Indoor Microclimatic Conditions and Air Pollutant Concentrations in the Archaeological Museum of Abdera, Greece
Abstract
1. Introduction
2. Materials and Methods
2.1. Site Description
2.2. Monitoring
3. Results
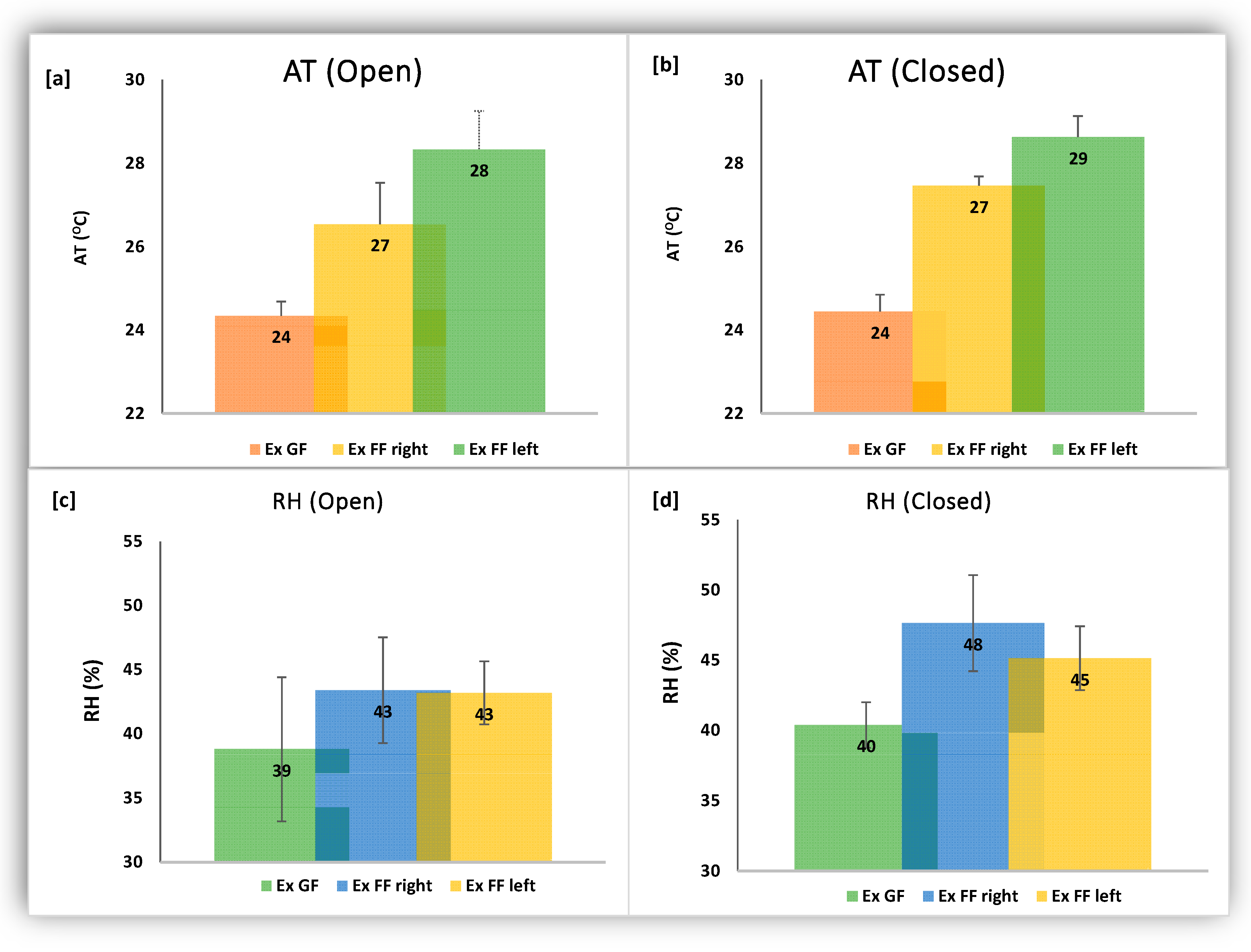
3.1. Microclimatic Conditions
3.2. Air Change Rate (ACH) Calculation
3.3. Indoor Air Pollutant Concentrations
3.4. Indoor PM Mass Concentrations
3.5. The Role of Dehumidifier in the “Storage”
4. Discussion
5. Conclusions
Author Contributions
Funding
Institutional Review Board Statement
Informed Consent Statement
Data Availability Statement
Acknowledgments
Conflicts of Interest
References
- Camuffo, D. Microclimate for Cultural Heritage: Measurement, Risk Assessment, Conservation, Restoration, and Maintenance of Indoor and Outdoor Monuments; Elsevier: Amsterdam, The Netherlands, 2019. [Google Scholar]
- Loupa, G.; Charpantidou, E.; Kioutsioukis, I.; Rapsomanikis, S. Indoor microclimate, ozone and nitrogen oxides in two medieval churches in Cyprus. Atmos. Environ. 2006, 40, 7457–7466. [Google Scholar] [CrossRef]
- Saridaki, A.; Glytsos, T.; Raisi, L.; Katsivela, E.; Tsiamis, G.; Kalogerakis, N.; Lazaridis, M. Airborne particles, bacterial and fungal communities insights of two museum exhibition halls with diverse air quality characteristics. Aerobiologia 2023, 39, 69–86. [Google Scholar] [CrossRef]
- Baer, N.S.; Banks, P.N. Indoor air pollution: Effects on cultural and historic materials. Mus. Manag. Curatorship 1985, 4, 9–20. [Google Scholar] [CrossRef]
- Thomson, G. The Museum Environment; Butterworths: London, UK; Boston, MA, USA, 1978. [Google Scholar]
- Cass, G.R.; Druzik, J.R.; Grosjean, D.; Nazaroff, W.W.; Whitmore, P.M.; Wittman, C.L. Protection of Works of Art from Atmospheric Ozone; Getty Conservation Institute: Los Angeles, CA, USA, 1989. [Google Scholar]
- Pavlogeorgatos, G. Environmental parameters in museums. Build. Environ. 2003, 38, 1457–1462. [Google Scholar] [CrossRef]
- Tétreault, J. Airborne Pollutants in Museums, Galleries and Archives: Risk Assessment, Control Strategies and Preservation Management; Canadian Conservation Institute: Ottawa, ON, Canada, 2003. [Google Scholar]
- Tétreault, J. Control of Pollutants in Museums and Archives–Technical Bulletin 37; Government of Canada, Canadian Conservation Institute: Ottawa, ON, Canada, 2021. [Google Scholar]
- Hisham, M.W.; Grosjean, D. Sulfur dioxide, hydrogen sulfide, total reduced sulfur, chlorinated hydrocarbons and photochemical oxidants in southern California museums. Atmos. Environ. Part A Gen. Top. 1991, 25, 1497–1505. [Google Scholar] [CrossRef]
- Cavicchioli, A.; Souza, R.O.C.d.; Reis, G.R.; Fornaro, A. Indoor Ozone and Nitrogen Dioxide Concentration in Two Museums of the São Paulo Megacity−Brazil. E-Preserv. Sci. 2013, 10, 114–122. [Google Scholar]
