Herbage Responses and Grazing Performance of Mature Horses in Warm-Season Perennial Grass–Legume Mixed Pastures
Abstract
1. Introduction
2. Materials and Methods
2.1. Experimental Site, Management, and Treatments
2.2. Herbage Responses
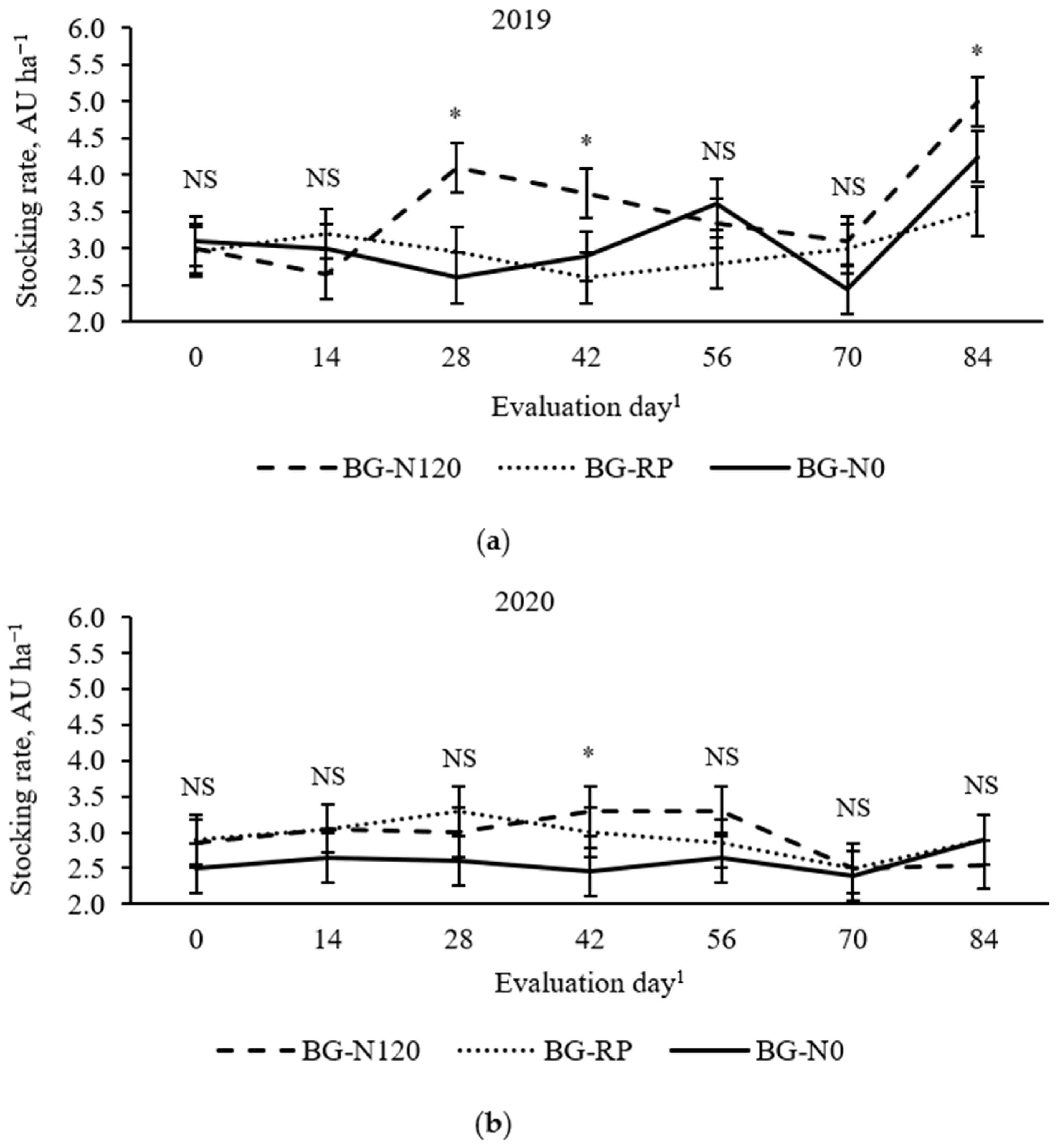
2.2.1. Stocking Rate
2.2.2. Herbage Accumulation Rate and Mass
2.2.3. Botanical Composition
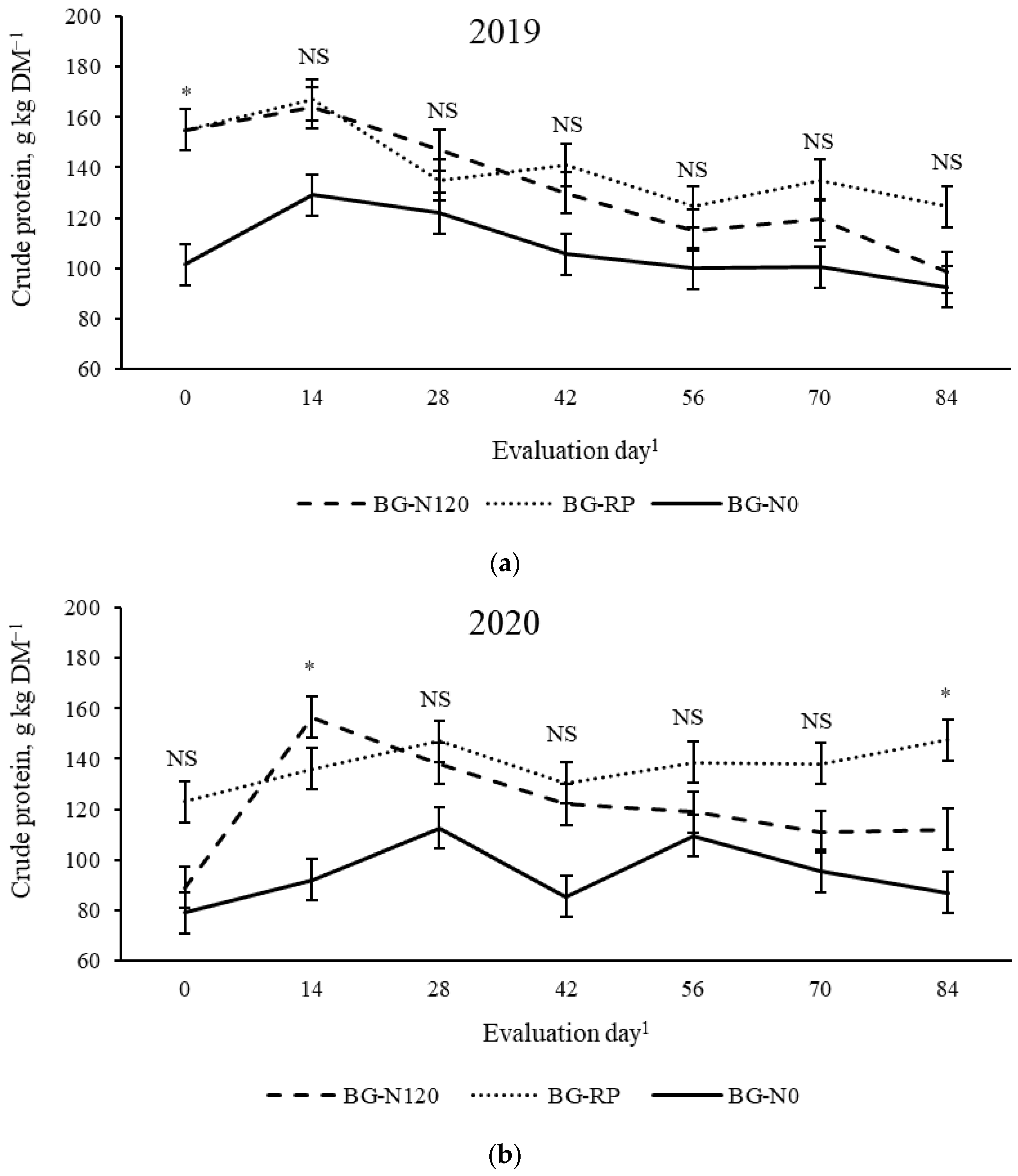
2.2.4. Nutrient Composition
2.3. Animal Responses
2.3.1. Dry Matter and Nutrient Intake and Digestibility
2.3.2. Proportion of Rhizoma Peanut in the Diet
2.3.3. Body Measurements
2.4. Statistical Analysis
3. Results
3.1. Herbage Responses
3.1.1. Stocking Rate
3.1.2. Herbage Accumulation Rate and Mass
3.1.3. Botanical Composition
3.1.4. Nutrient Composition
3.2. Animal Responses
3.2.1. Dry Matter and Nutrient Intake and Digestibility
3.2.2. Proportion of Rhizoma Peanut in the Feces
3.2.3. Body Measurements
4. Discussion
4.1. Herbage Responses
4.2. Animal Responses
5. Conclusions
Author Contributions
Funding
Institutional Review Board Statement
Informed Consent Statement
Data Availability Statement
Acknowledgments
Conflicts of Interest
References
- Feige, K.; Furst, A.; Eser, M.W. Effects of housing, feeding, and use on equine health with emphasis on respiratory and gastrointestinal disease. Schweiz. Arch. Tierheilkd 2002, 144, 348–355. [Google Scholar] [CrossRef]
- Berndt, A.; Derksen, F.J.; Robinson, N.E. Endotoxin concentrations within the breathing zone of horses are higher in stables than on pasture. Vet. J. 2010, 183, 54–57. [Google Scholar] [CrossRef] [PubMed]
