Growth and Mineral Nutrition of Two Accessions of the Coastal Grass Species Leymus arenarius Under Chloride and Nitrate Salinity Conditions
Abstract
1. Introduction
2. Materials and Methods
2.1. Seed Material and Plant Establishment
2.2. Salinity Treatment
2.3. Measurement of Chlorophyll a Fluorescence
2.4. Termination of the Experiment and Nutrient Analysis
2.5. Experimental System
3. Results
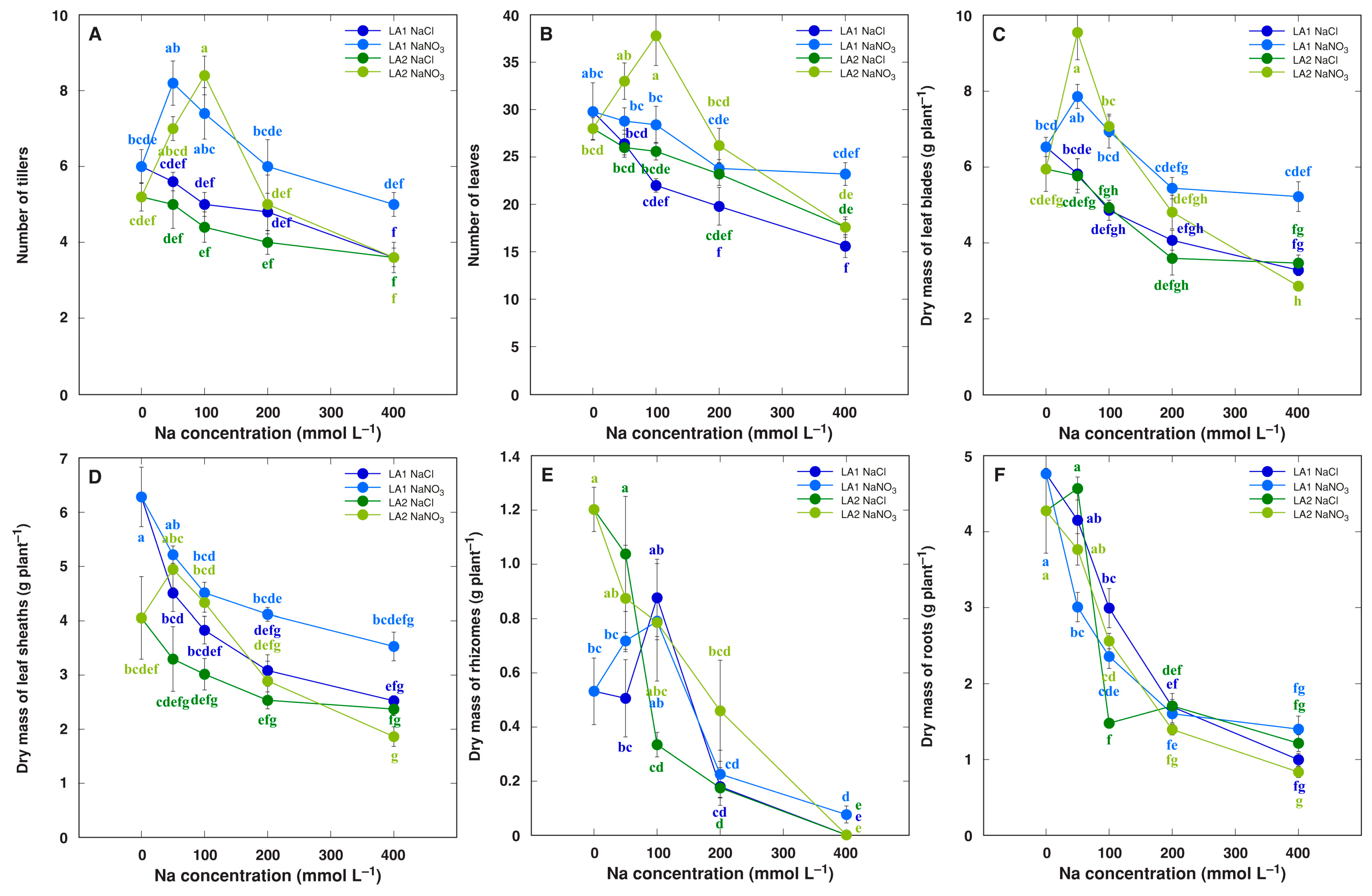
3.1. Growth and Biomass Distribution
3.2. Physiological Parameters
3.3. Ion Accumulation and Mineral Nutrition
4. Discussion
5. Conclusions
Supplementary Materials
Author Contributions
Funding
Data Availability Statement
Acknowledgments
Conflicts of Interest
Abbreviations
| LA1 | Leymus arenarius accession 1 from the Island of Kihnu, Estonia |
| LA2 | Leymus arenarius accession 2 from Lielupe, Jūrmala, Latvia |
References
- Ventura, Y.; Eshel, A.; Pasternak, D.; Sagi, M. The development of halophyte-based agriculture: Past and present. Ann. Bot. 2015, 115, 529–540. [Google Scholar] [CrossRef] [PubMed]
- Bazihizina, N.; Papenbrock, J.; Aronsson, H.; Ben Hamed, K.; Elmaz, Ö.; Dafku, Z.; Custódio, L.; Rodrigues, M.J.; Atzori, G.; Negacz, K. The sustainable use of halophytes in salt-affected land: State-of-the-art and next steps in a saltier world. Plants 2024, 13, 2322. [Google Scholar] [CrossRef] [PubMed]
- Boorboori, M.R.; Zhang, H. The role of halophytes in phyto-desalination: Mechanisms and potential. Environ. Pollut. Bioavailab. 2025, 37, 2552171. [Google Scholar] [CrossRef]
- Medina, E. Physiological ecology of psammophytic and halophytic plant species from coastal plains in northern South America. In Sabkha Ecosystems Volume V: The Americas; Khan, M.A., Boër, B., Özturk, M., Clüsener-Godt, M., Gul, B., Breckle, S.-W., Eds.; Springer International Publishing: Cham, Switzerland, 2016; pp. 29–56. [Google Scholar]
- Bennett, T.H.; Flowers, T.J.; Bromham, L. Repeated evolution of salt tolerance in grasses. Biol. Lett. 2013, 23, 20130029. [Google Scholar] [CrossRef]
- Atia, A.; Debez, A.; Rabhi, M.; Barhoumi, Z.; Haouarim, C.C.; Gouia, H.; Abdelly, C.; Smaoui, A. Salt tolerance and potential uses for saline agriculture of halophytes from Poaceae. In Sabkha Ecosystems Volume VI: Asia/Pacific; Gul, B., Boër, B., Khan, M.A., Clüsener-Godt, M., Hameed, A., Eds.; Springer Nature AG: Cham, Switzerland, 2019; pp. 223–237. [Google Scholar]
- Ievinsh, G. Creating a conceptual framework for analysis of vascular plant diversity in a coastal landscape: Functional aspects and ecosystem services for plants at the Baltic Sea. Environ. Exp. Biol. 2024, 22, 201–244. [Google Scholar] [CrossRef]
