Associations Between Meeting 24-Hour Movement Guidelines and Health Indicators in Children with and Without Mental, Behavioral, and Developmental Disorders
Abstract
1. Introduction
2. Materials and Methods
2.1. Study Design and Participants
2.2. Measurement of MBDDs
2.3. Measurement of 24-Hour Movement Guidelines Adherence
2.3.1. Physical Activity
2.3.2. Sleep Duration
2.3.3. Screen Time
2.4. Measurement of Health Indicators
2.4.1. General Physical Health
2.4.2. Emotional Regulation
2.4.3. Cognitive Functioning
2.4.4. Social Functioning
2.5. Covariates
2.6. Statistical Analysis
2.7. Role of the Funding Source
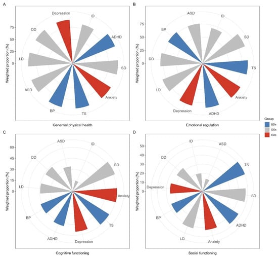
3. Results
4. Discussion
5. Conclusions
Supplementary Materials
Author Contributions
Funding
Institutional Review Board Statement
Informed Consent Statement
Data Availability Statement
Acknowledgments
Conflicts of Interest
References
- GBD Results. Institute for Health Metrics and Evaluation. Available online: https://vizhub.healthdata.org/gbd-results (accessed on 28 February 2023).
- De la Cruz, L.F.; Mataix-Cols, D. General health and mortality in Tourette syndrome and chronic tic disorder: A mini-review. Neurosci. Biobehav. Rev. 2020, 119, 514–520. [Google Scholar] [CrossRef] [PubMed]
- Tosh, G.; Clifton, A.V.; Xia, J.; White, M.M. General physical health advice for people with serious mental illness. Cochrane Database Syst. Rev. 2014, CD008567. [Google Scholar] [CrossRef] [PubMed]
- Eisenhower, A.S.; Baker, B.L.; Blacher, J. Children’s delayed development and behavior problems: Impact on mothers’ perceived physical health across early childhood. Soc. Sci. Med. 2009, 68, 89–99. [Google Scholar] [CrossRef] [PubMed]
- Luijten, M.A.J.; Haverman, L.; van Litsenburg, R.R.L.; Roorda, L.D.; Grootenhuis, M.A.; Terwee, C.B. Advances in measuring pediatric overall health: The PROMIS® Pediatric Global Health scale (PGH-7). Eur. J. Pediatr. 2022, 181, 2117–2125. [Google Scholar] [CrossRef]
- Reyes, N.M.; Pickard, K.; Reaven, J. Emotion regulation: A treatment target for autism spectrum disorder. Bull. Menn. Clin. 2019, 83, 205–234. [Google Scholar] [CrossRef]
- D’Mello, A.M.; Gabrieli, J.D.E. Cognitive Neuroscience of Dyslexia. Lang. Speech Hear. Serv. Sch. 2018, 49, 798–809. [Google Scholar] [CrossRef]
- Hunsche, M.C.; Cervin, M.; Storch, E.A.; Kendall, P.C.; Wood, J.J.; Kerns, C.M. Social functioning and the presentation of anxiety in children on the autism spectrum: A multimethod, multiinformant analysis. J. Psychopathol. Clin. Sci. 2022, 131, 198–208. [Google Scholar] [CrossRef]
- Poitras, V.J.; Gray, C.E.; Borghese, M.M.; Carson, V.; Chaput, J.-P.; Janssen, I.; Katzmarzyk, P.T.; Pate, R.R.; Gorber, S.C.; Kho, M.E.; et al. Systematic review of the relationships between objectively measured physical activity and health indicators in school-aged children and youth. Appl. Physiol. Nutr. Metab. 2016, 41 (Suppl. S3), S197–S239. [Google Scholar] [CrossRef]
- Paulich, K.N.; Ross, J.M.; Lessem, J.M.; Hewitt, J.K. Screen time and early adolescent mental health, academic, and social outcomes in 9- and 10- year old children: Utilizing the Adolescent Brain Cognitive Development SM (ABCD) Study. PLoS ONE 2021, 16, e0256591. [Google Scholar] [CrossRef]