- O’Neill, H.V.M.; Keen, J.; Dumbell, L. A comparison of the occurrence of common dental abnormalities in stabled and free-grazing horses. Animal 2010, 4, 1697–1701. [Google Scholar] [CrossRef] [PubMed]
- Viana, M.C.M.; Freire, F.M.; Ferreira, J.J.; Macêdo, A.R.; Cantarutti, R.B.; Mascarenhas, M.H.T. Adubação nitrogenada na produção e composição do capim braquiária sob pastejo rotacionado. Rev. Bras. Zoo. 2011, 40, 1497–1503. [Google Scholar] [CrossRef]
- Vendramini, J.M.B.; Silveira, M.L.A.; Dubeux, J.C.B., Jr.; Sollenberger, L.E. Environmental impacts and nutrient recycling on pastures grazed by cattle. Rev. Bras. Zoo. 2007, 36, 139–149. [Google Scholar] [CrossRef]
- Sollenberger, L.E.; Jones, C.S.; Prine, G.M. Animal performance on dwarf elephant grass and rhizoma peanut pastures. In Proceedings of the XVI International Grassland Congress, Nice, France, 6 September 1989. [Google Scholar]
- Jaramillo, D.M.; Dubeux, J.C.; Sollenberger, L.E.; Vendramini, J.; Mackowiak, C.; DiLorenzo, N.; Garcia, L.; Dantas Queiroz, L.M.; Santos, E.R.D.S.; Homem, B.G.C.; et al. Water footprint, herbage, and livestock responses for nitrogen-fertilized grass and grass-legume grazing systems. Crop Sci. 2021, 61, 3844–3858. [Google Scholar] [CrossRef]
- Dubeux, J.C., Jr.; Blount, A.R.; Mackowiak, C.; Santos, E.R.; Pereira Neto, J.D.; Riveros, U.; Garcia, L.; Jaramillo, D.M.; Ruiz-Moreno, M. Biological N2 fixation, belowground responses, and forage potential of rhizoma peanut cultivars. Crop Sci. 2017, 57, 1027–1038. [Google Scholar] [CrossRef]