- De Santis, F.; Di Palo, V.; Allegrini, I. Determination of some atmospheric pollutants inside a museum: Relationship with the concentration outside. Sci. Total Environ. 1992, 127, 211. [Google Scholar] [CrossRef]
- Hu, T.; Jia, W.; Cao, J.; Huang, R.; Li, H.; Liu, S.; Ma, T.; Zhu, Y. Indoor air quality at five site museums of Yangtze River civilization. Atmos. Environ. 2015, 123, 449–454. [Google Scholar] [CrossRef]
- Saraga, D.; Pateraki, S.; Papadopoulos, A.; Vasilakos, C.; Maggos, T. Studying the indoor air quality in three non-residential environments of different use: A museum, a printery industry and an office. Build. Environ. 2011, 46, 2333–2341. [Google Scholar] [CrossRef]
- Salthammer, T.; Uhde, E. Organic Indoor Air Pollutants: Occurrence, Measurement, Evaluation; John Wiley & Sons: Hoboken, NJ, USA, 2009. [Google Scholar]
- Salthammer, T. TVOC-Revisited. Environ. Int. 2022, 167, 107440. [Google Scholar] [CrossRef]
- Smedemark, S.H.; Ryhl-Svendsen, M.; Toftum, J. Distribution of temperature, moisture and organic acids in storage facilities with heritage collections. Build. Environ. 2020, 175, 106782. [Google Scholar] [CrossRef]
- Loupa, G.; Charpantidou, E.; Karageorgos, E.; Rapsomanikis, S. The chemistry of gaseous acids in medieval churches in Cyprus. Atmos. Environ. 2007, 41, 9018–9029. [Google Scholar] [CrossRef]
- Godoi, R.H.M.; Carneiro, B.H.B.; Paralovo, S.L.; Campos, V.P.; Tavares, T.M.; Evangelista, H.; Van Grieken, R.; Godoi, A.F.L. Indoor air quality of a museum in a subtropical climate: The Oscar Niemeyer museum in Curitiba, Brazil. Sci. Total Environ. 2013, 452–453, 314–320. [Google Scholar] [CrossRef]
- Bartlett, K.H.; Martinez, M.; Bert, J. Modeling of occupant-generated CO2 dynamics in naturally ventilated classrooms. J. Occup. Environ. Hyg. 2004, 1, 139–148. [Google Scholar] [CrossRef]
- Chaloulakou, A.; Mavroidis, I.; Duci, A. Indoor and outdoor carbon monoxide concentration relationships at different microenvironments in the Athens area. Chemosphere 2003, 52, 1007–1019. [Google Scholar] [CrossRef] [PubMed]
- Maravelaki-Kalaitzaki, P.; Moraitou, G. Sorel’s cement mortars: Decay susceptibility and effect on Pentelic marble. Cem. Concr. Res. 1999, 29, 1929–1935. [Google Scholar] [CrossRef]
- Lee, C.; Kim, Y.; Nagajyothi, P.C.; Thammalangsy, S.; Goung, S.J.N. Cultural heritage: A potential pollution source in museum. Environ. Sci. Pollut. Res. 2011, 18, 743–755. [Google Scholar] [CrossRef]
- Yoon, Y.H.; Brimblecombe, P. Clothing as a source of fibres within museums. J. Cult. Herit. 2000, 1, 445–454. [Google Scholar] [CrossRef]
- Yoon, Y.H.; Brimblecombe, P. The distribution of soiling by coarse particulate matter in the museum environment. Indoor Air 2001, 11, 232–240. [Google Scholar] [CrossRef]
