 0.072 | 0.789 | 0 |
| Somatic complaints | 1.857 | 0.173 | 0.03 |
| Withdrawn | 0.904 | 0.342 | 0 |
| Sleep problems | 0.16 | 0.689 | 0 |
| Attention problems | 0.719 | 0.4 | 0 |
| Aggressive behavior | 7.36 | 0.025 | 0.048 |
| Internalizing problems | 1.463 | 0.481 | 0 |
| Externalizing problems | 2.127 | 0.145 | 0.026 |
References
- Pfefferbaum, B. Challenges for Child Mental Health Raised by School Closure and Home Confinement During the COVID-19 Pandemic. Curr. Psychiatry Rep. 2021, 23, 65. [Google Scholar] [CrossRef] [PubMed]
- Rajmil, L.; Hjern, A.; Boran, P.; Gunnlaugsson, G.; de Camargo, O.K.; Raman, S. Impact of Lockdown and School Closure on Children’s Health and Well-Being During the First Wave of COVID-19: A Narrative Review. BMJ Paediatr. Open 2021, 5, e001043. [Google Scholar] [CrossRef] [PubMed]
- Swadener, B.B.; Peters, L.; Bentley, D.F.; Diaz, X.; Bloch, M. Child care and COVID: Precarious communities in distanced times. Glob. Stud. Child. 2020, 10, 313–326. [Google Scholar] [CrossRef]
- Kim, H.; Wildeman, C.; Jonson-Reid, M.; Drake, B. Lifetime Prevalence of Investigating Child Maltreatment Among US Children. Am. J. Public Health 2017, 107, 274–280. [Google Scholar] [CrossRef]
- Wildeman, C.; Emanuel, N.; Leventhal, J.M.; Putnam-Hornstein, E.; Waldfogel, J.; Lee, H. The prevalence of confirmed maltreatment among US children, 2004 to 2011. JAMA Pediatr. 2014, 168, 706–713. [Google Scholar] [CrossRef]
- Munsey, C. The kids aren’t all right. Monit. Psychol. 2010, 41, 22. [Google Scholar]
- Bright, M.A.; Thompson, L.; Esernio-Jenssen, D.; Alford, S.; Shenkman, E. Primary Care Pediatricians’ Perceived Prevalence and Surveillance of Adverse Childhood Experiences in Low-Income Children. J. Health Care Poor Underserved 2015, 26, 686–700. [Google Scholar] [CrossRef]
- Vaughn, M.G.; Salas-Wright, C.P.; Huang, J.; Qian, Z.; Terzis, L.D.; Helton, J.J. Adverse Childhood Experiences Among Immigrants to the United States. J. Interpers. Violence 2015, 32, 1543–1564. [Google Scholar] [CrossRef]
- Mersky, J.P.; Janczewski, C.E.; Topitzes, J. Rethinking the measurement of adversity. Child Maltreatment 2017, 22, 58–68. [Google Scholar] [CrossRef]
- Sheppard, P.; Garcia, J.R.; Sear, R. A not-so-grim tale: How childhood family structure influences reproductive and risk-taking outcomes in a historical U.S. Population. PLoS ONE 2014, 9, e89539. [Google Scholar] [CrossRef]
- Aaron, L.; Dallaire, D.H. Parental incarceration and multiple risk experiences: Effects on family dynamics and children’s delinquency. J. Youth Adolesc. 2010, 39, 1471–1484. [Google Scholar] [CrossRef] [PubMed]
- Davis, L.; Shlafer, R.J. Mental health of adolescents with currently and formerly incarcerated parents. J. Adolesc. 2017, 54, 120–134. [Google Scholar] [CrossRef]
- Julian, M.M.; Rosenblum, K.L.; Doom, J.R.; Leung, C.Y.Y.; Lumeng, J.C.; Cruz, M.G.; Vazquez, D.M.; Miller, A.L. Oxytocin and parenting behavior among impoverished mothers with low vs. high early life stress. Arch. Women’s Ment. Health 2018, 21, 375–382. [Google Scholar] [CrossRef] [PubMed]
- Slopen, N.; Roberts, A.L.; LeWinn, K.Z.; Bush, N.R.; Rovnaghi, C.R.; Tylavsky, F.; Anand, K.J. Maternal experiences of trauma and hair cortisol in early childhood in a prospective cohort. Psychoneuroendocrinology 2018, 98, 168–176. [Google Scholar] [CrossRef] [PubMed]
- Schickedanz, A.; Halfon, N.; Sastry, N.; Chung, P.J. Parents’ Adverse Childhood Experiences and Their Children’s Behavioral Health Problems. Pediatrics 2018, 142, e20180023. [Google Scholar] [CrossRef]
- Sege, R.D.; Browne, C.H. Responding to ACEs With HOPE: Health Outcomes From Positive Experiences. Acad. Pediatr. 2017, 17, S79–S85. [Google Scholar] [CrossRef]