- Muir, J.P.; Pitman, W.D.; Foster, J.L. Sustainable, low-input warm-season pasture grass-legume mixes: Mission (nearly) impossible? Grass Forage Sci. 2011, 66, 301–452. [Google Scholar] [CrossRef]
- Castillo, M.S.; Sollenberger, L.E.; Blount, A.R.; Ferrell, J.A.; Williams, M.J.; Mackowiak, C.L. Strip planting a legume into warm-season grass pasture: Defoliation effects during the year of establishment. Crop Sci. 2013, 53, 724–731. [Google Scholar] [CrossRef]
- Mullenix, M.K.; Sollenberger, L.E.; Blount, A.R.; Vendramini, J.; Silveira, M.L.; Castillo, M.S. Growth habit of rhizoma peanut affects establishment and spread when strip planted in bahiagrass pastures. Crop Sci. 2014, 54, 2886–2892. [Google Scholar] [CrossRef]
- Vasco, A.C.C.M.; Dubeux, J.C.B.; Wallau, M.O.; Wickens, C.L.; Warren, L.K. Characterization of Forage Utilization and Pasture Management Practices on Florida Horse Operations. J. Equine Vet. Sci. 2020, 95, 103253. [Google Scholar] [CrossRef] [PubMed]
- Santos, E.R.; Dubeux, J.C., Jr.; Sollenberger, L.E.; Blount, A.R.; Mackowiak, C.; DiLorenzo, N.; Jaramillo, D.M.; Garcia, L.; Pereira, T.P.; Ruiz-Moreno, M. Herbage responses and biological N2 fixation of bahiagrass and rhizoma peanut monocultures compared with their binary mixtures. Crop Sci. 2018, 58, 2149–2163. [Google Scholar] [CrossRef]
- Federation of Animal Science Societies (FASS). Guide for the Care and Use of Agricultural Animals in Research and Teaching, 3rd ed.; Federation of Animal Science Societies: Champaign, IL, USA, 2010. [Google Scholar]
- USDA Soil Survey Staff. Web Soil Survey; USDA Natural Resource Conservation Service: Washington, DC, USA, 2019.