- Licina, D.; Nazaroff, W.W. Clothing as a transport vector for airborne particles: Chamber study. Indoor Air 2018, 28, 404–414. [Google Scholar] [CrossRef]
- Licina, D.; Langer, S. Indoor air quality investigation before and after relocation to WELL-certified office buildings. Build. Environ. 2021, 204, 108182. [Google Scholar] [CrossRef]
- Ligocki, M.P.; Salmon, L.G.; Fall, T.; Jones, M.C.; Nazaroff, W.W.; Cass, G.R. Characteristics of airborne particles inside southern California museums. Atmos. Environ. Part A Gen. Top. 1993, 27, 697–711. [Google Scholar] [CrossRef]
- Nazaroff, W.W.; Salmon, L.G.; Cass, G.R. Concentration and fate of airborne particles in museums. Environ. Sci. Technol. 1990, 24, 66–77. [Google Scholar] [CrossRef]
- Loupa, G.; Karageorgos, E.; Rapsomanikis, S. Potential effects of particulate matter from combustion during services on human health and on works of art in medieval churches in Cyprus. Environ. Pollut. 2010, 158, 2946–2953. [Google Scholar] [CrossRef] [PubMed]
- Chatoutsidou, S.E.; Lazaridis, M. Assessment of the impact of particulate dry deposition on soiling of indoor cultural heritage objects found in churches and museums/libraries. J. Cult. Herit. 2019, 39, 221–228. [Google Scholar] [CrossRef]
- Caneva, G.; De Nuntiis, P.; Fornaciari, M.; Ruga, L.; Valenti, P.; Pasquariello, G. Aerobiology applied to the preventive conservation of cultural heritage. Aerobiologia 2020, 36, 99–103. [Google Scholar] [CrossRef]
- Kallintzi, C.; Georgiadis, M.; Kefalidou, E.; Xydopoulos, I. Greeks and Thracians at Abdera and the Xanthi-Nestos Area in Aegean Thrace. In Communication Uneven: Acceptance of and Resistance to Foreign Influences in the Connected Ancient Mediterranean; Collection AEGIS; Driessen, J., Vanzetti, A., Eds.; Presses Universitaires de Louvain: Louvain-la-Neuve, Belgium, 2021; ISBN 978-2-39061-087-8. [Google Scholar]
- Camuffo, D.; Sturaro, G.; Valentino, A. Thermodynamic exchanges between the external boundary layer and the indoor microclimate at the Basilica of Santa Maria Maggiore, Rome, Italy: The problem of conservation of ancient works of art. Bound.-Layer Meteorol. 1999, 92, 243–262. [Google Scholar] [CrossRef]
- Weschler, C.J. Ozone in indoor environments: Concentration and chemistry. Indoor Air 2000, 10, 269–288. [Google Scholar] [CrossRef] [PubMed]
- Cummings, B.E.; Li, Y.; DeCarlo, P.F.; Shiraiwa, M.; Waring, M.S. Indoor aerosol water content and phase state in US residences: Impacts of relative humidity, aerosol mass and composition, and mechanical system operation. Environ. Sci. Process. Impacts 2020, 22, 2031–2057. [Google Scholar] [CrossRef]