- Carson, V.; Hunter, S.; Kuzik, N.; Gray, C.E.; Poitras, V.J.; Chaput, J.-P.; Saunders, T.J.; Katzmarzyk, P.T.; Okely, A.D.; Gorber, S.C.; et al. Systematic review of sedentary behaviour and health indicators in school-aged children and youth: An update. Appl. Physiol. Nutr. Metab. 2016, 41 (Suppl. S3), S240–S265. [Google Scholar] [CrossRef]
- Chaput, J.-P.; Gray, C.E.; Poitras, V.J.; Carson, V.; Gruber, R.; Olds, T.; Weiss, S.K.; Gorber, S.C.; Kho, M.E.; Sampson, M.; et al. Systematic review of the relationships between sleep duration and health indicators in school-aged children and youth. Appl. Physiol. Nutr. Metab. 2016, 41 (Suppl. S3), S266–S282. [Google Scholar] [CrossRef] [PubMed]
- Tremblay, M.S.; Carson, V.; Chaput, J.-P.; Gorber, S.C.; Dinh, T.; Duggan, M.; Faulkner, G.; Gray, C.E.; Gruber, R.; Janson, K.; et al. Canadian 24-Hour Movement Guidelines for Children and Youth: An Integration of Physical Activity, Sedentary Behaviour, and Sleep. Appl. Physiol. Nutr. Metab. 2016, 41 (Suppl. S3), S311–S327. [Google Scholar] [CrossRef] [PubMed]
- Pan, N.; Lin, L.-Z.; Nassis, G.P.; Wang, X.; Ou, X.-X.; Cai, L.; Jing, J.; Feng, Q.; Dong, G.-H.; Li, X.-H. Adherence to 24-hour movement guidelines in children with mental, behavioral, and developmental disorders: Data from the 2016–2020 National Survey of Children’s Health. J. Sport Health Sci. 2023, 12, 304–311. [Google Scholar] [CrossRef]
- Lien, A.; Sampasa-Kanyinga, H.; Colman, I.; Hamilton, H.A.; Chaput, J.P. Adherence to 24-hour movement guidelines and academic performance in adolescents. Public Health 2020, 183, 8–14. [Google Scholar] [CrossRef] [PubMed]
- Saunders, T.J.; Gray, C.E.; Poitras, V.J.; Chaput, J.-P.; Janssen, I.; Katzmarzyk, P.T.; Olds, T.; Gorber, S.C.; Kho, M.E.; Sampson, M.; et al. Combinations of physical activity, sedentary behaviour and sleep: Relationships with health indicators in school-aged children and youth. Appl. Physiol. Nutr. Metab. 2016, 41 (Suppl. S3), S283–S293. [Google Scholar] [CrossRef]
- Vaquero-Solís, M.; Tapia-Serrano, M.A.; Hortigüela-Alcalá, D.; Jacob-Sierra, M.; Sánchez-Miguel, P.A. Health Promotion through Movement Behaviors and Its Relationship with Quality of Life in Spanish High School Adolescents: A Predictive Study. Int. J. Environ. Res. Public Health 2021, 18, 7550. [Google Scholar] [CrossRef]
- Janssen, I.; Roberts, K.C.; Thompson, W. Is adherence to the Canadian 24-Hour Movement Behaviour Guidelines for Children and Youth associated with improved indicators of physical, mental, and social health? Appl. Physiol. Nutr. Metab. 2017, 42, 725–731. [Google Scholar] [CrossRef]
- Xiong, X.; Dalziel, K.; Carvalho, N.; Xu, R.; Huang, L. Association between 24-hour movement behaviors and health-related quality of life in children. Qual. Life Res. 2022, 31, 231–240. [Google Scholar] [CrossRef]
- Walsh, J.J.; Barnes, J.D.; Cameron, J.D.; Goldfield, G.S.; Chaput, J.-P.; Ledoux, A.-A.; Zemek, R.L.; Tremblay, M.S. Associations between 24 hour movement behaviours and global cognition in US children: A cross-sectional observational study. Lancet Child Adolesc. Health 2018, 2, 783–791. [Google Scholar] [CrossRef]