- Bekhet, A.K.; Johnson, N.L.; Zauszniewski, J.A. Resilience in family members of persons with autism spectrum disorder: A review of the literature. Issues Ment. Health Nurs. 2012, 33, 650–656. [Google Scholar] [CrossRef]
- Huhtala, M.; Korja, R.; Lehtonen, L.; Haataja, L.; Lapinleimu, H.; Rautava, P.; PIPARI Study Group. Parental psychological well-being and behavioral outcome of very low birth weight infants at 3 years. Pediatrics 2012, 129, e937–e944. [Google Scholar] [CrossRef]
- Hwang, Y.; Choi, I.; Yum, J.-Y.; Jeong, S.-H. Parental Mediation Regarding Children’s Smartphone Use: Role of Protection Motivation and Parenting Style. Cyberpsychology Behav. Soc. Netw. 2017, 20, 362–368. [Google Scholar] [CrossRef]
- Radesky, J.S.; Kistin, C.M.; Eisenberg, S.; Gross, J.B.; Block, G.B.; Zuckerman, B.; Silverstein, M. Parent Perspectives on Their Mobile Technology Use: The Excitement and Exhaustion of Parenting While Connected. J. Dev. Behav. Pediatr. 2016, 37, 694–701. [Google Scholar] [CrossRef]
- Solomon-Moore, E.; Sebire, S.J.; Macdonald-Wallis, C.; Thompson, J.L.; Lawlor, D.A.; Jago, R. Exploring parents’ screen-viewing behaviours and sedentary time in association with their attitudes toward their young child’s screen-viewing. Prev. Med. Rep. 2017, 7, 198–205. [Google Scholar] [CrossRef] [PubMed]
- Terras, M.M.; Ramsay, J. Family Digital Literacy Practices and Children’s Mobile Phone Use. Front. Psychol. 2016, 7, 1957. [Google Scholar] [CrossRef] [PubMed]
- Sanchez, M.M.; McCormack, K.M.; Howell, B.R. Social buffering of stress responses in nonhuman primates: Maternal regulation of the development of emotional regulatory brain circuits. Soc. Neurosci. 2015, 10, 512–526. [Google Scholar] [CrossRef]
- Doom, J.R.; Doyle, C.M.; Gunnar, M.R. Social stress buffering by friends in childhood and adolescence: Effects on HPA and oxytocin activity. Soc. Neurosci. 2017, 12, 8–21. [Google Scholar] [CrossRef]
- Marryat, L.; Thompson, L.; Minnis, H.; Wilson, P. Associations between social isolation, pro-social behaviour and emotional development in preschool aged children: A population based survey of kindergarten staff. BMC Psychol. 2014, 2, 44. [Google Scholar] [CrossRef]
- Buhs, E.S.; Ladd, G.W.; Herald, S.L. Peer exclusion and victimization: Processes that mediate the relation between peer group rejection and children’s classroom engagement and achievement? J. Educ. Psychol. 2006, 98, 1–13. [Google Scholar] [CrossRef]
- Hymel, S.; Rubin, K.H.; Rowden, L.; LeMare, L. Children’s Peer Relationships: Longitudinal Prediction of Internalizing and Externalizing Problems from Middle to Late Childhood. Child Dev. 1990, 61, 2004–2021. [Google Scholar] [CrossRef]
- Sappenfield, O.; Leong, A.; Lebrun-Harris, L. Prevalence, sociodemographic and household characteristics, and impacts of disrupted child care due to the COVID-19 pandemic in the U.S., April–July 2021. Child. Youth Serv. Rev. 2023, 149, 0190–7409. [Google Scholar] [CrossRef] [PubMed]
- Laursen, B.; Bukowski, W.M.; Aunola, K.; Nurmi, J. Friendship moderates prospective associations between social isolation and adjustment problems in young children. Child Dev. 2007, 78, 1395–1404. [Google Scholar] [CrossRef]
- Kovler, M.L.; Ziegfeld, S.; Ryan, L.M.; Goldstein, M.A.; Gardner, R.; Garcia, A.V.; Nasr, I.W. Increased proportion of physical child abuse injuries at a level I pediatric trauma center during the Covid-19 pandemic. Child Abuse Negl. 2021, 116 Pt 2, 104756. [Google Scholar] [CrossRef]
- Thompson, K.N.; Odgers, C.L.; Bryan, B.T.; Danese, A.; Milne, B.J.; Strange, L.; Matthews, T.; Arseneault, L. Trajectories of childhood social isolation in a nationally representative cohort: Associations with antecedents and early adulthood outcomes. JCPP Adv. 2022, 2, e12073. [Google Scholar] [CrossRef] [PubMed]