- Sciurpi, F.; Carletti, C.; Cellai, G.; Piselli, C. Indoor Air Quality in the Uffizi Gallery of Florence: Sampling, Assessment and Improvement Strategies. Appl. Sci. 2022, 12, 8642. [Google Scholar] [CrossRef]
- Ferdyn-Grygierek, J. Monitoring of indoor air parameters in large museum exhibition halls with and without air-conditioning systems. Build. Environ. 2016, 107, 113–126. [Google Scholar] [CrossRef]
- Camuffo, D.; Van Grieken, R.; Busse, H.-J.; Sturaro, G.; Valentino, A.; Bernardi, A.; Blades, N.; Shooter, D.; Gysels, K.; Deutsch, F. Environmental monitoring in four European museums. Atmos. Environ. 2001, 35, S127–S140. [Google Scholar] [CrossRef]
- Lazaridis, M.; Katsivela, E.; Kopanakis, I.; Raisi, L.; Mihalopoulos, N.; Panagiaris, G. Characterization of airborne particulate matter and microbes inside cultural heritage collections. J. Cult. Herit. 2018, 30, 136–146. [Google Scholar] [CrossRef]
- Mouratidou, T.; Samara, C. PM2.5 and associated ionic component concentrations inside the archaeological museum of Thessaloniki, N. Greece. Atmos. Environ. 2004, 38, 4593–4598. [Google Scholar] [CrossRef]
- Lazaridis, M.; Katsivela, E.; Kopanakis, I.; Raisi, L.; Panagiaris, G. Indoor/outdoor particulate matter concentrations and microbial load in cultural heritage collections. Herit. Sci. 2015, 3, 34. [Google Scholar] [CrossRef]
- Dabanlis, G.; Loupa, G.; Tsalidis, G.A.; Kostenidou, E.; Rapsomanikis, S. The Interplay between Air Quality and Energy Efficiency in Museums, a Review. Appl. Sci. 2023, 13, 5535. [Google Scholar] [CrossRef]






| TVOC (ppb) | CO (ppb) | |||||||
| Location | Mean | Minimum | Maximum | Std.Dev. | Mean | Minimum | Maximum | Std.Dev. |
| “Entrance” | 485.29 | 140.77 | 4781.04 | 603.65 | 246.57 | 96.48 | 495.31 | 66.12 |
| “EX GF” | 280.35 | 154.94 | 589.31 | 91.62 | 340.50 | 198.44 | 703.52 | 129.02 |
| “Ex FF right” | 176.57 | 138.92 | 235.78 | 21.59 | 264.28 | 96.88 | 603.13 | 106.71 |
| “Ex FF left” | 193.71 | 136.91 | 234.57 | 18.86 | 208.97 | 95.31 | 304.69 | 40.33 |
| “Storage” | 484.27 | 460.98 | 540.00 | 13.64 | 259.30 | 120.00 | 510.00 | 58.44 |
| “Office” | 248.83 | 114.44 | 695.22 | 89.86 | 256.46 | 0.20 | 1106.25 | 119.41 |
| O3 (ppb) | CO2 (ppm) | |||||||
| Location | Mean | Minimum | Maximum | Std.Dev. | Mean | Minimum | Maximum | Std.Dev. |
| “Entrance” | 9.65 | 0.00 | 65.31 | 14.12 | 565.44 | 477.69 | 765.70 | 72.14 |
| “EX GF” | 7.77 | 0.00 | 59.96 | 11.16 | 618.97 | 487.29 | 1035.41 | 127.86 |
| “Ex FF right” | 4.47 | 0.00 | 30.35 | 7.63 | 497.68 | 458.96 | 815.66 | 55.82 |
| “Ex FF left” | 0.22 | 0.00 | 29.22 | 1.67 | 519.20 | 473.96 | 1113.23 | 77.40 |
| “Storage” | 0.00 | 0.00 | 0.00 | 0.00 | 446.70 | 416.66 | 614.69 | 26.84 |
| “Office” | 7.74 | 0.00 | 63.28 | 14.61 | 520.47 | 443.09 | 872.48 | 57.03 |