- Li, C.; Haegele, J.A.; Sun, F.; Alves, M.L.T.; Ang, S.H.C.; Lee, J.; Ng, K.; Alves, I.D.S.; Healy, S.; Huang, W.Y.; et al. Meeting the 24-h movement guidelines and health-related outcomes among youth with autism spectrum disorder: A seven-country observational study. Child Adolesc. Psychiatry Ment. Health 2022, 16, 50. [Google Scholar] [CrossRef]
- Liu, Z.; Herold, F.; Healy, S.; Haegele, J.; Block, M.E.; Ludyga, S.; Ng, J.L.; Gerber, M.; Hossain, M.M.; Taylor, A.; et al. Understanding 24-hour movement guideline adherence and links to school achievement, social-behavioural problems, and emotional functioning among children and adolescents with learning disabilities. Int. J. Sport Exerc. Psychol. 2025, 23, 57–81. [Google Scholar] [CrossRef]
- Brown, D.M.Y.; McPhee, P.G.; Kwan, M.Y.; Timmons, B.W. Implications of Disability Severity on 24-Hour Movement Guideline Adherence Among Children with Neurodevelopmental Disorders in the United States. J. Phys. Act. Health 2021, 18, 1325–1331. [Google Scholar] [CrossRef] [PubMed]
- Joseph, A.B. Sleep and Cognitive Functioning in Children with Disabilities. Except. Child. 2013, 79, 391–405. [Google Scholar] [CrossRef]
- Kong, C.; Chen, A.; Ludyga, S.; Herold, F.; Healy, S.; Zhao, M.; Taylor, A.; Müller, N.G.; Kramer, A.F.; Chen, S.; et al. Associations between meeting 24-hour movement guidelines and quality of life among children and adolescents with autism spectrum disorder. J. Sport Health Sci. 2023, 12, 73–86. [Google Scholar] [CrossRef] [PubMed]
- Wang, W.; Haegele, J.A.; Wu, Y.; Li, C. Meeting the 24-Hour Movement Guidelines and Outcomes in Adolescents with ADHD: A Cross-Sectional Observational Study. Int. J. Environ. Res. Public Health 2022, 19, 2132. [Google Scholar] [CrossRef]
- Ghandour, R.M.; Jones, J.R.; Lebrun-Harris, L.A.; Minnaert, J.; Blumberg, S.J.; Fields, J.; Bethell, C. The Design and Implementation of the 2016 National Survey of Children’s Health. Matern. Child Health J. 2018, 22, 1093–1102. [Google Scholar] [CrossRef]
- Cree, R.A.; Bitsko, R.H.; Robinson, L.R.; Holbrook, J.R.; Danielson, M.L.; Smith, C.; Kaminski, J.W.; Kenney, M.K.; Peacock, G. Health Care, Family, and Community Factors Associated with Mental, Behavioral, and Developmental Disorders and Poverty Among Children Aged 2–8 Years—United States, 2016. MMWR Morb. Mortal. Wkly. Rep. 2018, 67, 1377–1383. [Google Scholar] [CrossRef]
- Di Martino, A.; O’connor, D.; Chen, B.; Alaerts, K.; Anderson, J.S.; Assaf, M.; Balsters, J.H.; Baxter, L.; Beggiato, A.; Bernaerts, S.; et al. Enhancing studies of the connectome in autism using the autism brain imaging data exchange II. Sci. Data 2017, 4, 170010. [Google Scholar] [CrossRef]
- Roenneberg, T.; Foster, R.G.; Klerman, E.B. The circadian system, sleep, and the health/disease balance: A conceptual review. J. Sleep Res. 2022, 31, e13621. [Google Scholar] [CrossRef]