- Gershoff, E.T.; Aber, J.L.; Raver, C.C.; Lennon, M.C. Income Is Not Enough: Incorporating Material Hardship Into Models of Associations With Parenting and Child Development. Child Dev. 2007, 78, 70–95. [Google Scholar] [CrossRef]
- Melhuish, E.C.; Phan, M.B.; Sylva, K.; Sammons, P.; Siraj-Blatchford, I.; Taggart, B. Effects of the Home Learning Environment and Preschool Center Experience upon Literacy and Numeracy Development in Early Primary School. J. Soc. Issues 2008, 64, 95–114. [Google Scholar] [CrossRef]
- Oppermann, E.; Cohen, F.; Wolf, K.; Burghardt, L.; Anders, Y. Changes in Parents’ Home Learning Activities With Their Children During the COVID-19 Lockdown—The Role of Parental Stress, Parents’ Self-Efficacy and Social Support. Front. Psychol. 2021, 12, 682540. [Google Scholar] [CrossRef]
- de Araújo, L.A.; Veloso, C.F.; de Campos Souza, M.; de Azevedo, J.M.C.; Tarro, G. The potential impact of the COVID-19 pandemic on child growth and development: A systematic review. J. Pediatr. 2021, 97, 369–377. [Google Scholar] [CrossRef] [PubMed]
- Grindey, A.; Bradshaw, T. Do Different Adverse Childhood Experiences Lead to Specific Symptoms of Psychosis in Adulthood? A Systematic Review of the Current Literature. Int. J. Ment. Health Nurs. 2022, 31, 868–887. [Google Scholar] [CrossRef]
- Salmon, S.; Taillieu, T.L.; Stewart-Tufescu, A.; MacMillan, H.L.; Tonmyr, L.; Gonzalez, A.; Afifi, T.O. Stressors and Symptoms Associated with a History of Adverse Childhood Experiences among Older Adolescents and Young Adults During the COVID-19 Pandemic in Manitoba, Canada. Health Promot. Chronic Dis. Prev. Can. Res. Policy Pract. 2023, 43, 27–39. [Google Scholar] [CrossRef] [PubMed]
- Tan, M.; Mao, P. Type and Dose-Response Effect of Adverse Childhood Experiences in Predicting Depression: A Systematic Review and Meta-Analysis. Child Abus. Negl. 2023, 139, 106091. [Google Scholar] [CrossRef]
- Tzouvara, V.; Kupdere, P.; Wilson, K.; Matthews, L.; Simpson, A.; Foye, U. Adverse childhood experiences, mental health, and social functioning: A scoping review of the literature. Child Abus. Negl. 2023, 139, 106092. [Google Scholar] [CrossRef]
- Essex, M.J.; Kraemer, H.C.; Armstrong, J.M.; Boyce, W.T.; Goldsmith, H.H.; Klein, M.H.; Woodward, H.; Kupfer, D.J. Exploring risk factors for the emergence of children’s mental health problems. Arch. Gen. Psychiatry 2006, 63, 1246–1256. [Google Scholar] [CrossRef]
- National Heart, Lung, and Blood Institute. Quality Assessment Tool for Observational Cohort and Cross-Sectional Studies. 2013. Available online: https://www.nhlbi.nih.gov/health-topics/study-quality-assessment-tools (accessed on 15 September 2023).
- Higgins, J.P.; Thompson, S.G. Quantifying heterogeneity in a meta-analysis. Stat. Med. 2002, 21, 1539–1558. [Google Scholar] [CrossRef] [PubMed]
- Egger, M.; Smith, G.D.; Schneider, M.; Minder, C. Bias in meta-analysis detected by a simple, graphical test. BMJ 1997, 315, 629–634. [Google Scholar] [CrossRef] [PubMed]
- Begg, C.B.; Mazumdar, M. Operating characteristics of a rank correlation test for publication bias. Biometrics 1994, 50, 1088–1101. [Google Scholar] [CrossRef] [PubMed]
- Macaskill, P.; Walter, S.D.; Irwig, L. A Comparison of Methods to Detect Publication Bias in Meta-Analysis. Stat. Med. 2001, 20, 641–654. [Google Scholar] [CrossRef]
- Duval, S.; Tweedie, R. Trim and Fill: A Simple Funnel-Plot-Based Method of Testing and Adjusting for Publication Bias in Meta-Analysis. Biometrics 2000, 56, 455–463. [Google Scholar] [CrossRef]
- Rendina-Gobioff, G.; Kromrey, J.D. Pub_Bias: A Sas ® Macro for Detecting Publication Bias in Meta-Analysis. 2006. Available online: https://Efaidnbmnnnibpcajpcglclefindmkaj/http://www8.Sas.Com/Scholars/Proceedings/2006/Posters/Po04_06.Pdf (accessed on 15 April 2023).