| Location | Variable | Mean | Std.Dev. | Location | Variable | Mean | Std.Dev. |
|---|---|---|---|---|---|---|---|
| “Entrance” | PM1 | 17.14 | 9.60 | “EX GF” | PM1 | 15.42 | 8.64 |
| PM2.5 | 26.02 | 20.03 | PM2.5 | 20.82 | 16.02 | ||
| PM4 | 29.56 | 25.02 | PM4 | 20.69 | 17.52 | ||
| PM7 | 36.86 | 36.68 | PM7 | 33.17 | 33.01 | ||
| PM10 | 38.30 | 1.05 | PM10 | 34.47 | 30.95 | ||
| TSP | 43.14 | 3.56 | TSP | 38.82 | 3.20 | ||
| “Ex FF right” | PM1 | 7.05 | 1.86 | “Ex FF left” | PM1 | 6.98 | 1.87 |
| PM2.5 | 11.74 | 5.15 | PM2.5 | 9.97 | 3.10 | ||
| PM4 | 22.03 | 16.16 | PM4 | 16.67 | 11.04 | ||
| PM7 | 29.39 | 28.65 | PM7 | 22.34 | 24.88 | ||
| PM10 | 31.55 | 33.23 | PM10 | 24.19 | 30.61 | ||
| TSP | 34.25 | 39.61 | TSP | 26.12 | 36.97 | ||
| “Storage” | PM1 | 1.74 | 1.09 | “Office” | PM1 | 8.74 | 3.42 |
| PM2.5 | 2.13 | 1.50 | PM2.5 | 14.13 | 6.42 | ||
| PM4 | 3.05 | 3.94 | PM4 | 19.34 | 11.20 | ||
| PM7 | 3.65 | 6.19 | PM7 | 21.32 | 13.60 | ||
| PM10 | 3.76 | 6.64 | PM10 | 25.00 | 18.78 | ||
| TSP | 3.85 | 7.01 | TSP | 25.64 | 0.72 |
Disclaimer/Publisher’s Note: The statements, opinions and data contained in all publications are solely those of the individual author(s) and contributor(s) and not of MDPI and/or the editor(s). MDPI and/or the editor(s) disclaim responsibility for any injury to people or property resulting from any ideas, methods, instructions or products referred to in the content. |
© 2024 by the authors. Licensee MDPI, Basel, Switzerland. This article is an open access article distributed under the terms and conditions of the Creative Commons Attribution (CC BY) license (https://creativecommons.org/licenses/by/4.0/).
Share and Cite
Loupa, G.; Dabanlis, G.; Resta, G.; Kostenidou, E.; Rapsomanikis, S. Indoor Microclimatic Conditions and Air Pollutant Concentrations in the Archaeological Museum of Abdera, Greece. Aerobiology 2024, 2, 29-43. https://doi.org/10.3390/aerobiology2020003
Loupa G, Dabanlis G, Resta G, Kostenidou E, Rapsomanikis S. Indoor Microclimatic Conditions and Air Pollutant Concentrations in the Archaeological Museum of Abdera, Greece. Aerobiology. 2024; 2(2):29-43. https://doi.org/10.3390/aerobiology2020003
Chicago/Turabian StyleLoupa, Glykeria, Georgios Dabanlis, Georgia Resta, Evangelia Kostenidou, and Spyridon Rapsomanikis. 2024. "Indoor Microclimatic Conditions and Air Pollutant Concentrations in the Archaeological Museum of Abdera, Greece" Aerobiology 2, no. 2: 29-43. https://doi.org/10.3390/aerobiology2020003
APA StyleLoupa, G., Dabanlis, G., Resta, G., Kostenidou, E., & Rapsomanikis, S. (2024). Indoor Microclimatic Conditions and Air Pollutant Concentrations in the Archaeological Museum of Abdera, Greece. Aerobiology, 2(2), 29-43. https://doi.org/10.3390/aerobiology2020003