- Ievinsh, G.; Andersone-Ozola, U. Variation in growth response of coastal dune-building grass species Ammophila arenaria and Leymus arenarius to sand burial. Botanica 2020, 26, 116–125. [Google Scholar] [CrossRef]
- Wiedemann, A.M.; Pickart, A.J. Temperate zone coastal dunes. In Coastal Dunes, Ecology and Conservation; Martinez, M.L., Psuty, N.P., Eds.; Springer: Berlin/Heidelberg, Germany, 2004; pp. 53–65. [Google Scholar]
- Zhang, X.; Wen, Z.; Gu, R.; Dong, L.; Chen, X.; Chun, X.; Zhou, H.; Zhang, W. Warming increases ecological niche of Leymus chinensis but is detrimental to species diversity in Inner Mongolia temperate grasslands. Agronomy 2024, 14, 2425. [Google Scholar] [CrossRef]
- Greipsson, S.; Davy, A.J. Sand accretion and salinity as constraints on the establishment of Leymus arenarius for land reclamation in Iceland. Ann. Bot. 1996, 78, 611–618. [Google Scholar] [CrossRef][Green Version]
- Flowers, T.J.; Colmers, T.D. Salinity tolerance in halophytes. New Phytol. 2008, 179, 945–963. [Google Scholar] [CrossRef]
- Ievinsh, G.; Ieviņa, S.; Andersone-Ozola, U.; Samsone, I. Leaf sodium, potassium and electrolyte accumulation capacity of plant species from salt-affected coastal habitats of the Baltic Sea: Towards a definition of Na hyperaccumulation. Flora 2021, 274, 151748. [Google Scholar] [CrossRef]
- Marcum, K.B. Growth and physiological adaptations of grasses to salinity stress. In Handbook of Plant and Crop Physiology; Pessarakli, M., Ed.; Marcel Dekker: New York, NY, USA, 2001; pp. 623–636. [Google Scholar]
- Gulzar, S.; Khan, A. Comparative salt tolerance of perennial grasses. In Ecophysiology of High Salinity Tolerant Plants; Khan, M.A., Weber, D.J., Eds.; Springer: Berlin/Heidelberg, Germany, 2006; pp. 239–253. [Google Scholar]
- Roy, S.; Chakraborty, U. Salt tolerance mechanisms in Salt Tolerant Grasses (STGs) and their prospects in cereal crop improvement. Bot. Stud. 2014, 55, 31. [Google Scholar] [CrossRef] [PubMed]
- Mushtaq, Z.; Faizan, S.; Gulzar, B. Salt stress, its impacts on plants and the strateggies plants are employing against it: A review. J. Appl. Biol. Biotechnol. 2020, 8, 81–91. [Google Scholar]
- Hao, S.; Wang, Y.; Yan, Y.; Liu, Y.; Wang, J.; Chen, S. A review on plant responses to salt stress and their mechanisms of salt resistance. Horticulturae 2021, 7, 132. [Google Scholar] [CrossRef]
- Zhou, H.; Shi, H.; Yang, Y.; Feng, X.; Chen, X.; Xiao, F.; Lin, H.; Guo, Y. Insights into plant stress signaling and tolerance. J. Genet. Genom. 2024, 51, 16–34. [Google Scholar] [CrossRef]
- Grattan, S.R.; Grieve, C.M. Mineral element acquisition and growth response of plants grown in saline environments. Agric. Ecosyst. Environ. 1992, 38, 275–300. [Google Scholar] [CrossRef]