- Sollenberger, L.E.; Moore, J.E.; Allen, V.G.; Pedreira, C.G. Reporting forage allowance in grazing experiments. Crop Sci. 2005, 45, 896–900. [Google Scholar] [CrossRef]
- Haydock, K.P.; Shaw, N.H. The comparative yield method for estimating dry matter yield of pasture. Aust. J. Exp. Agric. 1975, 15, 663–670. [Google Scholar] [CrossRef]
- Vendramini, J.M.B.; Sollenberger, L.E.; Lamb, G.C.; Foster, J.L.; Liu, K.; Maddox, M.K. Forage accumulation, nutritive value, and persistence of ‘Mulato II’ brachiariagrass in Northern Florida. Crop Sci. 2012, 52, 914–922. [Google Scholar] [CrossRef]
- Ortega-S, J.A.; Sollenberger, L.E.; Quesenberry, K.H.; Cornell, J.A.; Jones, C.S., Jr. Productivity and persistence of rhizoma peanut pastures under different grazing managements. Agron. J. 1992, 84, 799–804. [Google Scholar] [CrossRef]
- McEvoy, M.; Delaby, L.; Murphy, J.; Boland, T.; O’Donovan, M. Effect of herbage mass and allowance on sward characteristics, milk production, intake and rumen volatile fatty acid concentration. Grass Forage Sci. 2010, 65, 335–347. [Google Scholar] [CrossRef]
- Titgemeyer, E.C.; Armendariz, C.K.; Bindel, D.J.; Greenwood, R.H.; Löest, C.A. Evaluation of titanium dioxide as a digestibility marker for cattle. J. Anim. Sci. 2001, 79, 1059–1063. [Google Scholar] [CrossRef]
- Winsco, K.N.; Coverdale, J.A.; Wickersham, T.A.; Lucia, J.L.; Hammer, C.J. Influence of maternal plane of nutrition on mares and their foals: Determination of mare performance and voluntary dry matter intake during late pregnancy using a dual-marker system. J. Anim. Sci. 2013, 91, 4208–4215. [Google Scholar] [CrossRef][Green Version]
- Garcia, L.; Dubeux, J.C., Jr.; Sollenberger, L.E.; Vendramini, J.M.; DiLorenzo, N.; Santos, E.R.; Jaramillo, D.M.; Ruiz-Moreno, M. Nutrient excretion from cattle grazing n-fertilized grass or grass-legume pastures. Agron. J. 2021, 113, 3110–3123. [Google Scholar] [CrossRef]
- Krizsan, S.J.; Huhtanen, P. Effect of diet composition and incubation time on feed indigestible neutral detergent fiber concentration in dairy cows. J. Dairy Sci. 2013, 96, 1715–1726. [Google Scholar] [CrossRef] [PubMed]
- Jones, R.J.; Ludlow, M.M.; Troughton, J.H.; Blunt, C.G. Estimation of the proportion of C3 and C4 plant species in the diet of animals from the ratio of natural 12C and 13C isotopes in the faeces. J. Agric. Sci. 1979, 92, 91–100. [Google Scholar] [CrossRef]
- Henneke, D.R.; Potter, G.D.; Kreider, J.L.; Yeates, B.F. Relationship between condition score, physical measurements and body fat percentage in mares. Equine Vet. J. 1983, 15, 371–372. [Google Scholar] [CrossRef]
- Westervelt, R.G.; Stouffer, J.R.; Hintz, H.F.; Schryver, H.F. Estimating fatness in horses and ponies. J. Anim. Sci. 1976, 43, 781–785. [Google Scholar] [CrossRef]
- Burk, A.O.; Fiorellino, N.M.; Shellem, T.A.; Dwyer, M.E.; Vough, L.R.; Dengler, E. Field Observations from the University of Maryland’s Equine Rotational Grazing Demonstration Site: A Two Year Perspective. J. Equine Vet. Sci. 2011, 31, 302–303. [Google Scholar] [CrossRef]
- Singer, J.W.; Bamka, W.J.; Kluchinski, D.; Govindasamy, R. Using the recommended stocking density to predict equine pasture management. J. Equine Vet. Sci. 2002, 22, 73–76. [Google Scholar] [CrossRef]