- Papadopoulos, N.; Sciberras, E.; Hiscock, H.; Williams, K.; McGillivray, J.; Mihalopoulos, C.; Engel, L.; Fuller-Tyszkiewicz, M.; Bellows, S.T.; Marks, D.; et al. Sleeping Sound Autism Spectrum Disorder (ASD): A randomised controlled trial of a brief behavioural sleep intervention in primary school-aged autistic children. J. Child Psychol. Psychiatry 2022, 63, 1423–1433. [Google Scholar] [CrossRef]
- Alfano, C.A.; Ginsburg, G.S.; Kingery, J.N. Sleep-related problems among children and adolescents with anxiety disorders. J. Am. Acad. Child Adolesc. Psychiatry 2007, 46, 224–232. [Google Scholar] [CrossRef] [PubMed]
- Loring, W.; Malow, B. Sleep Hygiene and Related Interventions: Their Impact on Sleep. In Clinical Handbook of Behavioral Sleep Treatment in Children on the Autism Spectrum; McLay, L.K., France, K.G., Blampied, N.M., Eds.; Springer International Publishing: Berlin/Heidelberg, Germany, 2022; pp. 127–136. [Google Scholar] [CrossRef]
- Fernández-Puerta, L.; Prados, G.; Jiménez-Mejías, E. Interventions that Improve Sleep in Caregivers of Adult Care-Recipients: A Systematic Review. West. J. Nurs. Res. 2022, 44, 180–199. [Google Scholar] [CrossRef] [PubMed]
- Zhang, Y.; Pan, Y.; Ma, Z.; Wang, D.; Zou, R.; Fan, F. Cross-sectional and longitudinal associations of adherence to the 24-hour movement guidelines with mental health problems among Chinese adolescents. J. Psychosom. Res. 2023, 170, 111352. [Google Scholar] [CrossRef] [PubMed]
- Guerrero, M.D.; Barnes, J.D.; Walsh, J.J.; Chaput, J.P.; Tremblay, M.S.; Goldfield, G.S. 24-Hour Movement Behaviors and Impulsivity. Pediatrics 2019, 144, e20190187. [Google Scholar] [CrossRef]
- Palmer, C.A.; Alfano, C.A. Sleep and emotion regulation: An organizing, integrative review. Sleep Med. Rev. 2017, 31, 6–16. [Google Scholar] [CrossRef]
- El-Sheikh, M.; Kelly, R.J.; Philbrook, L.E. Sleep and Development: Familial and Socio-cultural Considerations. In Family Contexts of Sleep and Health Across the Life Course; McHale, S.M., King, V., Buxton, O.M., Eds.; Springer International Publishing: Berlin/Heidelberg, Germany, 2017; pp. 25–49. [Google Scholar] [CrossRef]
- Enderlin, C.; Kuhlmann, M.E.; Harris, M.; Hadley, M.; Sullivan, A.; Rose, K.M.; Mitchell, A.; Matthews, E.E. Integrative Management of Sleep Disturbances. In Advanced Practice Psychiatric Nursing, 2nd ed.; Tusaie, K.R., Fitzpatrick, J.J., Eds.; Springer: New York, NY, USA, 2016. [Google Scholar] [CrossRef]
- Kitano, N.; Kai, Y.; Jindo, T.; Tsunoda, K.; Arao, T. Compositional data analysis of 24-hour movement behaviors and mental health in workers. Prev. Med. Rep. 2020, 20, 101213. [Google Scholar] [CrossRef]
- Sampasa-Kanyinga, H.; Standage, M.; Tremblay, M.; Katzmarzyk, P.; Hu, G.; Kuriyan, R.; Maher, C.; Maia, J.; Olds, T.; Sarmiento, O.; et al. Associations between meeting combinations of 24-h movement guidelines and health-related quality of life in children from 12 countries. Public Health 2017, 153, 16–24. [Google Scholar] [CrossRef]
- McGowan, A.L.; Gerde, H.K.; Pfeiffer, K.A.; Pontifex, M.B. Meeting 24-hour movement behavior guidelines in young children: Improved quantity estimation and self-regulation. Early Educ. Dev. 2023, 34, 762–789. [Google Scholar] [CrossRef]