- Koyro, H.-W.; Geissler, N.; Seenivasan, R.; Huchzermeyer, B. Plant stress physiology: Physiological and biochemical strategies allowing plants/crops to thrive under ionic stress. In Handbook of Plant and Crop Stress, 3rd ed.; Pessarakli, M., Ed.; Taylor & Francis: Boca Raton, FL, USA, 2011; pp. 1051–1093. [Google Scholar]
- Mann, A.; Lata, C.; Kumar, N.; Kumar, A.; Kumar, A.; Sheoran, P. Halophytes as new model plant species for salt tolerance strategies. Front. Plant Sci. 2023, 14, 1137211. [Google Scholar] [CrossRef]
- Munns, R.; Gilliham, M. Salinity tolerance in crops—What is the cost? New Phytol. 2015, 208, 668–673. [Google Scholar] [CrossRef]
- Xu, C.; Tang, X.; Shao, H.; Wang, H. Salinity tolerance mechanism of economic halophytes from physiological to molecular hierarchy for improving food quality. Curr. Genom. 2016, 17, 207–214. [Google Scholar] [CrossRef]
- Rahman, M.M.; Mostofa, M.G.; Keya, S.S.; Siddiqui, M.N.; Ansary, M.M.I.; Das, A.K.; Rahman, M.A.; Tran, L.S.P. Adaptive mechanisms of halophytes and their potential in improving salinity tolerance in plants. Int. J. Mol. Sci. 2021, 22, 10733. [Google Scholar] [CrossRef]
- Ievinsh, G. Where land meets sea: Biology of coastal soils. In Structure and Functions of Pedosphere; Giri, B., Kapoor, R., Wu, Q.-S., Varma, A., Eds.; Springer Nature Pte Ltd.: Singapore, 2022; pp. 151–172. [Google Scholar]
- Tyler, T.; Herbertsson, L.; Olofsson, J.; Olsson, P.A. Ecological indicator and traits values for Swedish vascular plants. Ecol. Indic. 2021, 120, 106923. [Google Scholar] [CrossRef]
- Piernik, A. Ecological Pattern of Inland Salt Marsh Vegetation in Central Europe; Nicolaus Copernicus University Press: Toruń, Poland, 2012. [Google Scholar]
- Greipsson, S.; Davy, A.J. Responses of Leymus arenarius to nutrients: Improvement of seed production and seedling establishment for land reclamation. J. Appl. Ecol. 1997, 34, 1165–1176. [Google Scholar] [CrossRef]
- Tsimilli-Michael, M. Revisiting JIP-test: An educative review on concepts, assumptions, approximations, definitions and terminology. Photosynthetica 2020, 58, 275–292. [Google Scholar] [CrossRef]
- Jēkabsone, A.; Karlsons, A.; Osvalde, A.; Ievinsh, G. Effect of Na, K and Ca salts on growth, physiological performance, ion accumulation and mineral nutrition of Mesembryanthemum crystallinum. Plants 2024, 13, 190. [Google Scholar] [CrossRef] [PubMed]
- Metsalu, T.; Vilo, J. ClustVis: A web tool for visualizing clustering of multivariate data using Principal Component Analysis and heatmap. Nucleic Acids Res. 2015, 43, W566–W570. [Google Scholar] [CrossRef]