- Miller, L.C.; Neupane, S.; Joshi, N.; Lohani, M.; Shrestha, B. Trajectories of child growth, child development, and home child-rearing quality during the Covid pandemic in rural Nepal. Child Care Health Dev. 2023, 49, 800–810. [Google Scholar] [CrossRef]
- Di Giorgio, E.; Di Riso, D.; Mioni, G.; Cellini, N. The interplay between mothers’ and children behavioral and psychological factors during COVID-19: An Italian study. Eur. Child Adolesc. Psychiatry 2021, 30, 1401–1412. [Google Scholar] [CrossRef] [PubMed]
- Frigerio, A.; Nettuno, F.; Nazzari, S. Maternal mood moderates the trajectory of emotional and behavioural problems from pre- to during the COVID-19 lockdown in preschool children. Eur. Child Adolesc. Psychiatry 2023, 32, 1189–1199. [Google Scholar] [CrossRef]
- Imboden, A.; Sobczak, B.K.; Griffin, V. The impact of the COVID-19 pandemic on infant and toddler development. J. Am. Assoc. Nurse. Pract. 2022, 34, 509–519. [Google Scholar] [CrossRef]
- Davies, C.; Hendry, A.; Gibson, S.P.; Gliga, T.; McGillion, M.; Gonzalez-Gomez, N. Early childhood education and care (ECEC) during COVID-19 boosts growth in language and executive function. Infant Child Dev. 2021, 30, e2241. [Google Scholar] [CrossRef]
- Specht, I.O.; Rohde, J.F.; Nielsen, A.-K.; Larsen, S.C.; Heitmann, B.L. Changes in Emotional-Behavioral Functioning Among Pre-school Children Following the Initial Stage Danish COVID-19 Lockdown and Home Confinement. Front. Psychol. 2021, 12, 643057. [Google Scholar] [CrossRef] [PubMed]
- Fitzpatrick, C.; Harvey, E.; Cristini, E.; Laurent, A.; Lemelin, J.-P.; Garon-Carrier, G. Is the Association Between Early Childhood Screen Media Use and Effortful Control Bidirectional? A Prospective Study During the COVID-19 Pandemic. Front. Psychol. 2022, 13, 918834. [Google Scholar] [CrossRef] [PubMed]
- Cantiani, C.; Dondena, C.; Capelli, E.; Riboldi, E.M.; Molteni, M.; Riva, V. Effects of COVID-19 Lockdown on the Emotional and Behavioral Profiles of Preschool Italian Children with and without Familial Risk for Neurodevelopmental Disorders. Brain Sci. 2021, 11, 477. [Google Scholar] [CrossRef] [PubMed]
- Kolcakoglu, K.; Yucel, G. Anxiety and harmful oral habits in preschool children during the 2020 first-wave COVID-19 lockdown in Turkey. Dent. Med. Probl. 2021, 58, 433–439. [Google Scholar] [CrossRef]
- Ding, X.; Liu, H.; Wang, H.; Song, Q.; Su, W.; Li, N.; Liang, M.; Guo, X.; Qu, G.; Ma, S.; et al. COVID-19 pandemic impact on family life and exacerbated emotional and behavioral health among preschool children: A longitudinal study. Int. J. Clin. Health Psychol. 2022, 22, 100327. [Google Scholar] [CrossRef] [PubMed]
- Hyunshik, K.; Jiameng, M.; Sunkyoung, L.; Ying, G. Change in Japanese children’s 24-hour movement guidelines and mental health during the COVID-19 pandemic. Sci. Rep. 2021, 11, 22972. [Google Scholar] [CrossRef]
- Gordon-Hacker, A.; Bar-Shachar, Y.; Egotubov, A.; Uzefovsky, F.; Gueron-Sala, N. Trajectories and Associations Between Maternal Depressive Symptoms, Household Chaos and Children’s Adjustment through the COVID-19 Pandemic: A Four-Wave Longitudinal Study. Res. Child Adolesc. Psychopathol. 2023, 51, 103–117. [Google Scholar] [CrossRef]
- Alonso-Martínez, A.M.; Ramírez-Vélez, R.; García-Alonso, Y.; Izquierdo, M.; García-Hermoso, A. Physical Activity, Sedentary Behavior, Sleep and Self-Regulation in Spanish Preschoolers during the COVID-19 Lockdown. Int. J. Environ. Res. Public Health 2021, 18, 693. [Google Scholar] [CrossRef]
- Wenter, A.; Schickl, M.; Sevecke, K.; Juen, B.; Exenberger, S. Children’s Mental Health During the First Two Years of the COVID-19 Pandemic: Burden, Risk Factors and Posttraumatic Growth—A Mixed-Methods Parents’ Perspective. Front. Psychol. 2022, 13, 901205. [Google Scholar] [CrossRef]
- Gueron-Sela, N.; Shalev, I.; Gordon-Hacker, A.; Egotubov, A.; Barr, R. Screen media exposure and behavioral adjustment in early childhood during and after COVID-19 home lockdown periods. Comput. Hum. Behav. 2023, 140, 107572. [Google Scholar] [CrossRef]