- Zeng, X.; Cai, L.; Yang, W.; Tan, W.; Huang, W.; Chen, Y. Association between the 24-hour movement guidelines and executive function among Chinese children. BMC Public Health 2022, 22, 1017. [Google Scholar] [CrossRef]
- Huang, C.J.; Tu, H.Y.; Hsueh, M.C.; Chiu, Y.H.; Huang, M.Y.; Chou, C.C. Effects of Acute Aerobic Exercise on Executive Function in Children with and Without Learning Disability: A Randomized Controlled Trial. Adapt. Phys. Act. Q. 2020, 37, 404–422. [Google Scholar] [CrossRef]
- Barnhill, L.J. The diagnosis and treatment of individuals with mental illness and developmental disabilities: An overview. Psychiatr. Q. 2008, 79, 157–170. [Google Scholar] [CrossRef] [PubMed]
- Kollins, S.H.; DeLoss, D.J.; Cañadas, E.; Lutz, J.; Findling, R.L.; E Keefe, R.S.; Epstein, J.N.; Cutler, A.J.; Faraone, S.V. A novel digital intervention for actively reducing severity of paediatric ADHD (STARS-ADHD): A randomised controlled trial. Lancet Digit. Health 2020, 2, e168–e178. [Google Scholar] [CrossRef] [PubMed]
- Choi, K.W.; Stein, M.B.; Nishimi, K.M.; Ge, T.; Coleman, J.R.I.; Chen, C.-Y.; Ratanatharathorn, A.; Zheutlin, A.B.; Dunn, E.C.; 23andMe Research Team; et al. An Exposure-Wide and Mendelian Randomization Approach to Identifying Modifiable Factors for the Prevention of Depression. Am. J. Psychiatry 2020, 177, 944–954. [Google Scholar] [CrossRef] [PubMed]
- Sampasa-Kanyinga, H.; Colman, I.; Goldfield, G.S.; Janssen, I.; Wang, J.; Podinic, I.; Tremblay, M.S.; Saunders, T.J.; Sampson, M.; Chaput, J.-P. Combinations of physical activity, sedentary time, and sleep duration and their associations with depressive symptoms and other mental health problems in children and adolescents: A systematic review. Int. J. Behav. Nutr. Phys. Act. 2020, 17, 72. [Google Scholar] [CrossRef]
- Shields, N.; Synnot, A.J.; Barr, M. Perceived barriers and facilitators to physical activity for children with disability: A systematic review. Br. J. Sports Med. 2012, 46, 989–997. [Google Scholar] [CrossRef]
- Gmmash, A.S.; Effgen, S.K.; Skubik-Peplaski, C.; Lane, J.D. Parental Adherence to Home Activities in Early Intervention for Young Children with Delayed Motor Development. Phys. Ther. 2021, 101, pzab023. [Google Scholar] [CrossRef]
- Nurkhamidah, N.; Mutadho, F.; Rafli, Z. Speech Delay in Early Childhood: A Case Study of a 3.5-Year-Old Child. IDEAS J. Engl. Lang. Teach. Learn. Linguist. Lit. 2024, 12, 1929–1944. [Google Scholar] [CrossRef]
- Rentschler, L.F.; Hume, K.A.; Wong, C.; Plavnic, J.; Schultz, T. Use of Visual Supports with Young Children with Autism. In Handbook of Early Intervention for Autism Spectrum Disorders: Research, Policy, and Practice; Dixon, D.R., Sturmey, P., Matson, J.L., Eds.; Springer Nature: Cham, Switzerland, 2024; pp. 317–341. [Google Scholar] [CrossRef]
- Jang, H.; Reeve, J.; Deci, E.L. Engaging students in learning activities: It is not autonomy support or structure but autonomy support and structure. J. Educ. Psychol. 2010, 102, 588–600. [Google Scholar] [CrossRef]