- Tavakkoli, E.; Rengasamy, P.; McDonald, G.K. High concentrations of Na+ and Cl− ions in soil solution have simultaneous detrimental effects on growth of faba bean under salinity stress. J. Exp. Bot. 2010, 61, 4449–4459. [Google Scholar] [CrossRef]
- Ievinsh, G.; Landorfa-Svalbe, Z.; Andersone-Ozola, U.; Karlsons, A.; Osvalde, A. Salinity and heavy metal tolerance, and phytoextraction potential of Ranunculus sceleratus plants from a sandy coastal beach. Life 2022, 12, 1959. [Google Scholar] [CrossRef]
- Jēkabsone, A.; Kuļika, J.; Romanovs, M.; Andersone-Ozola, U.; Ievinsh, G. Salt tolerance and ion accumulation in several halophytic plant species depending on the type of anion. Int. J. Plant Biol. 2023, 14, 1131–1154. [Google Scholar] [CrossRef]
- Chen, S.; Xing, J.; Lan, H. Comparative effects of neutral salt and alkaline salt stress on seed germination, early seedling growth and physiological response of a halophyte species Chenopodium glaucum. Afr. J. Biotechnol. 2012, 11, 9572–9581. [Google Scholar] [CrossRef]
- Guo, R.; Shi, L.X.; Yan, C.; Zhong, X.; Gu, F.X.; Liu, Q.; Xa, X.; Li, H. Ionomic and metabolic responses to neutral salt or alkaline salt stresses in maize (Zea mays L.) seedlings. BMC Plant Biol. 2017, 17, 41. [Google Scholar] [CrossRef]
- Li, J.; Hussain, T.; Feng, X.; Guo, K.; Chen, H.; Yang, C.; Liu, X. Comparative study on the resistance of Suaeda glauca and Suaeda salsa to drought, salt, and alkali stresses. Ecol. Eng. 2019, 140, 105593. [Google Scholar] [CrossRef]
- Crawford, N.M. Nitrate: Nutrient and signal for plant growth. Plant Cell 1995, 7, 859–868. [Google Scholar] [PubMed][Green Version]
- Ushakova, S.A.; Kovaleva, N.P.; Tikhomirova, N.A.; Gribovskaya, I.V.; Kolmakova, A.A. Effect of photosynthetically active radiation, salinization, and type of nitrogen nutrition on growth of Salicornia europaea. Russ. J. Plant Physiol. 2006, 53, 785–793. [Google Scholar] [CrossRef]
- Wang, D.; Wang, H.; Han, B.; Wang, B.; Guo, A.; Zheng, D.; Liu, C.; Chang, L.; Peng, M.; Wang, X. Sodium instead of potassium and chloride is an important macronutrient to improve leaf succulence and shoot development for halophyte Sesuvium portulacastrum. Plant Physiol. Biochem. 2012, 51, 53–62. [Google Scholar] [CrossRef] [PubMed]
- Landorfa-Svalbe, Z.; Andersone-Ozola, U.; Ievinsh, G. Type of anion largely determines salinity tolerance in four Rumex species. Plants 2023, 12, 92. [Google Scholar] [CrossRef]
- Schück, M.; Greger, M. Chloride removal capacity and salinity tolerance in wetland plants. J. Environ. Manag. 2022, 308, 114553. [Google Scholar] [CrossRef]