- Ma, C.-H.; Jiang, L.; Chu, L.-T.; Zhang, C.-C.; Tian, Y.; Chen, J.J.; Wang, Y. Mental health problems of preschool children during the COVID-19 home quarantine: A cross-sectional study in Shanghai, China. Front. Psychol. 2022, 13, 1032244. [Google Scholar] [CrossRef] [PubMed]
- Murray, J.; Bauer, A.; de Mola, C.L.; Martins, R.C.; Blumenberg, C.; Degli Esposti, M.; Stein, A.; Barros, F.C.; Hallal, P.C.; Silveira, M.F.; et al. Child and Maternal Mental Health Before and During the COVID-19 Pandemic: Longitudinal Social Inequalities in a Brazilian Birth Cohort. J. Am. Acad. Child Adolesc. Psychiatry 2023, 62, 344–357. [Google Scholar] [CrossRef]
- Gulde, M.; Köhler-Dauner, F.; Mayer, I.; Ziegenhain, U.; Fegert, J.M.; Buchheim, A. Negative effects of the SARS-CoV-2 pandemic: The interlinking of maternal attachment representation, coping strategies, parental behavior, and the child’s mental health. Front. Pediatr. 2022, 10, 939538. [Google Scholar] [CrossRef]
- Hagihara, H.; Yamamoto, N.; Meng, X.; Sakata, C.; Wang, J.; Watanabe, R.; Moriguchi, Y. COVID-19 school and kindergarten closure relates to children’s social relationships: A longitudinal study in Japan. Sci. Rep. 2022, 12, 814. [Google Scholar] [CrossRef] [PubMed]
- Conti, E.; Sgandurra, G.; De Nicola, G.; Biagioni, T.; Boldrini, S.; Bonaventura, E.; Buchignani, B.; Vecchia, S.D.; Falcone, F.; Fedi, C.; et al. Behavioural and Emotional Changes during COVID-19 Lockdown in an Italian Paediatric Population with Neurologic and Psychiatric Disorders. Brain Sci. 2020, 10, 918. [Google Scholar] [CrossRef] [PubMed]
- Thompson, S.F.; Shimomaeda, L.; Calhoun, R.; Moini, N.; Smith, M.R.; Lengua, L.J. Maternal Mental Health and Child Adjustment Problems in Response to the COVID-19 Pandemic in Families Experiencing Economic Disadvantage. Res. Child Adolesc. Psychopathol. 2022, 50, 695–708. [Google Scholar] [CrossRef] [PubMed]
- Ferrari, E.; Palandri, L.; Lucaccioni, L.; Talucci, G.; Passini, E.; Trevisani, V.; Righi, E. The Kids Are Alright (?). Infants’ Development and COVID-19 Pandemic: A Cross-Sectional Study. Int. J. Public Health 2022, 67, 1604804. [Google Scholar] [CrossRef]
- Huang, P.; Zhou, F.; Guo, Y.; Yuan, S.; Lin, S.; Lu, J.; Tu, S.; Lu, M.; Shen, S.; Guedeney, A.; et al. Association Between the COVID-19 Pandemic and Infant Neurodevelopment: A Comparison Before and During COVID-19. Front. Pediatr. 2021, 9, 662165. [Google Scholar] [CrossRef]
- Saleem, S.; Burns, S.; Falenchuk, O.; Varmuza, P.; Perlman, M. Heterogeneity in maternal and child mental health responses to the COVID-19 pandemic. Early Child. Res. Q. 2022, 59, 203–214. [Google Scholar] [CrossRef]
- Wermelinger, S.; Moersdorf, L.; Ammann, S.; Daum, M.M. Exploring the role of COVID-19 pandemic-related changes in social interactions on preschoolers’ emotion labeling. Front. Psychol. 2022, 13, 942535. [Google Scholar] [CrossRef]
- Kostev, K.; Weber, K.; Riedel-Heller, S.; von Vultée, C.; Bohlken, J. Increase in depression and anxiety disorder diagnoses during the COVID-19 pandemic in children and adolescents followed in pediatric practices in Germany. Eur. Child Adolesc. Psychiatry 2023, 32, 873–879. [Google Scholar] [CrossRef] [PubMed]
- Hanno, E.C.; Cuartas, J.M.; Miratrix, L.W.; Jones, S.M.; Lesaux, N.K. Changes in Children’s Behavioral Health and Family Well-Being During the COVID-19 Pandemic. J. Dev. Behav. Pediatr. 2022, 43, 168–175. [Google Scholar] [CrossRef] [PubMed]
- Çiçek, S.; Yalçin, S.S. Emotional status and problem behavior of pre-school children according to the pandemic period and occupational status of the mother. Int. J. Environ. Health Res. 2022, 33, 1406–1417. [Google Scholar] [CrossRef]