- Rapoff, M.A.; Duncan, C.; Karlson, C. Strategies for Improving Adherence to Pediatric Medical Regimens. In Adherence to Pediatric Medical Regimens; Rapoff, M.A., Duncan, C., Karlson, C., Eds.; Springer International Publishing: Berlin/Heidelberg, Germany, 2023; pp. 201–243. [Google Scholar] [CrossRef]
- Hart Barnett, J. Three Evidence-Based Strategies That Support Social Skills and Play Among Young Children with Autism Spectrum Disorders. Early Child. Educ. J. 2018, 46, 665–672. [Google Scholar] [CrossRef]
- Smith, B.J.; Grunseit, A.; Hardy, L.L.; King, L.; Wolfenden, L.; Milat, A. Parental influences on child physical activity and screen viewing time: A population based study. BMC Public Health 2010, 10, 593. [Google Scholar] [CrossRef]
- Robinson-Shelton, A.; Malow, B.A. Sleep Disturbances in Neurodevelopmental Disorders. Curr. Psychiatry Rep. 2016, 18, 6. [Google Scholar] [CrossRef] [PubMed]
- Handler, L.; Tennant, E.M.; Faulkner, G.; Latimer-Cheung, A.E. Perceptions of Inclusivity: The Canadian 24-Hour Movement Guidelines for Children and Youth. Adapt. Phys. Activ. Q. 2019, 36, 1–18. [Google Scholar] [CrossRef] [PubMed]
- Council on Communications and Media; Hill, D.; Ameenuddin, N.; Chassiakos, Y.R.; Cross, C.; Hutchinson, J.; Levine, A.; Boyd, R.; Mendelson, R.; Moreno, M.; et al. Media and Young Minds. Pediatrics 2016, 138, e20162591. [Google Scholar] [CrossRef]
- Christakis, D.A. The Challenges of Defining and Studying “Digital Addiction” in Children. J. Am. Med. Assoc. 2019, 321, 2277–2278. [Google Scholar] [CrossRef] [PubMed]
- Malow, B.A.; Byars, K.; Johnson, K.; Weiss, S.; Bernal, P.; Goldman, S.E.; Panzer, R.; Coury, D.L.; Glaze, D.G. A Practice Pathway for the Identification, Evaluation, and Management of Insomnia in Children and Adolescents with Autism Spectrum Disorders. Pediatrics 2012, 130 (Suppl. S2), S106–S124. [Google Scholar] [CrossRef]
- DeHoff, B.A.; Staten, L.K.; Rodgers, R.C.; Denne, S.C. The Role of Online Social Support in Supporting and Educating Parents of Young Children with Special Health Care Needs in the United States: A Scoping Review. J. Med. Internet Res. 2016, 18, e6722. [Google Scholar] [CrossRef]
- Rohn, S.; Pavlic, M.N.; Rosenbaum, P. Exploring the use of Halliwick aquatic therapy in the rehabilitation of children with disabilities: A scoping review. Child Care Health Dev. 2021, 47, 733–743. [Google Scholar] [CrossRef]
- Fragala-Pinkham, M.A.; Dumas, H.M.; Barlow, C.A.; Pasternak, A. An Aquatic Physical Therapy Program at a Pediatric Rehabilitation Hospital: A Case Series. Pediatr. Phys. Ther. 2009, 21, 68. [Google Scholar] [CrossRef]
- Rosenberger, M.E.; Buman, M.P.; Haskell, W.L.; McConnell, M.V.; Carstensen, L.L. 24 Hours of Sleep, Sedentary Behavior, and Physical Activity with Nine Wearable Devices. Med. Sci. Sports Exerc. 2016, 48, 457–465. [Google Scholar] [CrossRef]


| Demographic Characteristics | Unweighted Sample Size | Weighted% (95%CI) |
|---|---|---|
| Age, years | ||
| 6–11 | 51,249 | 49.69 (49.04–50.35) |
| 12–17 | 69,302 | 50.31 (49.65–50.96) |
| Gender | ||
| Male | 62,226 | 51.08 (50.42–51.73) |
| Female | 58,325 | 48.92 (48.27–49.58) |
| Race/ethnicity | ||
| White | 93,540 | 67.09 (66.43–67.74) |