- Moinuddin, M.; Gulzar, S.; Ahmed, M.; Gul, B.; Koyro, H.-W.; Khan, M.A. Excreting and non-excreting grasses exhibit different salt resistance strategies. AoB Plants 2014, 6, plu038. [Google Scholar] [CrossRef]
- Liu, L.; Li, X.; Wang, C.; Ni, Y.; Liu, X. The role of chloride channels in plant responses to NaCl. Int. J. Mol. Sci. 2024, 25, 19. [Google Scholar] [CrossRef]
- Malakar, P.; Chattopadhyay, D. Adaptation of plants to salst stress: The role of the ion transporters. J. Plant Biochem. Biotechnol. 2021, 30, 668–683. [Google Scholar] [CrossRef]
- Wu, H.; Li, Z. The importance of Cl− exclusion and vacuolar Cl− sequestration: Revisiting the role of Cl− transport in plant salinity tolerance. Front. Plant Sci. 2019, 10, 1418. [Google Scholar] [CrossRef]
- Carillo, J.T.; Barthakur, D. Methods for metal chelation in plant homeostasis: Review. Plant Physiol. Biochem. 2021, 163, 95–107. [Google Scholar] [CrossRef]
- Seregin, I.V.; Kozhevnikova, A.D. The role of low-molecular-weight organic acids in metal homeostasis in plants. Int. J. Mol. Sci. 2024, 25, 9542. [Google Scholar] [CrossRef] [PubMed]
- Lin, S.-H.; Kuo, H.-F.; Canivenc, G.; Lin, C.-S.; Lepetit, M.; Hsu, P.-K.; Tillard, P.; Lin, H.-L.; Wang, Y.-Y.; Tsai, C.-B.; et al. Mutation of the Arabidopsis NRT1.5 nitrate transporter causes defective root-to-shoot nitrate transport. Plant Cell 2008, 20, 2514–2528. [Google Scholar] [CrossRef] [PubMed]
- Leidi, E.; Lips, S. Effect of NaCl salinity on photosynthesis, 14C translocation, and yield in wheat plants irrigated with ammonium or nitrate solutions. Irrig. Sci. 2004, 11, 155–161. [Google Scholar] [CrossRef]
- Wen, Z.; Tyerman, S.D.; Dechorgnat, J.; Ovchinnikova, E.; Dhugga, K.S.; Kaiser, B.N. Maize NPF6 proteins are homologs of Arabidopsis CHL1 that are selective for both nitrate and chloride. Plant Cell 2017, 29, 2581–2596. [Google Scholar] [CrossRef]
- Schachtman, D.; Liu, W. Molecular pieces to the puzzle of the interaction between potassium and sodium uptake in plants. Trends Plant Sci. 1999, 4, 281–287. [Google Scholar] [CrossRef]
- Raddatz, N.; de los Rios, L.M.; Lindahl, M.; Quintero, F.J. Coordinated transport of nitrate, potassium, and sodium. Front. Plant Sci. 2020, 11, 247. [Google Scholar] [CrossRef]
- Hauer-Jákli, M.; Tränkner, M. Critical leaf magnesium thresholds and the impact of magnesium on plant growth and photo-oxidative defense: A systematic review and meta-analysis on 70 years of research. Front. Plant Sci. 2019, 10, 766. [Google Scholar] [CrossRef]
- Marcum, K.B.; Murdoch, C.L. Salt tolerance of the coastal marsh grass, Sporobolus virginicus (L.) Kunth. New Phytol. 1992, 120, 281–288. [Google Scholar] [CrossRef]