- Patton, B.D.; Dong, X.; Nyren, P.E.; Nyren, A. Effects of grazing intensity, precipitation, and temperature on forage production. Rangel. Ecol. Manag. 2007, 60, 656–665. [Google Scholar] [CrossRef]
- Mullenix, M.K.; Sollenberger, L.E.; Wallau, M.O.; Rowland, D.L.; Blount, A.R.; Vendramini, J.M.; Silveira, M.L. Sward structure, light interception, and rhizome-root responses of rhizoma peanut cultivars and germplasm to grazing management. Crop Sci. 2016, 56, 899–906. [Google Scholar] [CrossRef]
- Berdahl, J.D.; Karn, J.F.; Hendrickson, J.R. Dry matter yields of cool-season grass monocultures and grass–alfalfa binary mixtures. Agron. J. 2001, 93, 463–467. [Google Scholar] [CrossRef]
- DeBoer, M.L.; Grev, A.M.; Sheaffer, C.C.; Wells, M.S.; Martinson, K.L. Herbage mass, botanical composition, forage nutritive value, and preference of grass–legume pastures under horse grazing. Crop. Forage Turfgrass Manag. 2020, 6, e20032. [Google Scholar] [CrossRef]
- Edwards, E.J.; Osborne, C.P.; Stromberg, C.A.; Smith, S.A.; Bond, W.J.; Christin, P.A.; Cousins, A.B.; Duvall, M.R.; Fox, D.L.; Freckleton, R.P.; et al. The origins of C4 grasslands: Integrating evolutionary and ecosystem science. Science 2010, 328, 587–591. [Google Scholar] [CrossRef] [PubMed]
- Gowik, W.; Westhoff, P. The path from C3 to C4 photosynthesis. Plant Physiol. 2011, 155, 56–63. [Google Scholar] [CrossRef] [PubMed]
- Dunavin, L.S. Florigraze rhizoma peanut in association with warm-season perennial grasses. Agron. J. 1992, 84, 148–151. [Google Scholar] [CrossRef]
- Rook, A.J.; Dumont, B.; Isselstein, J.; Osoro, K.; Wallis DeVries, M.F.; Parente, G.; Mills, J. Matching type of livestock to desired biodiversity outcomes in pastures—A review. Biol. Conserv. 2004, 119, 137–150. [Google Scholar] [CrossRef]
- Di Tomaso, J.M. Approaches for improving crop competitiveness through the manipulation of fertilization strategies. Weed Sci. 1995, 43, 491–497. [Google Scholar] [CrossRef]
- Wang, L.; Liu, Q.; Dong, X.; Liu, Y.; Lu, J. Herbicide and nitrogen rate effects on weed suppression, N uptake, use efficiency and yield in winter oilseed rape (Brassica napus L.). Glob. Ecol. Conserv. 2019, 17, e00529. [Google Scholar] [CrossRef]
- Drenovsky, R.E.; James, J.J. Designing invasion-resistant plant communities. The role of plant functional traits. Rangelands 2010, 32, 32–37. [Google Scholar] [CrossRef]
- Sanderson, M.A.; Brink, G.; Stout, R.; Ruth, L. Grass–legume proportions in forage seed mixtures and effects on herbage yield and weed abundance. Agron. J. 2013, 105, 1289–1297. [Google Scholar] [CrossRef]
- DeBoer, M.L.; Hathaway, M.R.; Kuhle, K.J.; Weber, P.S.D.; Reiter, A.S.; Sheaffer, C.C.; Wells, M.S.; Martinson, K.L. Glucose and insulin response of horses grazing alfalfa, perennial cool-season grass, and teff across seasons. J. Vet. Equine Sci. 2018, 68, 33–38. [Google Scholar] [CrossRef]
- National Research Council (NRC). Nutrient Requirements of Horses, 6th revised ed.; National Academy Press: Washington, DC, USA, 2007. [Google Scholar]
- Ghajar, S.M.; McKenzie, H.; Fike, J.; McIntosh, B.; Tracy, B.F. Evaluating digestibility and toxicity of native warm-season grasses for equines. Transl. Anim. Sci. 2021, 5, txaa224. [Google Scholar] [CrossRef]
- Chatterton, N.J.; Harrison, P.A.; Bennett, J.H.; Asay, K.H. Carbohydrate partitioning in 185 accessions of Gramineae grown under warm and cool temperatures. J. Plant Physiol. 1989, 134, 169–179. [Google Scholar] [CrossRef]