- Bussières, E.L.; Malboeuf-Hurtubise, C.; Meilleur, A.; Mastine, T.; Hérault, E.; Chadi, N.; Mobntreuil, M.; Généreux, M.; Camden, C.; PRISME-COVID Team. Consequences of the COVID-19 Pandemic on Children’s Mental Health: A Meta-Analysis. Front. Psychiatry 2021, 12, 691659. [Google Scholar] [CrossRef] [PubMed]
- Panda, P.K.; Gupta, J.; Chowdhury, S.R.; Kumar, R.; Meena, A.K.; Madaan, P.; Sharawat, I.K.; Gulati, S. Psychological and Behavioral Impact of Lockdown and Quarantine Measures for COVID-19 Pandemic on Children, Adolescents and Caregivers: A Systematic Review and Meta-Analysis. J. Trop. Pediatr. 2021, 67, fmaa122. [Google Scholar] [CrossRef]
- Berger, E.; Jamshidi, N.; Reupert, A.; Jobson, L.; Miko, A. Review: The mental health implications for children and adolescents impacted by infectious outbreaks—A systematic review. Child Adolesc. Ment. Health 2021, 26, 157–166. [Google Scholar] [CrossRef]
- Kumsta, R. The role of stress in the biological embedding of experience. Psychoneuroendocrinology 2023, 156, 106364. [Google Scholar] [CrossRef]
- Madigan, S.; Racine, N.; Vaillancourt, T.; Korczak, D.J.; Hewitt, J.M.; Pador, P.; Park, J.L.; McArthur, B.A.; Holy, C.; Neville, R.D. Changes in Depression and Anxiety Among Children and Adolescents From Before to During the COVID-19 Pandemic: A Systematic Review and Meta-analysis. JAMA Pediatr. 2023, 177, 567–581. [Google Scholar] [CrossRef]
- Nicolaides, N.C.; Kanaka-Gantenbein, C.; Pervanidou, P. Developmental Neuroendocrinology of Early-Life Stress: Impact on Child Development and Behavior. Curr. Neuropharmacol. 2024, 22, 461–474. [Google Scholar] [CrossRef]
- Garner, A.S.; Shonkoff, J.P. Committee on Psychosocial Aspects of Child and Family Health; Committee on Early Childhood, Adoption, and Dependent Care; Section on Developmental and Behavioral Pediatrics. Early childhood adversity, toxic stress, and the role of the pediatrician: Translating developmental science into lifelong health. Pediatrics 2012, 129, e224–e231. [Google Scholar]
- McEwen, B.S. Physiology and neurobiology of stress and adaptation: Central role of the brain. Physiol. Rev. 2007, 87, 873–904. [Google Scholar] [CrossRef] [PubMed]
- Arnsten, A.F. Stress Signalling Pathways That Impair Prefrontal Cortex Structure and Function. Nat. Rev. Neurosci. 2009, 10, 410–422. [Google Scholar] [CrossRef] [PubMed]
- Hessami, K.; Norooznezhad, A.H.; Monteiro, S.; Barrozo, E.R.; Abdolmaleki, A.S.; Arian, S.E.; Zatgarzedeh, N.; Shekerdemian, L.S.; Aagaard, K.M.; Shamshiraz, A.A. COVID-19 Pandemic and Infant Neurodevelopmental Impairment: A Systematic Review and Meta-analysis. JAMA Netw. Open 2022, 5, e2238941. [Google Scholar] [CrossRef] [PubMed]
- Bhutta, Z.A.; Guerrant, R.L.; Nelson, C.A. Neurodevelopment, Nutrition, and Inflammation: The Evolving Global Child Health Landscape. Pediatrics 2017, 139 (Suppl. S1), S12–S22. [Google Scholar] [CrossRef]
- Regalado, M.; Halfon, N. Primary care services promoting optimal child development from birth to age 3 years: Review of the literature. Arch. Pediatr. Adolesc. Med. 2001, 155, 1311–1322. [Google Scholar] [CrossRef]
- Author Unlisted. Center on the Developing Child. A Science-Based Framework for Early Childhood Policy; Harvard University: Cambridge, MA, USA, 2007. [Google Scholar]




| Reference (First Author, Year) | Country, Study Design | Sample Size (n) | Age Range | Outcomes | Evaluation Methods | Time Points Evaluated | Study Quality |
|---|---|---|---|---|---|---|---|
| Laurie Miller, 2022 [48] | Nepal, Longitudinal Study | 368 | 6–66 Months (mo) | Ages & Stages Questionnaire (ASQ-3) | Mixed-effects regression model | December 2019, September 2021 | Good (11) |
| Elisa Di Giorgio, 2021 [49] | Italy, Retrospective cohort study | 245 | 2–6 years (yrs) | Strengths & Difficulties Questionnaire (SDQ) | McNemar’s test, Repeated measure ANOVA, Tukey HSD test, Pearson correlations, multiple linear regression, Durbin–Watson test | February 2020, April 2020 | Good (10) |
| Alessandra Frigerio, 2022 [50] | Italy, Longitudinal study | 74 | 1.5–5 yrs | Child Behavior Checklist (CBCL) | Hierarchical linear models | April 2018, June 2020 | Good (11) |