- Purmale, L.; Osvalde, A.; Karlsons, A.; Ievinsh, G. Comparison of two subspecies of a halophytic multi-use plant Mertensia maritima in vitro and ex vitro: Propagation, salinity tolerance and mineral nutrition. Envrion. Exp. Biol. 2024, 22, 29–40. [Google Scholar] [CrossRef]
- Jēkabsone, A.; Andersone-Ozola, U.; Karlsons, A.; Romanovs, M.; Ievinsh, G. Effect of salinity on growth, ion accumulation and mineral nutrition of different accessions of a crop wild relative legume species, Trifolium fragiferum. Plants 2022, 11, 797. [Google Scholar] [CrossRef]
- Qu, S.; Li, H.; Zhang, X.; Gao, J.; Ma, R.; Ma, L.; Ma, J. Effects of magnesium imbalance on root growth and nutrient absorption in different genotypes of vegetable crops. Plants 2023, 12, 3518. [Google Scholar] [CrossRef] [PubMed]
- Sardans, J.; Lambers, H.; Preece, C.; Alrefaei, A.F.; Peñuelas, J. Role of mycorrhizas and root exudates in plant uptake of soil nutrients (calcium, iron, magnesium, and potassium): Has the puzzle been completely solved? Plant J. 2023, 114, 1227–1243. [Google Scholar] [CrossRef] [PubMed]
- Nazir, F.; Mahajan, M.; Khatoon, S.; Albaqami, M.; Ashfaque, F.; Chhillar, H.; Chopra, P.; Khan, M.I.R. Sustaining nitrogen dynamics: A critical aspect for improving salt tolerance in plants. Front. Plant Sci. 2019, 14, 1087946. [Google Scholar] [CrossRef] [PubMed]
- de Bang, T.C.; Husted, S.; Laursen, K.H.; Persson, D.P.; Schjoerring, J.K. The molecular–physiological functions of mineral macronutrients and their consequences for deficiency symptoms in plants. New Phytol. 2021, 229, 2446–2469. [Google Scholar] [CrossRef]
- Grebisz, W.; Zielewicz, W.; Przygocka-Cyna, K. Deficiencies of secondary nutrients in crop plants—A real challenge to improve nitrogen management. Agronomy 2023, 13, 66. [Google Scholar]
- Mao, J.; Mao, Q.; Zheng, M.; Mo, J. Responses of foliar nutrient status and stoichiometry to nitrogen addition in different ecosystems: A meta-analysis. J. Geophys. Res. Biogeosci. 2020, 125, e2019JG005347. [Google Scholar] [CrossRef]
- Mo, Q.; Wang, W.; Lambers, H.; Chen, Y.; Yu, S.; Wu, C.; Fan, Y.; Zhou, Q.; Li, Z.; Wang, F. Response of foliar mineral nutrients to long-term nitrogen and phosphorus addition in a tropical forest. Funct. Ecol. 2021, 35, 2329–2341. [Google Scholar] [CrossRef]
- Ma, F.; Barrett-Lennard, E.G.; Tian, C.Y. Changes in cell size and tissue hydration (‘succulence’) causes curvilinear growth responses to salinity and watering treatments in euhalophytes. Environ. Exp. Bot. 2018, 159, 87–94. [Google Scholar] [CrossRef]
- Yuan, F.; Leng, B.; Wang, B. Progress in studying salt secretion from the salt glands in recretohalophytes: How do plants secrete salts? Front. Plant Sci. 2016, 7, 977. [Google Scholar] [CrossRef]