- Zhao, D.; MacKown, C.T.; Starks, P.J.; Kindiger, B.K. Interspecies variation of forage nutritive value and nonstructural carbohydrates in perennial cool-season grasses. Agron. J. 2008, 100, 837–844. [Google Scholar] [CrossRef]
- Borgia, L.; Valberg, S.; Watts, K.; Pagan, J. Glycemic/insulemic response to feeding hay with different water-soluble carbohydrate content in healthy and Polysaccharide Storage Myopathy-affected horses. J. Equine Vet. Sci. 2009, 5, 355–357. [Google Scholar] [CrossRef]
- Frank, N. Equine metabolic syndrome. Vet. Clin. N. Am. Equine Pract. 2011, 27, 73–92. [Google Scholar] [CrossRef]
- Perry, L.; Baltensperger, D. Leaf and stem yields and forage quality of three n-fertilized warm-season grasses. Agron. J. 1979, 71, 355–358. [Google Scholar] [CrossRef]
- Kohmann, M.M.; de Oliveira Bauer, M.; Sollenberger, L.E.; Moreno, L.S.; da Silva, L.S.; Saraiva, S.; Dubeux, J.C., Jr. Legume proportion affects bahiagrass–rhizoma peanut mixture production and nutritive value and legume composition of cattle diets. Appl. Animal Sci. 2022, 38, 560–569. [Google Scholar] [CrossRef]
- Smith, D.G.; Mayes, R.W.; Hollands, T.; Cuddeford, D.; Yule, H.H.; Ladrero, C.M.; Gillen, E. Validating the alkane pair technique to estimate dry matter intake in equids. J. Agric. Sci. 2007, 145, 273–281. [Google Scholar] [CrossRef]
- Longland, A.C.; Ince, J.; Harris, P.A. Estimation of pasture intake by ponies from liveweight change during six weeks at pasture. J. Equine Vet. Sci. 2011, 5, 275–276. [Google Scholar] [CrossRef]
- Cymbaluk, N.F. Comparison of forage digestion by cattle and horses. Can. J. Anim. Sci. 1990, 70, 601–610. [Google Scholar] [CrossRef]
- Cuddeford, D. Factors affecting feed intake. In Equine Applied and Clinical Nutrition, 1st ed.; Geor, R.J., Harris, P.A., Coenen, M., Eds.; Saunders Elsevier: New York, NY, USA, 2013; pp. 64–79. [Google Scholar]
- Houpt, K.A. Mastication and Feeding in Horses. In Feeding in Domestic Vertebrates: From Structure to Behaviour, 1st ed.; Bells, V., Ed.; CABI: London, UK, 2006; pp. 195–209. [Google Scholar]
- Rice, R.W.; Sollenberger, L.E.; Quesenberry, K.H.; Prine, G.M.; French, E.C. Establishment of rhizoma perennial peanut with varied rhizome nitrogen and carbohydrate concentrations. Agron. J. 1996, 88, 61–66. [Google Scholar] [CrossRef]
- LaCasha, P.; Brady, H.; Allen, V.; Richardson, C.; Pond, K. Voluntary intake, digestibility, and subsequent selection of Matua bromegrass, coastal bermudagrass, and alfalfa hays by yearling horses. J. Anim. Sci. 1999, 77, 2766–2773. [Google Scholar] [CrossRef] [PubMed]
- Sturgeon, L.S.; Baker, L.A.; Pipkin, J.L.; Haliburton, J.C.; Chirase, N.K. The digestibility and mineral availability of matua, bermuda grass, and afalfa hay in mature horses. J. Equine Vet. Sci. 2000, 20, 45–48. [Google Scholar] [CrossRef]
- Eckert, J.V.; Myer, R.O.; Warren, L.K.; Brendemuhl, J.H. Digestibility and nutrient retention of perennial peanut and bermudagrass hays for mature horses. J. Anim. Sci. 2010, 88, 2055–2061. [Google Scholar] [CrossRef] [PubMed]
- Hansen, T.L.; Chizek, E.L.; Zugay, O.K.; Miller, J.M.; Bobel, J.M.; Chouinard, J.W.; Adkin, A.M.; Skurupey, L.A.; Warren, L.K. Digestibility and retention time of coastal bermudagrass (Cynodon dactylon) hay by horses. Animals 2019, 9, 1148. [Google Scholar] [CrossRef]