| Annie Imboden, 2021 [51] | US, Prospective cohort study | 1024 | 6–36 mo | ASQ-3 | Mann–Whitney U test, Kruskal–Wallis test | October 2018–January 2019; October 2020–January 2021 | Good (9) |
| Catherine Davies, 2021 [52] | UK, Prospective cohort study | 189 | 8–36 mo | Child Depression Inventory (O-CDI), Early Executive Function Questionnaire (EEFQ) | Structural equation modeling, multiple linear regression analyses | November–December 2020, June 2021 | Good (11) |
| Ina Specht, 2021 [53] | Denmark, Prospective cohort study | 40 | 2–4 yrs | SDQ | Paired t test, general linear models | February 2020, April 2020 | Good (10) |
| Caroline Fitzpatrick, 2022 [54] | Canada, Longitudinal study | 316 | 3–5 yrs | CBCL–Short form | Cross-lagged panel model | April 2020, April 2021 | Good (9) |
| Chiara Cantiani, 2021 [55] | Italy, Longitudinal study | 188 | 2–6 yrs | CBCL, | Independent-sample t test, Welch test, Pearson chi-squared | February 2020, May 2020 | Good (11) |
| Keyser Kolcakoglu, 2021 [56] | Turkey, Prospective cohort study | 405 | 3–7 yrs | Preschool Anxiety Scale (PAS) | McNemar–Bowker test, one-sample t test analysis, post hoc Šídák pairwise comparison test | April 2020, June 2020 | Good (9) |
| Xiuxiu Ding, 2022 [57] | China, Longitudinal study | 1595 | 3–6 yrs | SDQ | Pearson’s chi-squared test, paired-sample t test, multivariable linear regressions | September 2019, January 2021 | Good (13) |
| Kim Hyunshik, 2021 [58] | Japan, Longitudinal study | 301 | 3–5 yrs | SDQ | Paired t test | October 2019, October 2020 | Good (9) |
| Avigail Gordon-Hacker, 2022 [59] | Israel, Prospective cohort study | 230 | 2–5 yrs | SDQ | MCAR test, multilevel models | September 2020, March 2021 | Good (11 |
| Alicia Alonso-Martínez, 2021 [60] | Spain, Prospective cohort study | 268 | 4–6 yrs | Child Self-regulation & Behavior Questionnaite (CSBQ) | Analysis of covariance, Shapiro–Wilk test, and Levene’s test | September 2019, April 2020 | Good (10) |
| Anna Wenter, 2022 [61] | Austria, Italy, Retro- and prospective cohort study | 951 | 3–6 yrs | CBCL | Regression model, Bonferroni correlation, multilevel modeling | April 2020, January 2021, Jul 2021, January 2022 | Good (11) |
| Noa Gueron-Sela, 2023 [62] | Israel, Longitudinal study | 313 | 2–5 yrs | SDQ | MANOVA, Bayesian regression analyses | March 2020, October 2020, January 2021, March 2021 | Good (12) |
| Chen Huan Ma, 2022 [63] | China, Cross-sectional comparison | 2110 | 3–6 yrs | SDQ | Chi-squared test, t test, logistic regression analyses | March 2022, May 2022 | Good (10) |
| Joseph Murray, 2023 [64] | Brazil, Prospective cohort study | 2083 | 1–4 yrs | SDQ, | Dependent t tests, linear regression modeling | September 2019, September 2020 | Good (12) |
| Manuela Gulde, 2022 [65] | Germany, Longitudinal study | 158 | 3–36 mo | SDQ, | Multiple linear regressions | 2013–2017, July 2020, May 2021 | Good (10) |
| Hiromichi Hagihara, 2022 [66] | Japan, Prospective cohort study | 253 | 0–6 yrs | SDQ | Linear mixed modeling | April 2020, November 2020, February 2021 | Good (9) |
| Eugenia Conti, 2020 [67] | Italy, Longitudinal study | 61 | 1.5–5 yrs | CBCL | T score comparison, multiple linear regression analyses | September 2019, May 2020 | Good (10) |
| Stephanie Thompson, 2022 [68] | US, Longitudinal study | 147 | 6–36 mo | CBCL | Repeated measures ANOVA | April 2020, October 2020 | Good (12) |
| Eleonora Ferrari, 2022 [69] | Italy, Prospective cohort study | 104 | 3–36 mo | Griffiths Scales of Child Development (GSCD) | Chi-squared, Mann–Whitney U test | March 2019, April 2021 | Good (12) |
| Peiyuan Huang, 2021 [70] | China, Prospective cohort study | 2500 | 6–12 mo | ASQ3 | Chi-squared test, log-binomial regression | January 2020, March 2020 | Good (11) |