- Busoms, S.; Fischer, S.; Yant, L. Chasing the mechanisms of ecologically adaptive salinity tolerance. Plant Commun. 2023, 4, 100571. [Google Scholar] [CrossRef]
- Wang, X.; Rao, H.; Ma, J.; Chen, X.; Li, G.; Zhao, G. Genomic variation landscape of the model salt cress Eutrema salsugineum. Front. Plant Sci. 2021, 12, 700161. [Google Scholar] [CrossRef]
- Ohga, K.; Muroi, M.; Hayakawa, H.; Yokoyama, J.; Ito, K.; Tebayashi, S.-I.; Arakawa, R.; Fukuda, T. Coastal adaptation of Adenophora triphylla var. japonica (Campanulaceae). Am. J. Plant Sci. 2013, 4, 596–601. [Google Scholar] [CrossRef]
- Zambiasi, T.; Lowry, D.B. Ocean exposure and latitude drive multiple clines within the coastal perennial ecotype of the yellow monkeyflower, Mimulus guttatus. Am. J. Bot. 2024, 111, e16402. [Google Scholar] [CrossRef]













Disclaimer/Publisher’s Note: The statements, opinions and data contained in all publications are solely those of the individual author(s) and contributor(s) and not of MDPI and/or the editor(s). MDPI and/or the editor(s) disclaim responsibility for any injury to people or property resulting from any ideas, methods, instructions or products referred to in the content. |
© 2026 by the authors. Licensee MDPI, Basel, Switzerland. This article is an open access article distributed under the terms and conditions of the Creative Commons Attribution (CC BY) license.
Share and Cite
Karlsons, A.; Osvalde, A.; Andersone-Ozola, U.; Jēkabsone, A.; Ievinsh, G. Growth and Mineral Nutrition of Two Accessions of the Coastal Grass Species Leymus arenarius Under Chloride and Nitrate Salinity Conditions. Grasses 2026, 5, 3. https://doi.org/10.3390/grasses5010003
Karlsons A, Osvalde A, Andersone-Ozola U, Jēkabsone A, Ievinsh G. Growth and Mineral Nutrition of Two Accessions of the Coastal Grass Species Leymus arenarius Under Chloride and Nitrate Salinity Conditions. Grasses. 2026; 5(1):3. https://doi.org/10.3390/grasses5010003
Chicago/Turabian StyleKarlsons, Andis, Anita Osvalde, Una Andersone-Ozola, Astra Jēkabsone, and Gederts Ievinsh. 2026. "Growth and Mineral Nutrition of Two Accessions of the Coastal Grass Species Leymus arenarius Under Chloride and Nitrate Salinity Conditions" Grasses 5, no. 1: 3. https://doi.org/10.3390/grasses5010003
APA StyleKarlsons, A., Osvalde, A., Andersone-Ozola, U., Jēkabsone, A., & Ievinsh, G. (2026). Growth and Mineral Nutrition of Two Accessions of the Coastal Grass Species Leymus arenarius Under Chloride and Nitrate Salinity Conditions. Grasses, 5(1), 3. https://doi.org/10.3390/grasses5010003