- Stevens, D.M.; Van Ryssen, J.B.J.; Marais, J.P. The use of n-alkane markers to estimate the intake and apparent digestibility of ryegrass and Kikuyu by horses. S. Afr. J. Anim. Sci. 2002, 32, 50–56. [Google Scholar] [CrossRef]
- Ferreira, L.M.M.; Garcia, U.; Rodrigues, M.A.M.; Celaya, R.; Dias-da-Silva, A.; Osoro, K. Estimation of feed intake and apparent digestibility of equines and cattle grazing on heathland vegetation communities using the n-alkane markers. Livest. Sci. 2007, 110, 46–56. [Google Scholar] [CrossRef]
- Burns, J.C.; Pond, K.R.; Fisher, D.S.; Luginbuhl, J.M. Changes in forage quality, ingestive mastication, and digesta kinetics resulting from switchgrass maturity. J. Anim. Sci. 1997, 75, 1368–1379. [Google Scholar] [CrossRef]
- Staniar, W.B.; Bussard, J.R.; Repard, N.M.; Hall, M.H.; Burk, A.O. Voluntary intake and digestibility of teff hay fed to horses. J. Anim. Sci. 2010, 88, 3296–3303. [Google Scholar] [CrossRef]
- Neto, J.D.P.; Junior, J.C.B.D.; de Carvalho, F.F.R.; dos Santos, M.V.F.; Ruiz-Moreno, M.; da Silva Santos, E.R. Tracing back sheep diet composition feeding grass-legume mixtures using fecal δ13C. Small Rumin. Res. 2019, 175, 7–14. [Google Scholar] [CrossRef]
- van Cleef, F.O.; Dubeux, J.C., Jr.; Naumann, H.D.; Santos, E.R.; Sollenberger, L.E.; Vendramini, J.M.; Ruiz-Moreno, M.; Ciriaco, F.M.; DiLorenzo, N. Methane emissions and δ13C composition from beef steers consuming increasing proportions of sericea lespedeza hay on bermudagrass hay diets. J. Anim. Sci. 2021, 99, skab224. [Google Scholar] [CrossRef]
- Jaramillo, D.M.; Ruiz-Moreno, M.; Vendramini, J.M.B.; Sollenberger, L.E.; DiLorenzo, N.; Queiroz, L.M.D.; Santos, E.R.S.; Garcia, L.; Abreu, D.S.; Dubeux, J.C.B., Jr. Methane emissions and 13C composition from beef steers consuming binary C3–C4 diets. J. Anim. Sci. 2023, 101, skad181. [Google Scholar] [CrossRef] [PubMed]
- Van Den Berg, M.; Giagos, V.; Lee, C.; Brown, W.Y.; Hinch, G.N. Acceptance of novel food by horses: The influence of food cues and nutrient composition. Appl. Anim. Behav. Sci. 2016, 183, 59–67. [Google Scholar] [CrossRef]
- Carter, R.A.; McCutcheon, L.J.; George, L.A.; Smith, T.L.; Frank, N.; Geor, R.J. Effects of diet-induced weight gain on insulin sensitivity and plasma hormone and lipid concentrations in horses. Am. J. Vet. Res. 2009, 70, 1250–1258. [Google Scholar] [CrossRef]
- Dugdale, A.H.A.; Grove-White, D.; Curtis, G.C.; Harris, P.A.; Argo, C.M. Body condition scoring as a predictor of body fat in horses and ponies. Vet. J. 2012, 194, 173–178. [Google Scholar] [CrossRef]















| Year | Evaluation Day | ||||||
|---|---|---|---|---|---|---|---|
| 0 | 14 | 28 | 42 | 56 | 70 | 84 | |
| 2019 | 11 July | 25 July | 8 August | 22 August | 5 September | 19 September | 3 October |
| 2020 | 16 July | 30 July | 13 August | 27 August | 10 September | 24 September | 8 October |
| Item | Pasture 1 | p-Value | ||||
|---|---|---|---|---|---|---|
| BG-RP | BG-N120 | BG-N0 | Pasture | Day | Pasture × Day | |
| Fecal output, kg DM d−1 | 7.7 b | 10.1 ab | 13.4 a | 0.03 | 0.08 | 0.81 |
| Intake | ||||||
| Dry matter, %BW | 3.2 b | 3.7 ab | 5.0 a | 0.03 | 0.05 | 0.87 |
| Dry matter, kg d−1 | 17.2 b | 19.9 ab | 27.0 a | 0.04 | 0.05 | 0.93 |