| Non-white | 27,011 | 32.91 (32.26–33.57) |
| Highest parental education b | ||
| Less than high school | 3027 | 10.15 (9.55–10.78) |
| High school | 16,012 | 19.71 (19.15–20.28) |
| Some college or associate degree | 28,404 | 21.99 (21.49–22.50) |
| College degree or higher | 72,461 | 48.15 (47.50–48.79) |
| Household poverty level, % FPL | ||
| 0–99 | 11,636 | 17.31 (16.73–17.91) |
| 100–199 | 19,973 | 23.34 (22.73–23.96) |
| 200–399 | 41,671 | 31.15 (30.57–31.73) |
| ≥400 | 47,271 | 28.21 (27.70–28.71) |
| MBDDs category | ||
| EDs | ||
| Anxiety | 16,956 | 11.47 (11.10–11.85) |
| Depression | 8281 | 5.52 (5.25–5.80) |
| BDs | ||
| ADHD | 16,028 | 11.71 (11.35–12.09) |
| BP | 12,426 | 10.06 (9.70–10.44) |
| TS | 427 | 0.34 (0.27–0.42) |
| DDs | ||
| ASD | 4043 | 3.29 (3.05–3.56) |
| LD | 10,783 | 8.76 (8.40–9.13) |
| ID | 1539 | 1.34 (1.20–1.51) |
| DD | 8734 | 7.05 (6.74–7.37) |
| SD | 9868 | 8.18 (7.83–8.54) |
| With | General Physical Health | Emotional Regulation | Cognitive Functioning | Social Functioning | ||||||||
|---|---|---|---|---|---|---|---|---|---|---|---|---|
| PA | ST | SL | PA | ST | SL | PA | ST | SL | PA | ST | SL | |
| EDs | ||||||||||||
| Anxiety | NS | NS | 1.63 | NS | 1.72 | 1.45 | NS | NS | NS | 1.68 | 1.24 | NS |
| Depression | NS | NS | 1.36 | NS | 1.47 | 1.56 | NS | NS | NS | 1.60 | 1.41 | 1.26 |
| BDs | ||||||||||||
| ADHD | NS | NS | NS | NS | 1.68 | 1.50 | 1.20 | 1.23 | NS | 1.79 | 1.26 | NS |
| BP | NS | NS | NS | NS | 1.49 | 1.56 | NS | NS | NS | 1.55 | NS | NS |
| TS | NS | NS | NS | NS | NS | NS | NS | NS | NS | NS | NS | NS |
| DDs | ||||||||||||
| ASD | NS | NS | 2.07 | NS | 1.74 | NS | NS | NS | NS | NS | 1.51 | NS |
| LD | NS | NS | 1.63 | NS | 1.75 | 1.36 | 1.35 | 1.42 | NS | 1.59 | 1.40 | NS |
| ID | 2.64 | NS | NS | NS | NS | NS | NS | NS | NS | NS | NS | 2.05 |
| DD | NS | NS | 1.52 | NS | 1.55 | 1.57 | 1.27 | NS | NS | 1.84 | 1.33 | 1.37 |
| SD | NS | 1.55 | 1.47 | NS | 1.63 | 1.46 | NS | 1.27 | NS | 1.65 | 1.43 | 1.26 |
| Without | General Physical Health | Emotional Regulation | Cognitive Functioning | Social Functioning | ||||||||
|---|---|---|---|---|---|---|---|---|---|---|---|---|
| PA | ST | SL | PA | ST | SL | PA | ST | SL | PA | ST | SL | |
| EDs | ||||||||||||
| Anxiety | 2.10 | 1.41 | 1.44 | 1.41 | 1.76 | 1.61 | 1.26 | 1.46 | 1.30 | 1.73 | 1.50 | 1.23 |
| Depression | 1.88 | 1.41 | 1.51 | 1.47 | 1.82 | 1.56 | 1.29 | 1.41 | 1.29 | 1.75 | 1.46 | 1.22 |
| BDs | ||||||||||||
| ADHD | 2.03 | 1.41 | 1.66 | 1.64 | 1.85 | 1.59 | 1.47 | 1.54 | 1.30 | 1.84 | 1.55 | 1.26 |
| BP | 2.06 | 1.45 | 1.73 | 1.98 | 1.89 | 1.42 | 1.51 | 1.53 | 1.29 | 1.93 | 1.54 | 1.24 |
| TS | 1.79 | 1.49 | 1.66 | 1.50 | 1.89 | 1.74 | 1.32 | 1.47 | 1.39 | 1.78 | 1.52 | 1.30 |
| DDs | ||||||||||||
| ASD | 1.88 | 1.48 | 1.67 | 1.40 | 1.78 | 1.73 | 1.28 | 1.42 | 1.42 | 1.76 | 1.48 | 1.30 |
| LD | 1.97 | 1.50 | 1.60 | 1.58 | 1.84 | 1.88 | 1.32 | 1.47 | 1.48 | 1.86 | 1.53 | 1.32 |
| ID | 1.66 | 1.52 | 1.66 | 1.49 | 1.91 | 1.76 | 1.28 | 1.47 | 1.41 | 1.78 | 1.53 | 1.29 |
| DD | 2.04 | 1.77 | 1.71 | 1.57 | 1.91 | 1.75 | 1.30 | 1.52 | 1.50 | 1.81 | 1.54 | 1.30 |