| Sumayya Saleem, 2022 [71] | Canada, Longitudinal study | 179 | 1–4 yrs | SDQ | Chi-squared test of independence, latent profile analyses with gamma distribution | 2016, November 2020 | Good (11) |
| Stephanie Wermelinger, 2022 [72] | Switzerland, Cross-sectional study | 30 | 4–6 years | The Child Faces Task, Children’s Social Understanding Scale | Mixed model | 2019, November 2021 | Fair (7) |
| Karel Kostev, 2021 [73] | Germany, Retrospective cross-sectional study | 200,600 | 2–5 years | New anxiety/depression diagnoses | Chi-squared test | April 2019, December 2020 | Fair (7) |
| Emily Hanno, 2021 [74] | US, Longitudinal study | 2880 | 3–6 years | Behavior Assessment System for Children Behavioral and Emotional Screening System (BRIEF-P) | Fixed-effect analyses | 2017, 2019, Post–March 2020 | Good (10) |
| Seyma Çiçek, 2021 [75] | Turkey, Two-period descriptive study | 346 | 2–6 years | SDQ | Chi-squared test, independent-sample t test | February 2019, June 2021 | Good (9) |
| SDQ and Subscales | Effect Size | 95% CI |
|---|---|---|
| Emotional | 0.07 | (−0.044, 0.184) |
| Peer Problem | −0.112 | (−0.275, 0.501) |
| Conduct | 0.081 | (−0.111, 0.273) |
| Hyperactivity | −0.012 | (−0.124, 0.1) |
| Prosocial Behavior | −0.145 | (−0.474, 0.185) |
| Total SDQ Score | −0.088 | (−0.247, 0.07) |
| ASQ-3 and Subscales | ||
| Communication | 0.274 | (−0.08, 0.628) |
| Gross Motor | 0.111 | (−0.127, 0.349) |
| Fine Motor | −0.036 | (−0.384, 0.312) |
| Personal–Social | −0.036 | (−0.215, 0.143) |
| Problem-Solving | 0.065 | (−0.041, 0.171) |
| Total ASQ-3 Score | 0.069 | (−0.032, 0.17) |
| CBCL and Subscales | ||
| Emotionally Reactive | 0.344 | (0.087, 0.6) |
| Anxious/Depressed | 0.464 | (0.263, 0.722) |
| Somatic Complaints | −0.075 | (−0.428, 0.277) |
| Withdrawn | 0.42 | (0.163, 0.678) |
| Sleep Problems | −0.085 | (−0.34, 0.169) |
| Attention Problems | 0.28 | (0.024, 0.536) |
| Aggressive Behavior | 0.277 | (−0.016, 0.571) |
| Internalizing Problems | 0.156 | (0.108, 0.203) |
| Externalizing Problems | 0.123 | (−0.156, 0.402) |
Disclaimer/Publisher’s Note: The statements, opinions and data contained in all publications are solely those of the individual author(s) and contributor(s) and not of MDPI and/or the editor(s). MDPI and/or the editor(s) disclaim responsibility for any injury to people or property resulting from any ideas, methods, instructions or products referred to in the content. |
© 2024 by the authors. Licensee MDPI, Basel, Switzerland. This article is an open access article distributed under the terms and conditions of the Creative Commons Attribution (CC BY) license (https://creativecommons.org/licenses/by/4.0/).
Share and Cite
Alcon, S.; Shen, S.; Wong, H.-n.; Rovnaghi, C.R.; Truong, L.; Vedelli, J.K.H.; Anand, K.J.S. Effects of the COVID-19 Pandemic on Early Childhood Development and Mental Health: A Systematic Review and Meta-Analysis of Comparative Studies. Psychol. Int. 2024, 6, 986-1012. https://doi.org/10.3390/psycholint6040062
Alcon S, Shen S, Wong H-n, Rovnaghi CR, Truong L, Vedelli JKH, Anand KJS. Effects of the COVID-19 Pandemic on Early Childhood Development and Mental Health: A Systematic Review and Meta-Analysis of Comparative Studies. Psychology International. 2024; 6(4):986-1012. https://doi.org/10.3390/psycholint6040062
Chicago/Turabian StyleAlcon, Sasha, Sa Shen, Hong-nei Wong, Cynthia R. Rovnaghi, Leni Truong, Jordan K. H. Vedelli, and Kanwaljeet J. S. Anand. 2024. "Effects of the COVID-19 Pandemic on Early Childhood Development and Mental Health: A Systematic Review and Meta-Analysis of Comparative Studies" Psychology International 6, no. 4: 986-1012. https://doi.org/10.3390/psycholint6040062
APA StyleAlcon, S., Shen, S., Wong, H.-n., Rovnaghi, C. R., Truong, L., Vedelli, J. K. H., & Anand, K. J. S. (2024). Effects of the COVID-19 Pandemic on Early Childhood Development and Mental Health: A Systematic Review and Meta-Analysis of Comparative Studies. Psychology International, 6(4), 986-1012. https://doi.org/10.3390/psycholint6040062