| Organic matter, kg d−1 | 16.1 b | 18.8 ab | 25.3 b | 0.02 | 0.02 | 0.91 |
| Digestible energy, Mcal d−1 | 35.2 b | 38.8 ab | 55.2 a | 0.02 | 0.02 | 0.62 |
| Crude protein, kg d−1 | 2.1 | 2.4 | 2.9 | 0.10 | 0.05 | 0.41 |
| Neutral detergent fiber, kg d−1 | 11.0 b | 13.9 ab | 19.3 a | 0.01 | 0.03 | 0.90 |
| Acid detergent fiber, kg d−1 | 6.7 b | 7.9 ab | 11.0 a | 0.01 | 0.02 | 0.86 |
| Non-structural carbohydrates, kg d−1 | 1.3 | 1.4 | 2.0 | 0.43 | 0.02 | 0.81 |
| Estimated In Vivo Digestibility, g kg−1 | ||||||
| Dry matter | 546 | 495 | 502 | 0.30 | 0.01 | 0.31 |
| Organic matter | 571 | 524 | 536 | 0.34 | 0.01 | 0.16 |
| Crude protein | 587 | 527 | 473 | 0.14 | <0.01 | 0.03 |
| Neutral detergent fiber | 525 | 509 | 529 | 0.32 | 0.01 | 0.15 |
| Acid detergent fiber | 512 | 497 | 516 | 0.64 | 0.10 | 0.31 |
| Non-structural carbohydrates | 820 | 770 | 763 | 0.18 | 0.01 | 0.05 |
| Item | Pasture ¹ | p-Value | ||||
|---|---|---|---|---|---|---|
| BG-RP | BG-N120 | BG-N0 | Pasture | Day | Pasture × Day | |
| Body weight, kg | 540 | 542 | 531 | 0.66 | 0.09 | 0.76 |
| BCS | 6.1 | 5.9 | 5.8 | 0.44 | 0.11 | 0.69 |
| Body fat, % | 15.5 | 14.7 | 14.5 | 0.62 | 0.03 | 0.26 |
Disclaimer/Publisher’s Note: The statements, opinions and data contained in all publications are solely those of the individual author(s) and contributor(s) and not of MDPI and/or the editor(s). MDPI and/or the editor(s) disclaim responsibility for any injury to people or property resulting from any ideas, methods, instructions or products referred to in the content. |
© 2025 by the authors. Licensee MDPI, Basel, Switzerland. This article is an open access article distributed under the terms and conditions of the Creative Commons Attribution (CC BY) license (https://creativecommons.org/licenses/by/4.0/).
Share and Cite
Cerqueira de Melo Vasco, A.C.; da Silva Santos, E.R.; Batista Dubeux Junior, J.C.; Sollenberger, L.E.; Wallau, M.O.; Soares Vasco Neto, H.L.; Lance, J.M.; Warren, L.K.; Wickens, C.L. Herbage Responses and Grazing Performance of Mature Horses in Warm-Season Perennial Grass–Legume Mixed Pastures. Grasses 2025, 4, 15. https://doi.org/10.3390/grasses4020015
Cerqueira de Melo Vasco AC, da Silva Santos ER, Batista Dubeux Junior JC, Sollenberger LE, Wallau MO, Soares Vasco Neto HL, Lance JM, Warren LK, Wickens CL. Herbage Responses and Grazing Performance of Mature Horses in Warm-Season Perennial Grass–Legume Mixed Pastures. Grasses. 2025; 4(2):15. https://doi.org/10.3390/grasses4020015
Chicago/Turabian StyleCerqueira de Melo Vasco, Ana Caroline, Erick R. da Silva Santos, Jose C. Batista Dubeux Junior, Lynn E. Sollenberger, Marcelo O. Wallau, Helio Lauro Soares Vasco Neto, Jill M. Lance, Lori K. Warren, and Carissa L. Wickens. 2025. "Herbage Responses and Grazing Performance of Mature Horses in Warm-Season Perennial Grass–Legume Mixed Pastures" Grasses 4, no. 2: 15. https://doi.org/10.3390/grasses4020015
APA StyleCerqueira de Melo Vasco, A. C., da Silva Santos, E. R., Batista Dubeux Junior, J. C., Sollenberger, L. E., Wallau, M. O., Soares Vasco Neto, H. L., Lance, J. M., Warren, L. K., & Wickens, C. L. (2025). Herbage Responses and Grazing Performance of Mature Horses in Warm-Season Perennial Grass–Legume Mixed Pastures. Grasses, 4(2), 15. https://doi.org/10.3390/grasses4020015