| SD | 1.81 | 1.43 | 1.73 | 1.52 | 1.92 | 1.81 | 1.35 | 1.51 | 1.48 | 1.82 | 1.54 | 1.32 |
| With vs. Without | General Physical Health | Emotional Regulation | Cognitive Functioning | Social Functioning | ||||||||
|---|---|---|---|---|---|---|---|---|---|---|---|---|
| PA | ST | SL | PA | ST | SL | PA | ST | SL | PA | ST | SL | |
| EDs | ||||||||||||
| Anxiety | −2.12 * | NS | NS | NS | NS | NS | NS | −2.70 * | NS | NS | −2.23 * | NS |
| Depression | NS | NS | NS | NS | NS | NS | NS | −2.30 * | NS | NS | NS | NS |
| BDs | ||||||||||||
| ADHD | NS | NS | NS | NS | NS | NS | NS | −2.22 * | NS | NS | −2.60 * | −1.98 * |
| BP | NS | NS | NS | −3.30 * | NS | NS | −2.67 * | −4.10 * | −1.98 * | NS | −4.14 * | −2.03 * |
| TS | NS | NS | NS | NS | NS | NS | NS | NS | NS | NS | NS | NS |
| DDs | ||||||||||||
| ASD | −2.20 * | NS | NS | NS | NS | NS | −2.31 * | NS | −2.33 * | NS | NS | NS |
| LD | NS | NS | NS | NS | NS | −2.09 * | NS | NS | −2.13 * | NS | NS | −2.13 * |
| ID | NS | NS | NS | NS | NS | NS | NS | NS | NS | NS | NS | NS |
| DD | NS | −2.83 * | NS | NS | NS | NS | NS | −2.23 * | −1.97 * | NS | NS | NS |
| SD | NS | NS | NS | NS | NS | NS | NS | NS | −1.99 * | NS | NS | NS |
Disclaimer/Publisher’s Note: The statements, opinions and data contained in all publications are solely those of the individual author(s) and contributor(s) and not of MDPI and/or the editor(s). MDPI and/or the editor(s) disclaim responsibility for any injury to people or property resulting from any ideas, methods, instructions or products referred to in the content. |
© 2025 by the authors. Licensee MDPI, Basel, Switzerland. This article is an open access article distributed under the terms and conditions of the Creative Commons Attribution (CC BY) license (https://creativecommons.org/licenses/by/4.0/).
Share and Cite
Pan, N.; Zhao, J.-X.; Su, X.-T.; Yang, K.-Z.; Shi, L.; Wang, X.; Jing, J.; Li, X.-H.; Lin, L.-Z. Associations Between Meeting 24-Hour Movement Guidelines and Health Indicators in Children with and Without Mental, Behavioral, and Developmental Disorders. Future 2025, 3, 6. https://doi.org/10.3390/future3020006
Pan N, Zhao J-X, Su X-T, Yang K-Z, Shi L, Wang X, Jing J, Li X-H, Lin L-Z. Associations Between Meeting 24-Hour Movement Guidelines and Health Indicators in Children with and Without Mental, Behavioral, and Developmental Disorders. Future. 2025; 3(2):6. https://doi.org/10.3390/future3020006
Chicago/Turabian StylePan, Ning, Jing-Xian Zhao, Xin-Tong Su, Kai-Ze Yang, Lei Shi, Xin Wang, Jin Jing, Xiu-Hong Li, and Li-Zi Lin. 2025. "Associations Between Meeting 24-Hour Movement Guidelines and Health Indicators in Children with and Without Mental, Behavioral, and Developmental Disorders" Future 3, no. 2: 6. https://doi.org/10.3390/future3020006
APA StylePan, N., Zhao, J.-X., Su, X.-T., Yang, K.-Z., Shi, L., Wang, X., Jing, J., Li, X.-H., & Lin, L.-Z. (2025). Associations Between Meeting 24-Hour Movement Guidelines and Health Indicators in Children with and Without Mental, Behavioral, and Developmental Disorders. Future, 3(2), 6. https://doi.org/10.3390/future3020006

